janhelmdag Profile Banner
Jan Helmdag Profile
Jan Helmdag

@janhelmdag

Followers
898
Following
14K
Media
104
Statuses
617

Researcher at @sofi_su_se/@Stockholm_Uni/SPIN database | comparative political economy | social policies | data gathering | vegan cyclist🌱🚴

Stockholm, Sweden
Joined March 2020
Don't wanna be here? Send us removal request.
@janhelmdag
Jan Helmdag
5 years
Every now and then people ask me how to easily produce marginal effect plots in Stata. Well, I've written an ado for that and it's called interactplot.
7
35
244
@janhelmdag
Jan Helmdag
1 year
If you want to download the data, then visit https://t.co/THRswlkBEJ. In SPIN, we also provide other datasets such as the Child Benefit dataset (CBD), the Parental Leave Benefit dataset (PLB), the Student Support and Fees dataset (SSFD) and a few more! https://t.co/8w4XhOAwGJ
0
0
2
@janhelmdag
Jan Helmdag
1 year
This update is part of a more broader strategy in which we will provide updates every year to make sure to provide up-to-date data. The next big update for SIED we’re planning (and already working on) will extend the timeframe to 1980–2024 and then later from 1960–2025. 📝
1
0
2
@janhelmdag
Jan Helmdag
1 year
For the first time, the Social Insurance Entitlements dataset (SIED) includes annual data, which is a huge departure from the five-year intervals that we provided before. These examples for different benefits nicely illustrate the annual variation in the data. 📈📉📈
1
0
2
@janhelmdag
Jan Helmdag
1 year
New SPIN update with ANNUAL data 🔥 I’m very proud to announce a new update for the Social Insurance Entitlements dataset (SIED) that includes annual data on replacement rates for unemployment, sickness, accident, and old-age benefits for 37 countries from 2000 to 2023.
1
10
19
@NikoVaananen
nikovaananen.bsky.social
1 year
European Semester: to be or not to be? Mario Draghi recently suggested abandoning the European #Semester In our article with @janhelmdag, we analyse all the #pension reform recommendations under the Semester from 2011 to 2023. Here are our key findings https://t.co/yBcUONl5Zs
etk.fi
Since 2011, EU member states adhere to the European Semester (ES), an annual framework for the coordination and surveillance of economic and social policies. The ES is governed by a multitude of EU…
1
5
7
@SOFI_su_se
Swedish Institute for Social Research (SOFI)
1 year
EU pension reform priorities are clear: financial sustainability above all else. New research by @janhelmdag (@Stockholm_Uni) and @NikoVaananen (@ETKinfo) shows EU recommendations often prioritize fiscal stability over adequate incomes, gender equality, and transparency.
@janhelmdag
Jan Helmdag
1 year
New publication! 📰 – open access 🔑 @NikoVaananen and I examine the extent to which #pension #reform #recommendations (PRRs) in #EU socio-economic governance are consistent with the main objectives of the pensions strand of the #OMC https://t.co/oEu5HrmSxq 1/5
0
3
6
@janhelmdag
Jan Helmdag
1 year
Our analysis raises concerns about the extent to which #financialsustainability is prioritized in the #EuropeanSemester. However, it is also clear that demographic ageing will put increasing pressure on European pension systems in the future. 5/5
0
0
2
@janhelmdag
Jan Helmdag
1 year
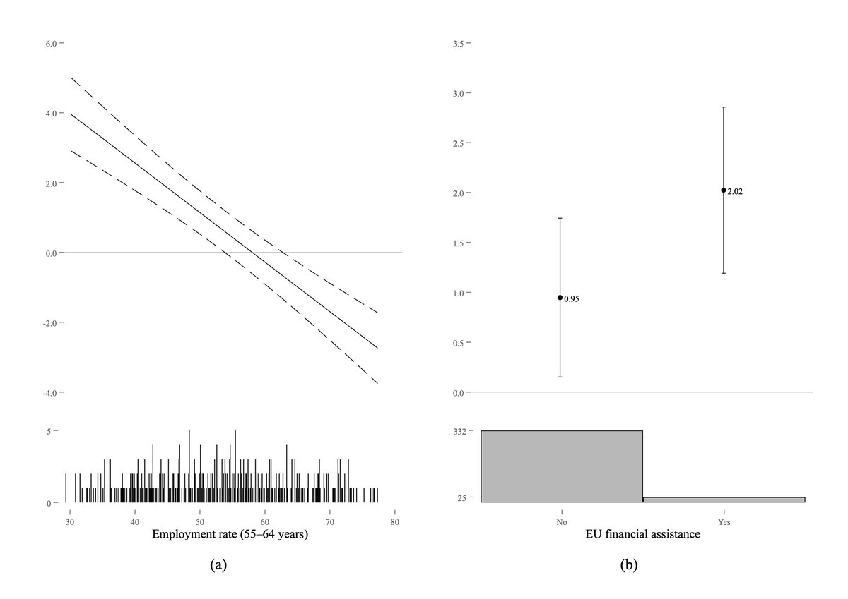
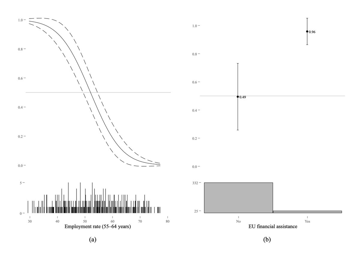
