tria_math Profile Banner
とりあ Profile
とりあ

@tria_math

Followers
4K
Following
13K
Media
753
Statuses
8K

東大理数B3 / JMOチューター / 漢検1級(R4-2)

Joined August 2019
Don't wanna be here? Send us removal request.
@tria_math
とりあ
4 months
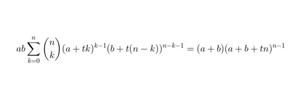
複素座標についてのPDFを公開しました! 多くの人に読んでいただけるとうれしいです! https://t.co/jzCsavUl76
2
81
508
@tria_math
とりあ
11 days
21歳になりました。 今後もよろしくお願いします。
0
0
29
@locker_math
locker
1 month
JMO予選を受験した方々、お疲れさまでした。 まずは180分の間ずっと戦い抜いた自分を誇ってください! さて毎年恒例、今夜20:00から、昨年の日本代表たちと予選を解く配信をします! 参加した方、そうでない方、是非いらっしゃってください! 待機場所↓ https://t.co/qeCUMhSUAc
Tweet card summary image
twitcasting.tv
配信時間が 4 時間をオーバーした結果2つ目の配信が始まっていて、今のところ 12 番を解く会をやっています(?)
1
18
129
@tria_math
とりあ
1 month
JMO/JJMO予選お疲れ様でした!
0
0
15
@UTMathLab
ますらぼ【東大数学科】
2 months
こちらのポストでもご紹介がありましたが、今年の駒場祭にも東大数学科有志による企画【ますらぼ】を出展します。 お楽しみに! #灯ゆらめく駒場祭 #第76回駒場祭 #灯ととき #東京大学 #東大 #駒場祭
@komabasai
東京大学駒場祭
2 months
◎ますらぼ 🕐11月22日(土)9:00~18:00 11月23日(日)9:00~18:00 11月24日(月・休)9:00~16:00 📍13号館 1階 1311教室
0
12
26
@tria_math
とりあ
3 months
証明なしのバージョン( https://t.co/BiNPxnimJD)もあるのでこちらもお役立てください。 また、誤植などを見つけた場合は報告していただけると大変喜びます。
0
0
3
@tria_math
とりあ
4 months
今日の20時にツイートします
@tria_math
とりあ
4 months
近いうちにご報告があるかもしれません
0
0
29
@tria_math
とりあ
4 months
近いうちにご報告があるかもしれません
0
0
56
@tria_math
とりあ
4 months
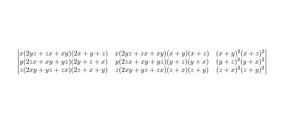
問題です。次の行列式を因数分解した形で表してください。
1
3
33
@tria_math
とりあ
5 months
夏季セミナーお疲れ様でした! 皆さんと数学の話ができて楽しかったと同時に、もっと勉強しなければとも思わされました ゲームも楽しかったです(特にSETナンジャモンジャ) 来年もよろしくお願いします! #jmoss2025
0
2
42
@ribooose
りぼーす
5 months
夏季セミナーあっという間に終わってしまいました。オーガナイザーという立場で参加すると見えるものが全然違って、いつもより何回りも濃い一週間だった気がする。 参加してくれた皆さん、本当にありがとうございました、今後どこかでまた会えるのを心待ちにしています!
1
8
107
@tria_math
とりあ
5 months
家に帰るまでが夏季セミナーですよ! #jmoss2025
0
0
22
@tria_math
とりあ
5 months
0
0
8
@tria_math
とりあ
5 months
家を出たときからが夏季セミナーですよ!
1
2
37
@SPRINGFOREVR1
JST-SPRING国籍要件反対アクションby若手研究者・院生当事者
5 months
【⚠️30日@文科省前】 AUTUMNとの共催で、 SPRING改悪反対緊急集会を行います📣 なんと、同日15時から 改悪方針が決定見込み❗️    \\署名を提出します// 当事者の声を聴かない改悪を 止めるために、どうか署名の後押しをお願い申し上げます🙇 #学術は国境を越える https://t.co/RolLRjE2uT
Tweet card summary image
change.org
博士課程の学生を国籍で差別しないでください! ― SPRING制度「日本人限定」見直し方針に反対します ―
@autumnkomaba
AUTUMN(国籍に基づく不当な措置の撤回を求める駒場学生の会)
5 months
【緊急開催】SPRING改悪反対緊急集会 @文科省前 7/30(水) 14:00-16:00 同日15時からの文部科学省人材委員会で、2026年度以降のSPRING「国籍要件」をめぐる方針が決定される見込みです。現地で差別反対の声を届けましょう📣 主催 : 0730SPRING改悪反対集会実行委員会 #SPRING4All #学術は国境を超える
1
111
137
@sato2718
sato2718
5 months
第66回国際数学オリンピックで満点を取りました! #IMO2025
144
2K
31K