Johannes Nauta Profile
Johannes Nauta

@johannes_nauta

Followers
55
Following
1K
Media
5
Statuses
40

Postdoctoral researcher interested in unveiling the mechanisms behind long-term ecosystem stability while slowly creating the perfect Emacs configuration.

Padova, Italy
Joined May 2020
Don't wanna be here? Send us removal request.
@PhysRevX
Physical Review X
4 months
By developing a Doi-Peliti path integral representation that maps models with multiple compartments to Hamiltonian systems, researchers propose a unifying framework to address the stochasticity of arbitrarily complex multi-compartment models. 🔗 https://t.co/MNGLhFoWcS
2
14
42
@SamirSuweis
Samir Suweis
9 months
🚨 Postdoc Opportunity! 🚨 Join @LIPh_Lab for a 2-year postdoc on soil microbiome resilience! We combine macroecology, metagenomics & modeling to study how agri-practices & climate stressors shape microbial communities. 🔗 Start by Dec 2025. Ref: sandro dot azaele at unipd dot it
2
3
10
@ComuneLab
CoMuNe Lab
10 months
Do you work on collective behavior emerging from complex biological systems? Or simply would like to know more? An amazing summer school in an amazing Venice, with an outstanding lineup of speakers: 👉 https://t.co/jL8Edst9zl Deadline to apply in Feb 2025, 🏃‍♂️!
0
8
21
@ComuneLab
CoMuNe Lab
1 year
The call for the very special 10th edition of the Mediterranean School of Complex Networks is out! This year, it will take place in Ortigia, a beautiful small island in Syracuse, Italy. The lineup of lecturers is outstanding! All info in the website: https://t.co/tPJdH11HHk
2
15
62
@tiagopeixoto
Tiago Peixoto
1 year
🚨Job alert!🚨 Come join us at the Inverse Complexity Lab! @invcomplexity We’re hiring a post-doctoral researcher to join our group at IT:U, Linz, Austria. https://t.co/iFBZKZryuD Deadline is 30 Nov 2024. 1/8
5
65
111
@RicardoMtzG
Ricardo Martinez-Garcia
1 year
I am looking for a PhD student to join our work at @CASUSscience and work on ecological pattern formation. The project is not tied to a specific system, and options range from microbes to vegetation in water-limited ecosystems. Starting date is Feb 2025 and app. deadline Nov 22.
1
21
28
@PhysRevResearch
Physical Review Research
1 year
Topological conditions drive stability in meta-ecosystems, Johannes Nauta and Manlio De Domenico #Biophysics #Networks https://t.co/3ef0ujUZm6
0
19
55
@johannes_nauta
Johannes Nauta
1 year
More details can be found in the paper, and feel free to shoot me a message if you have any questions! 💬 🔗Link: https://t.co/SBFpBbc3I0 6/6
0
0
0
@johannes_nauta
Johannes Nauta
1 year
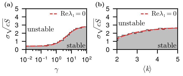
... it turns out that triadic closure in most cases actually seems to hamper stability. The third is isolation or fragmentation, which is essentially always detrimental for stability. Briefly, dense, random and connected networks are the most stable ones. 5/6
1
0
0
@johannes_nauta
Johannes Nauta
1 year
The second is triadic closure. Social network scientists may know this as "a friend of my friend is also my friend", but here it is more like "if a species can move to a patch, it can probably also move to the neighbors of that patch". However... 4/6
1
0
0
@johannes_nauta
Johannes Nauta
1 year
We show that three distinct features underlie stability. The first is edge density (mean degree). Generally, the higher the density, the more stable. However, this saturates at relatively low density, thus sparse networks seems stable as dense ones! 3/6
1
0
0
@johannes_nauta
Johannes Nauta
1 year
We were interested in seeing how topology of the underlying dispersal network influenced the linear stability of the system of species living on them. We construct a community matrix, and look at its eigenvalues. 2/6
1
0
0
@johannes_nauta
Johannes Nauta
1 year
🔔 New paper with @manlius84 is out in @PhysRevResearch. The work is about dispersal networks influence stability in meta-ecosystems. 🔗Link: https://t.co/SBFpBbc3I0 #ecology #stability #networks 🧵a short thread, for those interested 1/6
1
3
16
@scienceANU
Science & Medicine at ANU
1 year
Not many people will read your PhD thesis, but if you completed your doctoral research at the ANU College of Science, then Tabitha Carvan has probably read one small part of it – the acknowledgements. What she found is a kind of poetry in the science. https://t.co/M9eJXnU3MB
3
26
78
@johannes_nauta
Johannes Nauta
2 years
For more information, questions, or comments, please reach out! We are more than happy to discuss! ➡️Again, you can find it here: https://t.co/JBCTmDzi49. 6/6 🧵
0
0
1
@johannes_nauta
Johannes Nauta
2 years
Additionally, our results indicate that stability in #sparse networks can be approximated well by (established) approximations of fully-connected networks. This is surprising as it indicates that dispersal networks that underlie stable ecosystems can truly be #sparse! 5/6
1
0
1
@johannes_nauta
Johannes Nauta
2 years
In short, more edges gives rise to more stable systems, more triangles (triadic closure) actually decreases stability, and isolation (as a result from fragmentation) is also not a good thing. 4/6
2
0
1
@johannes_nauta
Johannes Nauta
2 years
These topological conditions have not received a lot of attention, but our work suggests they should. In fact, there are three major topological conditions that significantly influence stability: edge density, tendency to triadic closure, and isolation or fragmentation. 3/6
1
0
1
@johannes_nauta
Johannes Nauta
2 years
As we know, ecological systems are being perturbed on a global scale (by us!), yet we don't understand what factors facilitate or impede their long-term stability. Our work considers dispersal as a stabilizing factor, more specifically the structure of dispersal networks. 2/6
1
0
1
@johannes_nauta
Johannes Nauta
2 years
Excited to share a new preprint from me and @manlius84 on how the network underlying the dispersal of species influences linear stability in meta-ecosystems. ➡️Find it here: https://t.co/JBCTmDzi49. #ecology #stability #networks 🧵A thread 1/6
1
9
12