Explore tweets tagged as #PolicyRate
@toplinesec
Topline Securities Ltd
3 years
Pakistan Economy: Monetary Policy Survey; Majority expects “No Change” in Policy Rate #PSX #KSE100 #Topline #Pakistan #PakistanStockExchange #Economy #MonetaryPolicy #PolicyRate
0
2
11
@invescoindia
Invesco Mutual Fund
7 days
Chart of the week - Japan raises its policy rate by 25 bps to 0.75%, marking a significant move as inflation stays elevated above target for 44 consecutive months. #ChartOfTheWeek #JapanEconomy #BOJ #BankOfJapan #PolicyRate #InterestRates #Inflation #CPI #ConsumerPriceIndex
0
0
2
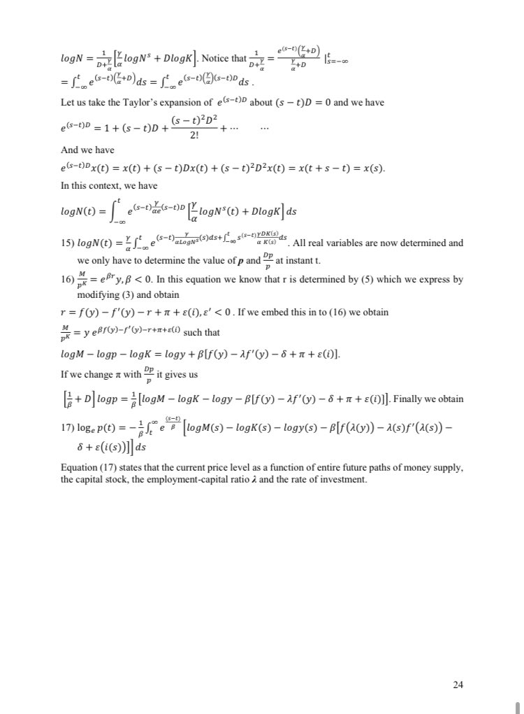
@_TheFluc
TheFluc
1 month
The Bank of Ghana has cut the policy rate by 350 basis points, bringing it down to 18%. This move is expected to ease borrowing costs, stimulate economic activity and support ongoing economic recovery efforts. #BankofGhana #MPC #PolicyRate #GhanaEconomy #InterestRates
0
29
33
@analystfahad
Fahad Rauf
3 years
Another record SBP raises policy rate to highest ever levels of 20%, last seen in October 1996 #SBP #Pakistan #IMF #policyrate #interestrate
1
9
22
@toplinesec
Topline Securities Ltd
3 years
Pakistan Economy: Policy Rate up 100bps to 21%; Inflation expected to start declining after two months #PSX #KSE100 #FrontierMarkets #Topline #Pakistan #PakistanStockExchange #PolicyRate #Inflation #Economy
0
2
11
@canerozdurak
Doç. Dr. Caner Özdurak
3 years
To increase or not to increase, that is NOT the question. Loading @ierfm 🤓 #inflation #policyrate
0
1
4
@brecordernews
Business Recorder
1 year
Federal Minister of Finance and Revenue, Senator Muhammad Aurangzeb on Saturday said there is a possibility of a gradual decrease in the policy rate in the current year. https://t.co/P05NP7H7ka #PakistanEconomy #policyrate #brecordernews
1
2
9
@NewsfirstSL
Newsfirst.lk Sri Lanka
11 months
The Central Bank of Sri Lanka Maintains Overnight Policy Rate (OPR) At The Current Level Details: https://t.co/vWeXvreggQ #news #news1st #newsfirst #update #srilanka #newsupdate #latestupdate #centralbank #policyrate #deflation
0
1
5
@toplinesec
Topline Securities Ltd
1 year
Pakistan Economy: SBP reduced policy rate by 200bps; Govt has arranged external financing required for IMF board approval #SBP #MPS #PolicyRate #Pakistan
1
4
35
@akdsecurities
AKD Securities
11 days
𝐈𝐦𝐩𝐚𝐜𝐭 𝐨𝐟 𝟓𝟎𝐛𝐩𝐬 𝐂𝐮𝐭 𝐢𝐧 𝐏𝐨𝐥𝐢𝐜𝐲 𝐫𝐚𝐭𝐞 #Pakistan #SBP #Earning #PolicyRate @MuhAwaisAshraf @pakstockexgltd @StateBank_Pak
1
4
43
@BNM_official
Bank Negara Malaysia
10 months
Jawatankuasa Dasar Monetari (MPC) BNM membuat keputusan untuk mengekalkan Kadar Dasar Semalaman (Overnight PolicyRate, OPR) pada 3% Baca Penyataan Dasar Monetari melalui https://t.co/PZICj0m8To Rujuk Soalan Lazim (FAQ) untuk maklumat lanjut mengenai dasar monetari, termasuk
3
33
52
@toplinesec
Topline Securities Ltd
2 years
Pakistan Economy - Policy Rate unchanged at 22% as expected; Real rates are “Significantly” positive now #Economy #PolicyRate #MPS #SBP #Pakistan
1
0
9
@jang_akhbar
Daily Jang
3 years
اسٹیٹ بینک نے شرح سود میں ایک فیصد اضافہ کردیا۔ تفصیلات جانیے: https://t.co/CRgVzRC8R6 #DailyJang #PolicyRate
1
0
7
@ergun_unutmaz
Ergun Unutmaz
2 years
#TCMB dün gerçekleştirilen #ParaPolitikasıKurulu'nda politika faiz oranını 750 baz puan arttırarak faizleri yüzde 17,50 seviyesinde yüzde 25,00 seviyesine çekmiştir. #CBRT #PolicyRate
0
0
12
@TheCurrentPK
The Current
3 years
In a meeting held today, the State Bank of Pakistan’s (SBP) Monetary Policy Committee increased the policy rate by 300 basis points (bps) to 20 per cent as a measure to curb inflationary pressure. Read more: https://t.co/FBMYU9okKz #TheCurrent #SBP #PolicyRate #MPC
0
0
2
@TheCurrentPK
The Current
3 years
The State Bank of Pakistan (SBP) is expected to raise its policy rate by a significant 100-200 basis points in light of the country’s economic situation and historically high inflation reading. Read more: https://t.co/N3X47RNp41 #TheCurrent #SBP #MPC #PolicyRate #Inflation
0
0
1
@TheCurrentPK
The Current
3 years
During an emergency meeting convened on Monday, the State Bank of Pakistan (SBP) made the decision to raise the policy rate by 100 basis points (bps), resulting in a new rate of 22 per cent. Read more: https://t.co/IWADnBPWfO #TheCurrent #SBP #PolicyRate #Inflation #MPC
0
0
1