
Stats Platter
@platterstats
Followers
2K
Following
7K
Media
954
Statuses
3K
True, authentic, and veritable.
India
Joined November 2024
💎Industrial Development (YS Jagan Govt) 📌 Thread 1.) ATC Tires AP Pvt Ltd (Yokohama OHT) 💡Land Allotted : 86.55 Acres PART-A No & Dt : 983, 05/08/2020 Production Commenced : 16/08/2022 Part-B No & Dt : 34, 03/02/2023 https://t.co/lTwNJISO32
@JaganannaCNCTS @rj_4_all
1
100
148
💎Avanthi Warehousing Services Pvt Ltd, Visakhapatnam. 💡Land Allotment Date : 31/03/2021 ✅ 💡Total Area : 16.47 Acres ✅ 💡Purpose : Logistics Park 💡Implementation Status : G1-Gone In To Production
1
9
19
🇮🇳 Life expectancy rose by almost 20 years in India during 1941-1971, largely a result of WHO malaria eradication efforts.
54
20
371
🇮🇳 The only two Nobel laureates in Physics of Indian origin were an uncle-nephew duo: CV Raman and S Chandrasekhar.
41
49
956
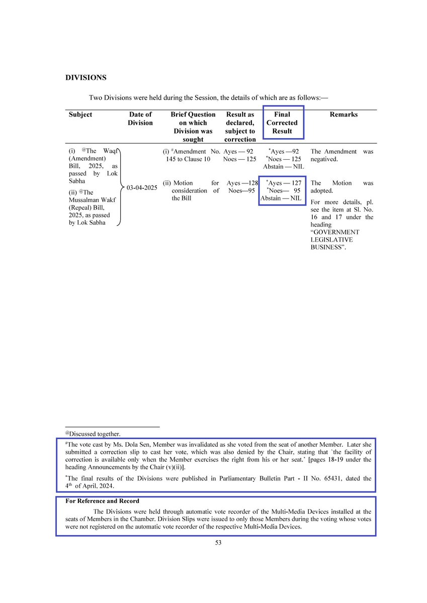
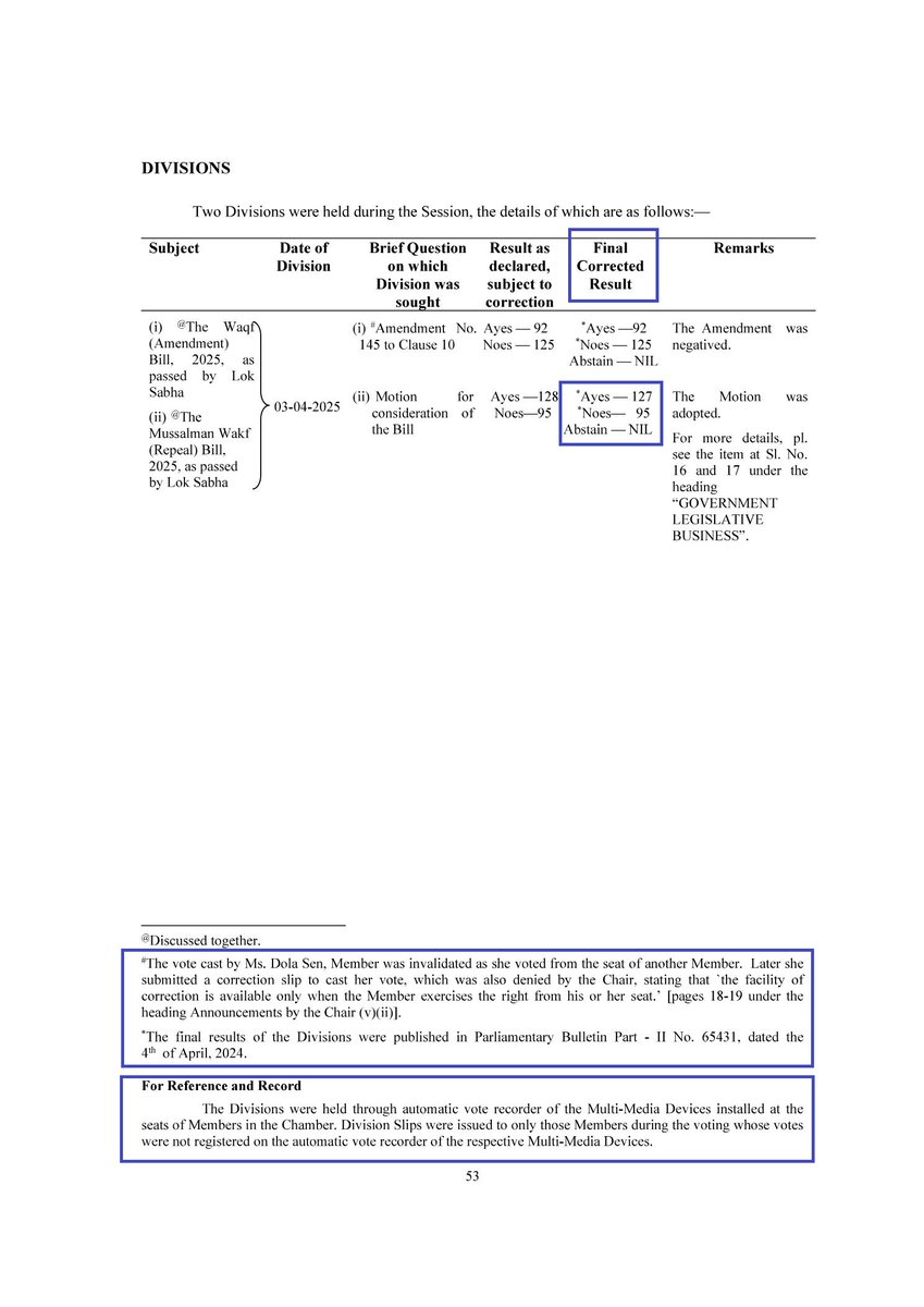
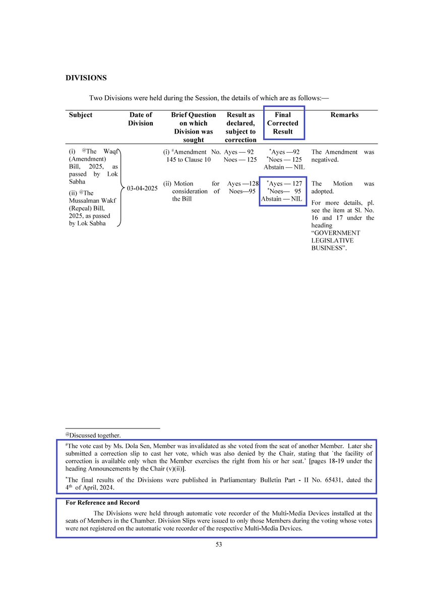
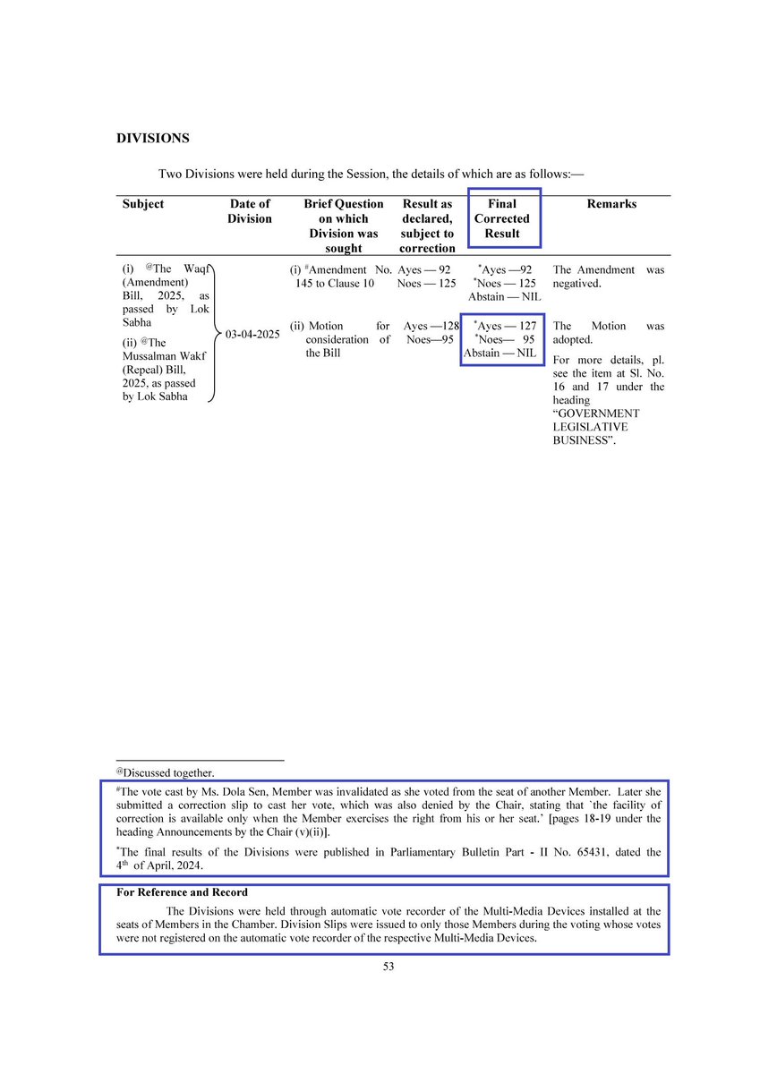
NOES (95) 🟥 I.N.D.I.A : 76 YSRCP : 7 BRS : 4 AIADMK : 4 BJD : 2 MNF (Maybe) : 1 Cross Voting from NDA Bloc through Division Slips (Maybe) : 1 💡Sulata Deo(RS MP) of BJD confirmed that 4 of their MPs voted in favour of the bill. 💡Debashish Samantaray(190) skipped the voting
