Neha Verma Profile
Neha Verma

@n_verma1

Followers
356
Following
907
Media
4
Statuses
41

PhD student @jhuclsp. Previously @yale, intern @AIatMeta, intern @Google/@GoogleDeepmind | Efficient models, merging, MT

Joined April 2020
Don't wanna be here? Send us removal request.
@n_verma1
Neha Verma
2 years
Introducing “Merging Text Transformers from Different Initializations” ! We design a Transformer merging algorithm in order to study the relationship between separate Transformer minima🔍 👩‍💻: https://t.co/ZdsDQRmNLQ 📝: https://t.co/w1ojnvDkVI 🧵 1/6
1
22
101
@ruyimarone
Marc Marone ✈️ NeurIPS '25
8 days
I'm on the job market and at #neurips2025! Looking for research roles around data for foundation models and would love to chat with folks - resume/site in my bio. I've recently worked @AIatMeta and @databricks and publish papers with my awesome collaborators @jhuclsp!
4
18
48
@yilin_sung
Yi Lin Sung
1 month
Tough week! I also got impacted less than 3 months after joining. Ironically, I just landed some new RL infra features the day before. Life moves on. My past work spans RL, PEFT, Quantization, and Multimodal LLMs. If your team is working on these areas, I’d love to connect.
@cuijiaxun
Jiaxun Cui 🐿️ ✈️ NeurIPS
1 month
Meta has gone crazy on the squid game! Many new PhD NGs are deactivated today (I am also impacted🥲 happy to chat)
43
63
504
@jhuclsp
JHU CLSP
1 month
Considering a PhD in NLP/Speech? 🤔 Need guidance with your application materials? @jhuclsp is offering a student-run application mentoring program for prospective applicants from underrepresented backgrounds. 📝 Learn more & apply: https://t.co/9NjuZ02wy1 📅 Deadline: Nov 20
3
38
110
@JHUCompSci
JHU Computer Science
8 months
For #WorldHealthDay, a new study by Hopkins researchers including @suchisaria, @DrewPrinster, & more finds that doctors’ diagnostic performance and trust in #AI advice depends on just how exactly the AI assistant explains itself. Learn more:
Tweet card summary image
cs.jhu.edu
A new study by Hopkins researchers finds that doctors’ diagnostic performance and trust in AI advice depends on how the AI assistant explains itself.
0
4
6
@MASC_Conference
MASC-ALL Conference
1 year
📢 Want to host MASC 2025? The 12th Mid-Atlantic Student Colloquium is a one day event bringing together students, faculty and researchers from universities/industry in the Mid-Atlantic. Please submit this very short form if you are interested in hosting! Deadline January 6th
1
17
14
@EliasEskin
Elias Stengel-Eskin
1 year
🚨 I am on the faculty job market this year 🚨 I will be presenting at #NeurIPS2024 and am happy to chat in-person or digitally! I work on developing AI agents that can collaborate and communicate robustly with us and each other. My work covers 3 key problems👇 1⃣ Multi-agent +
6
68
142
@prateeky2806
Prateek Yadav
1 year
I'm on the job market! Please reach out if you are looking to hire someone to work on - RLHF - Efficiency - MoE/Modular models - Synthetic Data - Test time compute - other phases of pre/post-training. If you are not hiring then I would appreciate a retweet! More details👇
8
59
234
@jhuclsp
JHU CLSP
1 year
Considering a PhD in NLP/Speech? Need guidance with your application materials? 🤔 The Center for Language and Speech Processing @ JohnsHopkins is offering a student-run mentoring program for prospective applicants! 🙌 📝 Apply here: https://t.co/SUIqSBFXNF 📅 Deadline: Nov 17
Tweet card summary image
docs.google.com
