
Minh Ton
@minhton50
Followers
2
Following
1
Media
0
Statuses
2
University of Miami Miller School of Medicine, Class of 2025 MD Candidate
Miami, FL
Joined July 2022
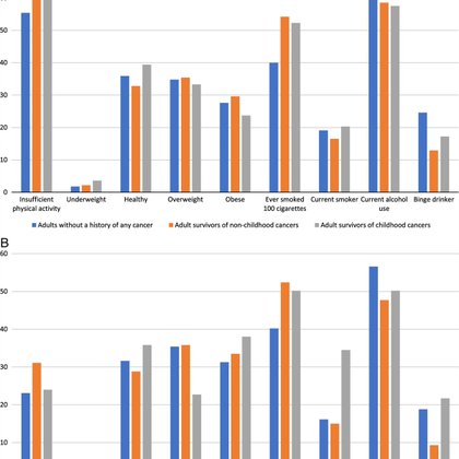
π Β In @AJCOonline, we find that the likelihoods of many risky #healthbehaviors between #childhoodcancersurvivors and the general population were similar, underscoring a need to identify further interventions for this population. ππ» @EChrisDee @NishwantS
https://t.co/3j3O8fsEjK
journals.lww.com
f each modifiable risk factor compared with each other and compared with the general population. Methods: This nationally representative study leveraged the National Health Interview Survey (NHIS)...
0
2
4
π In @IJGConline, we highlight that advances in #cancer #diagnostics and #treatment should consider the #diverse, #complex, and #global πππ settings in which these tools are implemented. π @MinhTon50 @NishwantS @JVGermarMD
https://t.co/SNOuKkWysd
π"How can we ensure that clinical effectiveness research better reflects the diverse and often complex settings in which new screening tools are implemented?" New commentary led by PGY2 Dr @EChrisDee in @IJGConline #gynonc #gyncsm #cervicalCancer π° https://t.co/y4igQRGk6m
0
2
6