
Jason Roberts
@jasonroberts_pk
Followers
2K
Following
7K
Media
145
Statuses
2K
#clinician #researcher #pharmacist #antibiotics #dosing #rugby #running #triathlon
Brisbane, Queensland
Joined June 2015
Did someone ask for another CRE RESPOND seminar…?🤔 CRE RESPOND is thrilled to announce the Sepsis: What is the Latest Data for Optimal Management of Sepsis seminar!👏 📅When: Thursday 16 October, 12pm-1pm (AEST) 📍Where: Auditorium, Level 2, University of Queensland Centre
0
1
2
A special issue from @CCRJournal honouring the legacy of Rinaldo Bellomo Grab a coffee, sit back, read and smile. Such an incredible person. An uplifting tribute. Kudos to the authors for sharing their experiences https://t.co/l6Fs46uGz2
0
5
13
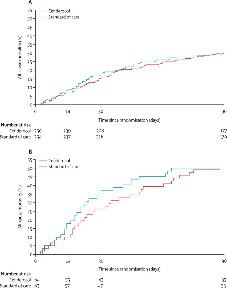
New RCT from @UQMedicine Cefiderocol versus standard therapy for healthcare-associated Gram-negative BSI @UQ_GAMECHANGER @UQ_News >500 patients in 6 countries with high rates of MDR; 25% carb-R; Non-inferior but not superior for 14d mortality @TheLancetInfDis @davidantibiotic
4
13
31
Research Fellow position @UQMedicine suitable for ID/micro clinician with an interest in the areas of clinical trials and application of microbial genomics
0
5
11
The 9th STCPC was a great success, a very interesting conference and great communication. @jasonroberts_pk
0
3
9
NCAS turns 10 this year! It is incredible to look back and know that we have influenced practice and policy for antimicrobial stewardship across human and animal health in Australia.
0
1
2
Honoured to receive the HDR Award Winner recognition at the Herston Health Precinct Symposium 2025. I am grateful to my supervisors, @b_fekade and @jasonroberts_pk, for their invaluable support. #HHPS2025, @CRE_RESPOND, #UQCCR, @UQMedicine, @UQ_News
2
2
8
🆕🔥Prospective,multinational PK study by 🌟 @jasonroberts_pk Meropenem & pip/tazo optimised dosing regimens for critically ill patients receiving RRT Dosing nomograms developed to inform dosing for different RRT settings, urine outputs & target conc https://t.co/XgC0GuPaYz
2
61
135
📢Assistant Professor Anne-Grete Martson. Antiviral Pharmacologist, Leiden University Precision Dosing in Obesity at the CRE RESPOND Worldwide Precision Dosing seminar with Dr Amy Legg https://t.co/8jeLicfmLp
0
3
3
CRE RESPOND is thrilled to invite you to 🫁Respiratory Infections: Update on Managing Bronchiectasis and NTM Pulmonary Disease seminar 🗓️ 11 September 2025, 12pm-1pm. ✍️REGISTER HERE: https://t.co/IwDx4d4BVq Don't miss out on this great opportunity to explore clinical
0
3
3
💊Last month, CRE RESPOND was proud to host a 3-day Population Pharmacokinetics: From Fundamentals to Clinical Practice workshop with @PattyMitre_ Check out all the highlights from the event below!!📺🤩 P.S. missed out this year? Don't worry! We're currently taking expressions
1
2
4
Queensland clinicians! Please join us on sat 13th sept for a day discussing all things respiratory virus with some excellent speakers - aiming to improve the management of patients within primary and hospital care and prepare for whatever is on the horizon
0
1
3
Did you know, CRE RESPOND has a quarterly newsletter to keep our subscribers informed on our amazing researchers and their current projects, as well as on our events and visitors?🤩 Now you never have to miss out on an update!👏 Subscribe now: https://t.co/0iotTWFkvo
#UQCCR
0
2
4
🎉It's Day 1 of our 3-Day Population Pharmacokinetics Workshop!🎉 We've got a full house over at UQ Brisbane City - thank you to everyone who has registered and shown interest in this educational event. Big thank you to @PattyMitre_ for her amazing work!♥️ @UQHealth
#UQCCR
1
5
14
Welcome to Day 2 of CRE RESPOND's Population Pharmacokinetics Workshop!🥳 👏Day 1 was a huge success and Day 2 is following in its footsteps. Today's session is all about Model Building and Validation! Check out our site for information on future events: https://t.co/8k1SGzGb4D
0
3
6
In August, we will be hosting our Worldwide Precision Dosing seminar for the fifth year running on Thursday 7 August 2025!💉 📢Chaired by CRE RESPOND's very own Dr Amy Legg, a clinical pharmacist at Royal Brisbane and Women's Hospital, this event explores individualised drug
0
2
9
🚨EVENT ANNOUNCEMENT🚨 CRE RESPOND is thrilled to invite you to the 5th Annual Worldwide Precision Dosing Seminar on the 7 August 2025, 12:00pm-1:30pm💊📅 🌎This seminar will bring together leading clinical experts from Australia, Asia, and Europe! @legg_wamy @UQHealth
1
1
6
‼️Don't forget to register if you want to attend the CRE RESPOND Population Pharmacokinetics Workshop on 16-18 July 2025! 📽️Check out the video below from @PattyMitre_ as she breaks down this 3-day event and explains exactly what you can expect to gain from this workshop... ⬇️⬇️
0
6
9
Giving a talk at the Brisbane Library tomorrow afternoon if anyone interested.. Antibiotic hunting - the race against resistant infections https://t.co/1zR7s2qH3q
#Meetup via @Meetup
meetup.com
The event is held in the theatrette on the ground floor of the Brisbane Square Library. \*\*\*\*\*\* Professor Mark Blaskovich will explore why antimicrobial resistance has
1
3
15
🧠 SAVE THE DATE for the UQCCR Brain, Neurology & Mental Health Showcase on 10 September! 📍 See flyer 👇 for details #UQCCR #BrainHealth #MentalHealth @UQ_News @UQMedicine @UQ_Perinatal
0
6
7