TechEcon Profile
TechEcon

@TechEcon

Followers
3
Following
13
Media
0
Statuses
20

Joined August 2020
Don't wanna be here? Send us removal request.
@MelMitchell1
Melanie Mitchell
5 years
Question for AI researchers: What would you say are the most important advances towards more *general* AI that have happened over the last five years? That is, general as opposed to narrow AI. (I'm writing a review of this.) 1/3
61
66
348
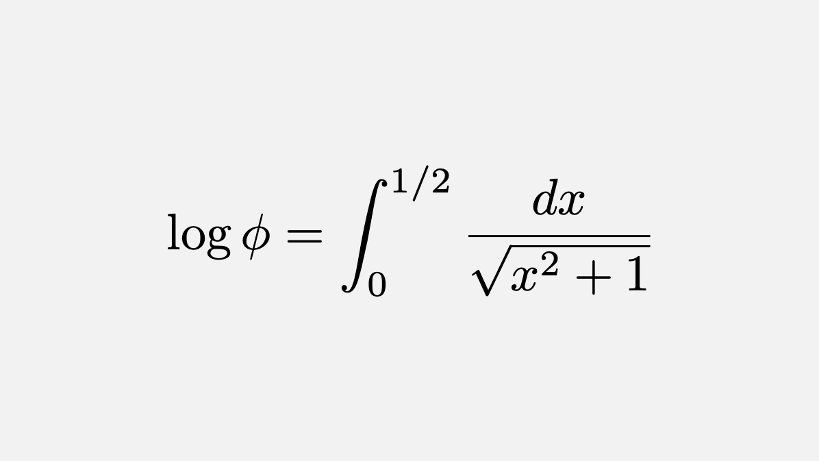
@fermatslibrary
Fermat's Library
5 years
Here's an interesting integral involving the Golden ratio ϕ
19
330
2K
@TechEcon
TechEcon
5 years
Auditors are testing hiring algorithms for bias, but there’s no easy fix
0
0
0
@_KarenHao
Karen Hao
5 years
I've been sitting in on a class at MIT this semester and the professor just asked how old people were when 9/11 happened. Long pause. "We weren't born yet." Y'all.
12
28
302
@HUCKmagazine
huck
5 years
chants of “fuck the algorithm” as a speaker talks of losing her place at medical school because she was downgraded.
43
655
2K
@MIT_CSAIL
MIT CSAIL
5 years
The 10 most helpful *free* online machine learning courses, via @chipro Full thread: https://t.co/RUcG2AL1uC #MondayMotivation
8
576
2K
@lexfridman
Lex Fridman
5 years
Driving may not require AGI, but getting out of the car does.
142
553
4K
@TechParida
Trilochan Parida
5 years
10 Python Open Source Projects On GitHub. If you ask the best programming language for job & future, Python undoubtedly tops the list. This 🧵 will help you to become a pro. in Python 💕
17
281
1K
@unclebobmartin
Uncle Bob Martin
5 years
So you’re a programmer. Good. We need programmers. Have you read Knuth’s “Fundamental Algorithms”? If not, it’s the next book you should read. 40 years ago that book changed my life. Its power has not waned. Read and learn.
50
280
2K
@techreview
MIT Technology Review
5 years
Researchers have demonstrated that they can make a face recognition system similar to those used at airports think someone else is you. This is the equivalent of tricking a machine into allowing someone to board a flight despite being on a no-fly list.
1
22
23
@GoogleAI
Google AI
5 years
The Lookout accessibility app for #Android includes the ability to detect and recognize supermarket products. This technology leverages recent improvements in smartphone compute power and neural network design to run entirely on-device. Learn more at: https://t.co/Ca4SMQ3aji
26
402
1K
@jblefevre60
Jean-Baptiste Lefevre
5 years
1
174
178
@lucidzk
lucid.⛩️
5 years
This is a day at the beach in 1896!! All hail 👉🏾 Deep learning algorithms for enhanced image interpolation, HD, color etc... #sundayvibes #AI #MachineLearning #100DaysOfCode #DeepLearning #RStats #Python
105
1K
4K
@hardmaru
hardmaru
5 years
Artificial evolution of “swimbots” “Witness the effects of Darwinian evolution as hundreds of simulated organisms compete for mates and food.” Web browser demo reminds me of 2D version of Karl Sims' Evolving Virtual Creatures by @JJVentrella h/t @danbri https://t.co/mVskphvenQ
4
76
276
@Ronald_vanLoon
Ronald van Loon
5 years
23
226
386
@EurasiaGroup
Eurasia Group
5 years
"Who would buy an Apple phone in China if you can't use WeChat on it?" Our head of Geo-tech @pstAsiatech raises this question in @WIRED as he, @lmatsakis and @willknight discuss the implications of Trump's #WeChat executive order. https://t.co/vxiJbLHD4U
wired.com
The president’s latest actions against China may affect US tech firms, and Americans who communicate overseas through the social apps.
2
4
8
@fermatslibrary
Fermat's Library
5 years
"The Origin of Chemical Elements" paper, one of the most cited in astrophysics, was written by Ralph Alpher and George Gamow. Gamow liked the idea of having an author list that sounded like the first 3 Greek letters - alpha beta gamma. So he made Hans Bethe a co-author as a joke
8
266
1K
@thevrara
VR/AR Association (VRARA)
5 years
Augmented Reality solutions for restaurants, shops, and other business for the Covid era #tech #economy #COVID19
6
76
213
@TechEcon
TechEcon
5 years
What does the tech economy of the future look like? Interesting perspectives from industry experts including @DXCTechnology and @Lefep’s CTOs and technologists. https://t.co/8yDS9ML3b3 via @WIRED
wired.com
0
0
0