
Reggie Bernardo
@reggiebernardo_
Followers
189
Following
4K
Media
114
Statuses
1K
Cosmologist ๐ต๐ญ๐๐ซ๐ โข Postdoc ๐ฉ๐ช @mpi_grav โข Postdoc ๐ฐ๐ท APCTP โข Postdoc ๐น๐ผ @AcadSinica โข PhD ๐ต๐ญ @upsystem
Hannover, Germany
Joined April 2023
Imperial's "Mathematical Methods for Physics" lecture notes PDF: https://t.co/cxk60GhYx3 Problem sheets & more: https://t.co/86ZlS8fxXi
7
112
702
Short explanation of the physics Nobel Prize 2025 In classical mechanics you can know where a particle is and its momentum at the same time. In Quantum mechanics you can't. All information is in the wavefunction. Even if a particle is trapped, part of the wavefunction.. ๐งต1/7
91
1K
5K
When you throw a ball at a wall, you can be sure it will bounce back at you. You would be extremely surprised if the ball suddenly appeared on the other side of the wall. In quantum mechanics this type of phenomenon is called tunnelling and is exactly the type of phenomenon that
218
3K
12K
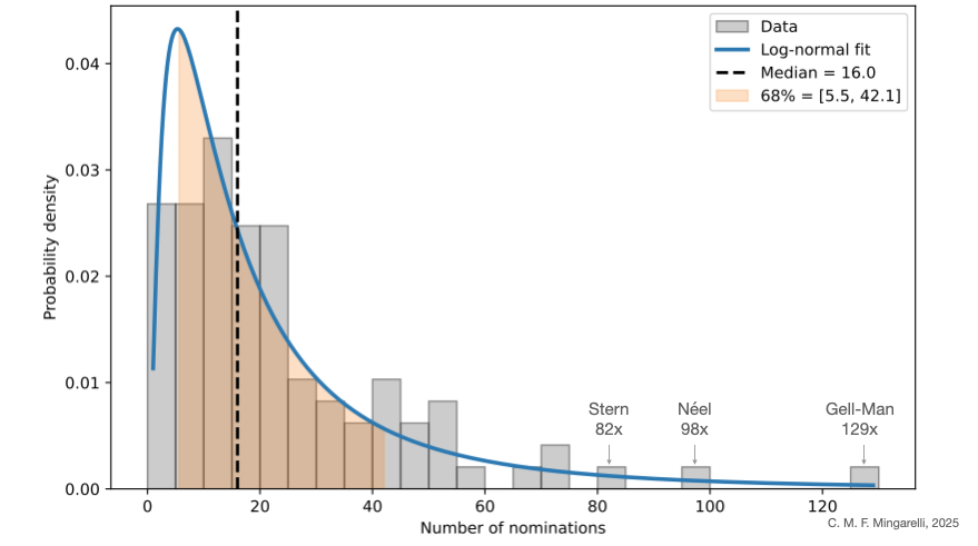
I was curious to know how many times @NobelPrize laureates in physics were nominated before winning... so I wrote a little code to figure it out. Looks like the median is 17 but there is heavy tail. Incredible that Gell-Mann was nominated 129x before winning!
42
160
1K
The 2025 #NobelPrize in Physics recognises experiments that demonstrated how quantum tunnelling can be observed on a macroscopic scale, involving many particles. John Clarke, Michel Devoret and John Martinis โ awarded this yearโs Nobel Prize in Physics โ constructed an
43
781
2K
Learn more about the 2025 #NobelPrize in Physics Press release: https://t.co/Gh6DynVSUu Popular information: https://t.co/ehKsc7qPCY Advanced information: https://t.co/uaaAe3rwIq
12
308
609
True physics ๐
BREAKING NEWS The Royal Swedish Academy of Sciences has decided to award the 2025 #NobelPrize in Physics to John Clarke, Michel H. Devoret and John M. Martinis โfor the discovery of macroscopic quantum mechanical tunnelling and energy quantisation in an electric circuit.โ
0
0
0
BREAKING NEWS The Royal Swedish Academy of Sciences has decided to award the 2025 #NobelPrize in Physics to John Clarke, Michel H. Devoret and John M. Martinis โfor the discovery of macroscopic quantum mechanical tunnelling and energy quantisation in an electric circuit.โ
398
8K
18K
One our family members traveling abroad got denied at the foreign exchange counter in Oslo, Norway. Lady at the counter goes โ โYou came from the Philippines? We cannot exchange your dollars because of the corruption and money laundering in the Philippines.โ This family member
276
2K
13K
Redshifted civilizations, galactic empires, and the Fermi paradox https://t.co/Hv5CK8OJwA Chris Reiss, Justin C. Feng. https://t.co/prrzf7R0Ul
arxiv.org
Given the vast distances between stars in the Milky way and the long timescales required for interstellar travel, we consider how a civilization might overcome the constraints arising from finite...
0
2
3
This is a very serious problem and will slowly burn out journal editors and especially referees. Personally Iโve felt it as a referee in various journals lately and pretty sure others have as well.
Days in a work week: 5 Days in a month: 30 Total new submissions to arXiv in September: 26,646 arXiv editorial and user support staff: 7 someone who is good at science please help me with this. our team isn't sleeping. #openaccess #preprints
0
1
2
PRAY FOR THE PHILIPPINES ๐๐๐ฝ Sunud-sunod ang mga pangyayari sa bansa sa pagpasok ng Oktubre, kung saan tatlong natural hazards na ang naganap sa loob lamang ng 12 oras. Dahil dito, mahigpit na pinaaalalahanan ang lahat na mag-ingat. #PilipinasToday
#Cebu #Lindol
#Earthquake
16
1K
3K
I'm not a minister nor a head of state, so helping open @UN General Assemby on its 80th anniversary is an honor. This moment matters! โInformation integrity is the mother of all battlesโ https://t.co/zOAH9TCLMz via @rapplerdotcom
rappler.com
(1st UPDATE) 'This is the deadliest period for journalists in recorded history: more than 240 journalists killed in Gaza alone โ more than died in World War I, World War II, Vietnam, and the former...
0
26
90
This was quoted in the conclusions of a cosmology or GW ๐ some time ago, but I could not remember which exactly. But the application is clear; cosmology can be thought of as detective work of logically reconstructing the past events that lead to the observable present โ๏ธ๐๐ญ๐
It was an experience reading in The Sign of Four the now famous words of Sherlock HolmesโโWhen you have eliminated the impossible, whatever remains, however improbable, must be the truth.โ 10/10
0
0
0
Literally and figuratively an information armaggedon: information integrity is the mother of all battles. Win this, and we can win the rest. Lose this, and we lose everything. (discussed the choice between armageddon and apocalypse with @jonstewart at @TheDailyShow last week)
"This is the deadliest period for journalists in recorded history. More than 240 journalists killed in Gaza alone," @mariaressa said at the UN. "They are targeted and there must be accountability," Ressa added at a high-level meeting marking the UN's 80th anniversary.
3
36
164
It was an experience reading in The Sign of Four the now famous words of Sherlock HolmesโโWhen you have eliminated the impossible, whatever remains, however improbable, must be the truth.โ 10/10
0
0
1
Then as a scientist I of course resonate with Sherlockโs treatment of his craft as an exact science. He didnโt care (or believe ๐) that the Earth revolved around the Sun, but can identify 140+ different kinds of tobacco. Scientists would understand. 9/n
1
0
0