What is the CLSP Application Support Program? The Johns Hopkins Center for Language and Speech Processing (CLSP) Application Support Program is a student-led program that aims to provide support to...
1
10
23
@jhuclsp
JHU CLSP
2 years
🚨 MTMA 2024 Announcement 🚨 @jhuclsp is hosting Machine Translation Marathon in the Americas Jul 29-Aug 2 in Baltimore. What’s MTMA? week-long MT hackathon--a chance to get together with researchers of all levels and work on open-source, collaborative projects.
2
10
28
@n_verma1
Neha Verma
2 years
This work serves a step toward better understanding the loss landscape of this popular model. There is much more to do! For more details, check out our preprint/code above. This project was part of my internship with my wonderful mentor @melbayad at @AIatMeta 😁 🧵 6/6
0
0
2
@n_verma1
Neha Verma
2 years
We also find that our approach to merging attention sublayers achieves the lowest loss barrier compared to several baselines, and our method is grounded in correlation patterns between models' attention features! 🧵 5/6
1
0
3
@n_verma1
Neha Verma
2 years
We test our merging method on the MultiBERTs models and find that we can reduce the loss barrier between these models when considering these permutation equivalences. These minima are less sharp and isolated than we think!💡 🧵 4/6
1
0
5
@n_verma1
Neha Verma
2 years
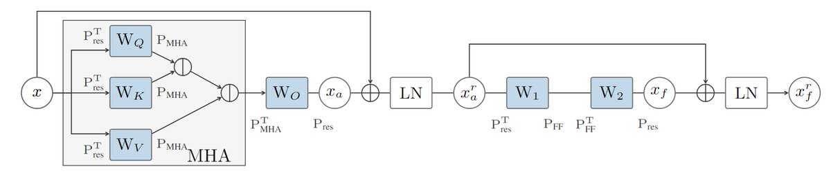
We consider different approaches to merge more complex portions of the architecture, like Multi-Headed Attention. We propose a simple method to permute both attention heads as well as their individual features. 🧵 3/6
1
0
2
@n_verma1
Neha Verma
2 years
When studying the loss landscape relationships between different models, we should consider their equivalence classes—like the set of possible model feature permutations. Permuting transformer features is non-trivial, and we address this directly with our method: 🧵 2/6
1
0
3
@mdredze
Mark Dredze
2 years
Reminder: We have a fantastic PhD fellowship program for students from HBCUs or Minority Serving Institutions. Deadline is Dec 1. Spread the word!
@mdredze
Mark Dredze
2 years
If you are a student from an HBCU or a Minority Serving Institution, apply to the VTSI program. 100 full-ride (stipend, tuition, etc.) fellowships for diverse PhD students in JHU’s more than 30 STEM programs. https://t.co/sAXz72vz90
1
10
12
@jhuclsp
JHU CLSP
2 years
It is ✨grad app season✨ and the JHU CLSP is providing a student-run application mentoring program for those looking for more guidance with their application materials. The link to apply is here: https://t.co/rzDnSLDulG and applications for our program are due by November 19.
Tweet card summary image
docs.google.com
What is the CLSP Application Support Program? The Johns Hopkins Center for Language and Speech Processing (CLSP) Application Support Program is a student-led program that aims to provide support to...
1
19
26
@jhuclsp
JHU CLSP
2 years
Excited to share that Johns Hopkins researchers are authors on 20 publications set to appear in EMNLP 2023!! 🎉 🎉 Congrats to all, including our esteemed external collaborators! @emnlpmeeting @HopkinsEngineer @JohnsHopkins Here is a thread in no particular order:
1
13
32
@DrewPrinster
Drew Prinster
2 years
Can I trust this AI/ML prediction? A good uncertainty quantification (UQ) method could answer this with a predictive confidence interval. But in practice, 2 key challenges limit real-world UQ. Our #ICML2023 Oral “JAWS-X” tackles these challenges! 🧵w/ @suchisaria @anqi_liu33 1/n
4
23
92
@ruyimarone
Marc Marone ✈️ NeurIPS '25
2 years
Presenting two posters from @jhuclsp today at #ACL2023!
1
2
17