junjo Profile
junjo

@junjo_ai

Followers
52
Following
111
Media
5
Statuses
77

An Open-Source Python AI Graph Workflow Library + Telemetry Server

Joined March 2025
Don't wanna be here? Send us removal request.
@junjo_ai
junjo
4 months
This is what Junjo is for https://t.co/UiuVIMOWnk
@tekbog
terminally onλine εngineer
4 months
2 days ago i was doing agentic workflows and infra yesterday i was doing python slop with also agentic workflows today im doing frontend and devops stuff gentlemen ive found that real fullstack software engineer that every company wants it is me
0
1
1
@junjo_ai
junjo
6 months
2 more GitHub stars LFG!!!
0
1
2
@junjo_ai
junjo
7 months
Docs update Easy concurrency in Junjo workflows https://t.co/rP9vwbIJiK
0
0
1
@MatthewRideout
Matt
7 months
Your prompts are not your moat. Your evals are. Your evals inform the prompt. Models change. Prompt maintenance is ongoing. Evals are forever.
0
1
3
@MatthewRideout
Matt
7 months
I started making Junjo because existing workflow frameworks were too difficult to build and test complex workflows with. Converting my voice-controlled AI workout tracker to Junjo now that the API feels really stable. First node completed, complete with dozens of evals and
0
1
7
@junjo_ai
junjo
7 months
got a blue check for my library so you could say things are getting serious
0
0
4
@junjo_ai
junjo
7 months
Eval-driven development doesn't need special tools. It should happen inside your codebase. With junjo + pytest + copilot, it's easy to generate new synthetic tests for every node in your AI graph workflow. Change prompts and models, and re-execute every test in parallel FAST!
0
1
3
@junjo_ai
junjo
7 months
Cloudflare pages is one of the best deploy experiences.
0
1
2
@junjo_ai
junjo
7 months
I finally got the initial version of my Python AI Graph Workflow library up on PyPI and pushed up a sphinx-docs site for it: https://t.co/hOI0lvPfyr
0
1
2
@MatthewRideout
Matt
8 months
> pip install junjo Junjo is officially released as an open source package. Still working on docs site and intro video, but the ai_chat example is complete. (@junjo_ai) https://t.co/uReeTcNZo6 https://t.co/zNZ38bXOhW
Tweet card summary image
github.com
Contribute to mdrideout/junjo-ai-studio development by creating an account on GitHub.
0
1
3
@junjo_ai
junjo
8 months
Exception visualization makes debugging why your workflows are failing much easier.
@MatthewRideout
Matt
8 months
Anyways, I just added exception telemetry visualization for debugging AI Graph Workflow executions for my python library tool (typescript telemetry ux).