When controlling for additional factors, we find that financial support from the #EU and other supranational institutions also clearly influences both the occurrence and frequency of #pensionreform recommendations. 4/5
1
0
3
@janhelmdag
Jan Helmdag
1 year
In examining the macro-level determinants of PRRs, we use regression models with #OMC indicators for the three corresponding dimensions. We find that low employment rates of older workers alone consistently explain both the occurrence and frequency of PRRs. 3/5
1
0
3
@janhelmdag
Jan Helmdag
1 year
We code and analyze 438 PRRs issued in the context of the #EuropeanSemester and financial assistance programmes from 2011–23. We find that a clear majority (70%) of PRRs are focused on #sustainability, while #adequacy (19%) and #modernisation (11%) are rarely addressed. 2/5
1
0
3
@janhelmdag
Jan Helmdag
1 year
New publication! 📰 – open access 🔑 @NikoVaananen and I examine the extent to which #pension #reform #recommendations (PRRs) in #EU socio-economic governance are consistent with the main objectives of the pensions strand of the #OMC https://t.co/oEu5HrmSxq 1/5
2
8
18
@janhelmdag
Jan Helmdag
1 year
Well, I've got ‘Trump’ and ‘Kamala Harris’ right, so 3/4 correct, I guess?!
@janhelmdag
Jan Helmdag
5 years
My prediction for the election 2024: Ivanka Trump runs for President against Kamala Harris.
0
0
2
@SOFI_su_se
Swedish Institute for Social Research (SOFI)
1 year
So well deserved! SOFI researcher Cassandra Engeman is awarded a @ERC_Research Starting Grant to examine how trade unions influence social policies across various countries, with a focus on care leave policies that grant time-off from work.
@Stockholms_univ
Stockholms universitet
1 year
4 forskare vid Stockholms universitet beviljas ERC Starting Grant 2024. En är Cassandra Engeman vid @SOFI_su_se som ska undersöka hur fackföreningar påverkar sociala politiska beslut. @ERC_Research #ERC #StartingGrant #forskning https://t.co/J5O0JsSTb4 & https://t.co/UE4V5F0qsN
1
7
45
@KhoaVuUmn
Khoa Vu
1 year
Me promising to switch from Stata to R:
2
3
191
@merveuzunaliogl
Merve Uzunalioglu
1 year
Also a great pic of @janhelmdag here in collaboration with @KeonhiS 👍🏼 #ESPAnet2024
0
3
13
@janhelmdag
Jan Helmdag
1 year
I would already like to thank @ManuFerragina and Chris Deeming for organizing the stream “The Uses of Comparative Research Methodologies in Social Policy and Politics” and I look forward to your feedback 9/9
1
0
3
@janhelmdag
Jan Helmdag
1 year
This is just a quick overview of my findings here, but I'll be going into much more detail in my presentation. If you want to know more, come to my presentation on Wednesday at 16:30 in room A4 8/9
1
0
4
@janhelmdag
Jan Helmdag
1 year
The right-hand side of the equation (i.e. political variables) reveals that unidirectional variables (left panel; e.g. seat shares of one particular group) are less consistent than bidirectional variables (right panel) that are measured on a left–right continuum 7/9
1
0
4
@janhelmdag
Jan Helmdag
1 year
A closer look at different types of labor market policies reveals that results for active LMPs (left panel) are less consistent than for passive LMPs (right panel). Also reverse partisanship is considerably less prevalent in passive LMPs 6/9
1
0
4
@janhelmdag
Jan Helmdag
1 year
When looking at trends over time, I also find that new politics-dynamics become more prevalent in recent decades and directed partisanship has decreased 5/9
1
0
4