0
0
2
I.N.D.I.A. Bloc (88-12=76) Those 12 MP's (Division Numbers) 🆎Absent : 133,136,139,168,227,234 🚫Skipped Voting : 196,242 ⛔Invalid Vote : 151 (Dola Sen) 🟩Cross Voting (AYES): 156,204,209 https://t.co/4zDEMH8SSl
https://t.co/bGXwmISVCe 💡Session No.267,(3rd April 2025)
1
0
2
💡The vote cast by Ms Dola Sen (151) was invalidated as she voted from the seat of another member, Shri Subrata Bakshi (133), who was absent that day. 💡Vote of Ms Dola Sen (151) was invalidated by the Chair. 💡Vote from the allotted seat/division will only be considered valid.
1
0
1
💎TVS Industrial & Logistics Parks (TVS ILP), Visakhapatnam. 💡Incorporated : 08/09/2022 💡DPR : 2023 💡Land Allotment Date : 04/08/2023 ✅
1
6
12
💎World Health Organization (WHO) 🇺🇳 Article on 'Covid Management' in Andhra Pradesh. 💡Dated : 17/10/2020. @YSRCParty
@rj_4_all @KarthikYells @JaganannaCNCTS @YSJ_Insights @lk06578997 @DrPradeepChinta
https://t.co/GLlJhdr3t1
who.int
0
2
7
I.N.D.I.A. Bloc (88-12=76) Those 12 MP's (Division Numbers) 🆎Absent : 133,136,139,168,227,234 🚫Skipped Voting : 196,242 ⛔Invalid Vote : 151 (Dola Sen) 🟩Cross Voting (AYES): 156,204,209 https://t.co/4zDEMH9qHT
https://t.co/QgjPPthKIS 💡Session No.267,(3rd April 2025)