0
0
1
@MatthewRideout
Matt
8 months
Why LLM workflow execution frameworks are becoming so important. Concurrently executing a dozen specialized 8b model requests is approximately 100x faster and cheaper than trying to have a 300b thinking model accomplish the same task.
@HuggingPapers
DailyPapers
8 months
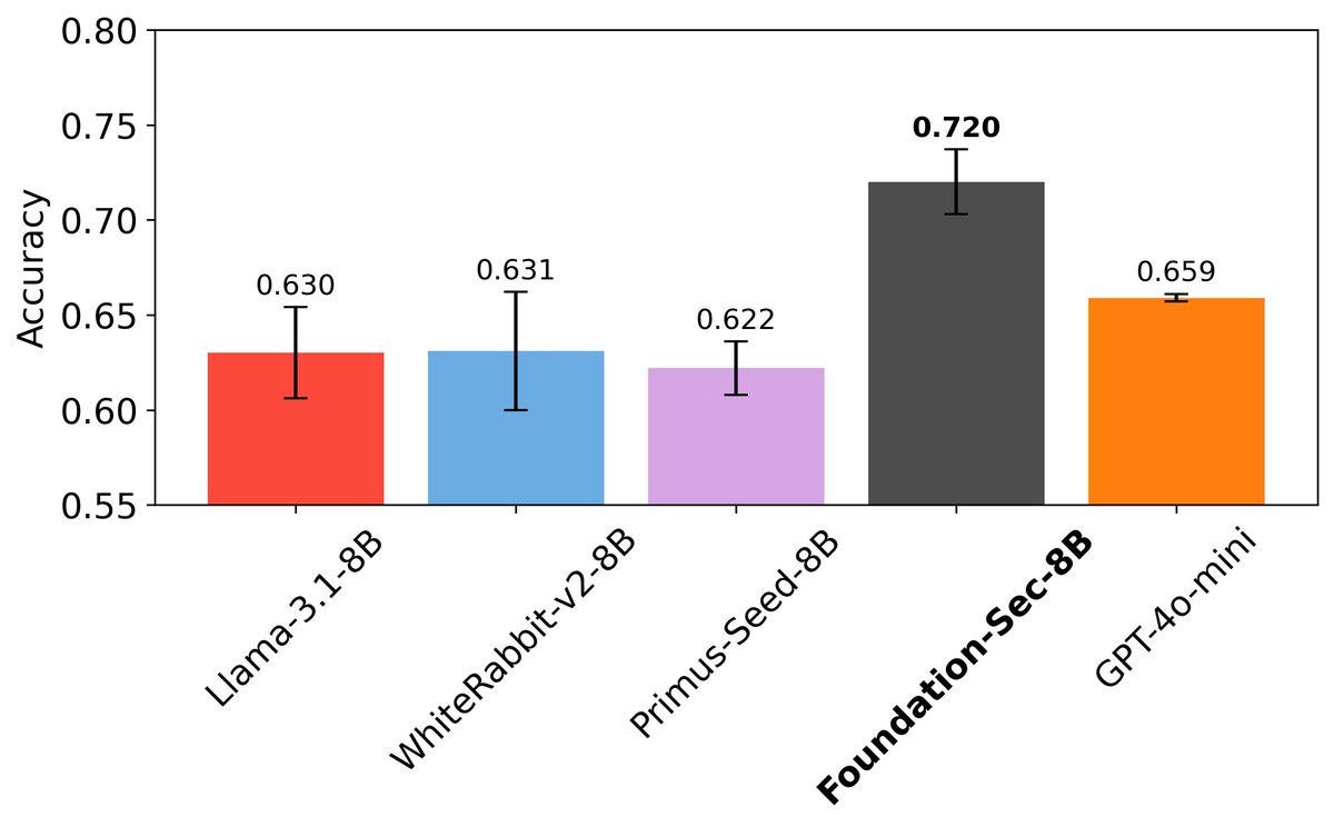
Cisco's Foundation AI just dropped Foundation-Sec-8B on Hugging Face A cybersecurity-focused LLM built on Llama 3.1 that matches Llama 3.1-70B & GPT-4o-mini on certain security tasks!
1
1
3
@junjo_ai
junjo
8 months
Added a new view to the Junjo AI Workflow state machine traces / debugger - a flat chronological list of state updates. It will still visualize the workflow node that initiated the state updates.
0
0
1
@junjo_ai
junjo
8 months
The more I use LLMs for coding, the less code I actually have them write, and the more I just ask it about ways to do things.
0
0
0
@karpathy
Andrej Karpathy
8 months
Noticing myself adopting a certain rhythm in AI-assisted coding (i.e. code I actually and professionally care about, contrast to vibe code). 1. Stuff everything relevant into context (this can take a while in big projects. If the project is small enough just stuff everything
462
1K
12K
@AIatMeta
AI at Meta
9 months
Today is the start of a new era of natively multimodal AI innovation. Today, we’re introducing the first Llama 4 models: Llama 4 Scout and Llama 4 Maverick — our most advanced models yet and the best in their class for multimodality. Llama 4 Scout • 17B-active-parameter model
832
2K
13K
@junjo_ai
junjo
9 months
. @xai when will the Grok3 API be available? Any turbo API models? There are many use cases for Grok over others.
0
0
1
@MatthewRideout
Matt
9 months
Progress on visualizing telemetry traces and graph execution structure for @junjo_ai workflows. A simple new pattern for concurrently executing a list of nodes. Left: Junjo Server UX Right: ReactFlow and Mermaid diagram rendering.
0
1
2
@MatthewRideout
Matt
9 months
eval-driven-development with pytest and @junjo_ai LLM assert example. Iterate on prompts with hundreds of tests for every AI workflow node. Test for 100% accuracy all the way through your logic. Next: automate test cases harvesting from production telemetry.
0
2
2
@MatthewRideout
Matt
9 months
Constructing more test app examples for Junjo. It's a beautiful thing when the most basic auto-complete LLMs recognize the context of graph / edge changes for auto-compete.
0
1
1