0
2
5
NOES (95) 🟥 I.N.D.I.A : 76 YSRCP : 7 BRS : 4 AIADMK : 4 BJD : 2 MNF (Maybe) : 1 Cross Voting from NDA Bloc through Division Slips (Maybe) : 1 💡Sulata Deo(RS MP) of BJD confirmed that 4 of their MPs voted in favour of the bill. 💡Debashish Samantaray(190) skipped the voting
💎Proof that 'YSRCP' voted against 🟥Waqf Bill in Rajya Sabha👇 🧵Thread with 'Division Numbers' From the image below at- 02:21:13 AM 🕑 🟩- 116 🟥- 74 (Four BRS Votes Included) ⬜ Yet to Cast - 33 {Actual (46) - Absentees (13)} @ysjagan @YSRCParty @JaganannaCNCTS @rj_4_all
1
3
6
World's best beaches, 2025. 1. 🇬🇷 Elafonissi Beach, Greece 2. 🇹🇭 Banana Beach, Thailand 3. 🇦🇼 Eagle Beach, Aruba 4. 🇺🇸 Siesta Beach, Florida 5. 🇵🇹 Praia da Falésia, Portugal 6. 🇨🇺 Playa Varadero, Cuba 7. 🇩🇴 Bavaro Beach, Dominican Republic 8. 🇪🇸 Playa de Muro Beach, Spain 9. 🇮🇩
70
114
1K
🌊 50 Best Beaches in the World, 2025 1.🇦🇺 Whitehaven Beach 2.🇸🇨 Anse Source d’Argent 3.🇦🇱 Ksamil Beach 4.🇲🇻 Reethi Beach 5.🇫🇷 Plage de Notre Dame 6.🇰🇾 Starfish Beach 7.🇲🇺 Le Morne Beach 8.🇹🇭 White Sand Beach, Koh Chang 9.🇧🇧 Sandy Lane Beach 10.🇵🇭 White Beach, Boracay 11.🇯🇲
89
117
1K
Unaligned Parties 🆎Absent : 1 🚫Skipped Voting : 1 https://t.co/MIZEr3u92E
0
0
2
Unaligned Parties (Division Numbers) 🆎Absent : 243 (BSP) 🚫Skipped Voting : 190 (BJD) ℹSource : https://t.co/4zDEMH9qHT 💡Session No. 267, DURATION (31-Jan-2025 to 04-Apr-2025)
💎Proof that 'YSRCP' voted against 🟥Waqf Bill in Rajya Sabha👇 🧵Thread with 'Division Numbers' From the image below at- 02:21:13 AM 🕑 🟩- 116 🟥- 74 (Four BRS Votes Included) ⬜ Yet to Cast - 33 {Actual (46) - Absentees (13)} @ysjagan @YSRCParty @JaganannaCNCTS @rj_4_all
1
1
9
I.N.D.I.A. Bloc 🟩 (AYES)- Cross Voting : 3 🆎Absent : 6 🚫Skipped Voting : 2 ⛔Invalid Vote : 1
0
0
3
I.N.D.I.A. Bloc (Division Numbers) 🆎Absent : 133,136,139,168,227,234 🚫Skipped Voting : 196,242 ⛔Invalid Vote : 151 🟩Cross Voting (AYES) : 156,204,209 ℹSource : https://t.co/4zDEMH8SSl
https://t.co/vKlE6okGQc 💡Session No. 267, DURATION (31-Jan-2025 to 04-Apr-2025)
💎Proof that 'YSRCP' voted against 🟥Waqf Bill in Rajya Sabha👇 🧵Thread with 'Division Numbers' From the image below at- 02:21:13 AM 🕑 🟩- 116 🟥- 74 (Four BRS Votes Included) ⬜ Yet to Cast - 33 {Actual (46) - Absentees (13)} @ysjagan @YSRCParty @JaganannaCNCTS @rj_4_all
1
1
6
@YSRCPEurope 💎For AY 2023-24 : 5 Colleges 💎For AY 2024-25 : 5 Colleges 💎For AY 2025-26 : 7 Colleges That's the plan of YS Jagan with regard to 17 New Government Medical Colleges👍
1
6
9