Explore tweets tagged as #Macroalgae
@MEPS_IR
Marine Ecology Progress Series (MEPS)
4 days
The herbivorous sea urchin Centrostephanus rodgersii removes macroalgae & creates barrens. Understanding density-dependent processes governing its abundance assists with addressing the challenges it poses in some jurisdictions in south-eastern Australia. https://t.co/LYf6NtaqSi
0
2
4
@IanH77
Cornell Marine Mass Mortality Laboratory ๐Ÿณ๏ธโ€๐ŸŒˆ
1 year
A nice afternoon snorkeling in the Whitsundays, Australia, while on holiday. Amazing how macroalgae becomes very evident in winter yet in summer is almost gone. Some interesting corals and bleachingโ€ฆ
0
1
6
@IanH77
Cornell Marine Mass Mortality Laboratory ๐Ÿณ๏ธโ€๐ŸŒˆ
11 months
Day two of heat(cold)wave sampling. Winds kicked up but were manageable out on the reef, just not good enough to get in the water. Hit the reef side then bayside focused on plankton. Late afternoon sampled the coastal site again collecting macroalgae and sponges @HensonMW_08
2
0
8
@FrontMarineSci
Frontiers - Marine Science
20 days
New Research: Detection of unusually high transcriptomic and proteomic abundance of bromoform-synthesizing halogenase in marine macroalgae Asparagopsis taxiformis https://t.co/9n6xsxrcL4 #FrontiersIn #MarineScience
0
2
3
@Guanlong_wucaii
ๅ† ้พ ่ซธใ€…ใ‚’ๅŸท็ญ†ไธญ
2 months
"Palaeoecology of Placodus gigas (Reptilia) and other placodontids โ€” Middle Triassic macroalgae feeders in the Germanic Basin of central Europe โ€” and evidence for convergent evolution with Sirenia" (Cajus G. Diedrich, 2010) ๆฟๆญฏ้กžใจๆตท็‰›้กžใฎๅŽๆ–‚้€ฒๅŒ–๏ผŸ https://t.co/636VlS82fV
1
48
234
@Sacto_Aquarium
Ollie the Pufferfish
3 months
Patty, the peppermint shrimp in the #macroalgae tank, lies in wait and then grabs the food pellets directly from the forceps. Smart girl! ๐Ÿฅฐ๐Ÿฆ๐Ÿ’—
0
5
15
@Hoyaboya11
Hoyaboya
1 month
Liang et al. (2025, 9ๆœˆ September)๏ผˆใ‚ชใƒผใƒ—ใƒณใ‚ขใ‚ฏใ‚ปใ‚น open access๏ผ‰ Branched Setae or Attached Macroalgae: A Case Study of an Exceptionally Preserved Brachiopod from the Early Cambrian Chengjiang Lagerstรคtte
1
3
5
@CSICGalicia
CSIC Galicia
1 month
๐ŸŽ™๏ธHoy hablamos con Gonzalo del Olmo, #doctorado con la tesis "Microbial Interactions in Macroalgae with Implications in #Aquaculture" dirigida desde el @IIM_CSIC y la UDC ๐ŸงชConversamos sobre las aplicaciones de las algas y su futuro como cientรญfico ๐Ÿ‘‰ https://t.co/x2IHEGbmhR
0
1
3
@SeaDelight
Sea Delight
4 months
๐‘บ๐’†๐’‚๐’˜๐’†๐’†๐’… ๐’ˆ๐’‚๐’Š๐’๐’” ๐’ˆ๐’“๐’๐’–๐’๐’… ๐’‚๐’” ๐’‚ ๐’‡๐’–๐’๐’„๐’•๐’Š๐’๐’๐’‚๐’ ๐’Š๐’๐’ˆ๐’“๐’†๐’…๐’Š๐’†๐’๐’• ๐’Š๐’ ๐’‚๐’’๐’–๐’‚๐’‡๐’†๐’†๐’…๐’” As the aquaculture industry looks for sustainable, functional alternatives to fishmeal, recent research highlights the potential of marine macroalgae as a
1
4
6
@seaweedindo
Indonesia Seaweed
1 year
Did you know? Indonesia is home to an incredible diversity of algae with approximately a total of 2083 species Among these, at least 564 species are red algae (Rhodophyta), making them the most abundant type of macroalgae in Indonesian waters.
1
4
9
@SmallestMamoru
Darkest Mamoru ๐Ÿฆโœจ๐Ÿ”œ
9 months
Just dosed the tap reef to get rid of all the Red Cyanobacteria. Gonna get it looking pretty again ๐Ÿ˜ค Really want the macroalgae to grow in. Do I add more corals orโ€ฆ? ๐Ÿค”
0
1
14
@SmallestMamoru
Darkest Mamoru ๐Ÿฆโœจ๐Ÿ”œ
6 months
Dinner time for the tap reef~ Took some time today to clean the glass, add some macroalgae, and top up. The workroom is low stress right now. I like that.
0
0
6
@BiocharToday
Biochar Today
7 months
Harnessing the Potential of Macroalgae: A Review of Pyrolysis for Bioenergy Production https://t.co/CFS5os7sBy
0
0
2
@Rose_McN
Rose
2 months
It's been a great day at #PlastidPreciew2025 at the University of Essex. I've learnt about chloroplast development, retrograde signalling and even macroalgae! Ciara, Thomas and Carol (my Seung group lab mates) gave fab talks and I'm looking forward to my go tomorrow...
1
1
29
@JimPullen9
Jim Pullen
1 year
Macroalgae difference on the River Stour - June 2023 to June 2024.
0
2
2
@IanH77
Cornell Marine Mass Mortality Laboratory ๐Ÿณ๏ธโ€๐ŸŒˆ
1 year
Phycology friends! I could use some help identifying a turf macroalgae that we are interested in that occurred on the bayside of Marathon (Florida Keys). Itโ€™s foliose with plumose projections away from branching thalli. Any help- even within a family or genus- would be appr!
0
1
5
@fishmoding
sam ๐Ÿณ๏ธโ€โšง๏ธ๐Ÿ ๐Ÿชผ
11 months
what i struggle in growing sps coral i make up for being able to grow macroalgae
7
1
123
@ii_kappa
kappa
8 months
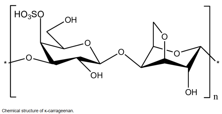
Kappa-carrageenan (ฮบ-carrageenan) is a natural polymer and sulfated galactan extracted from red marine macroalgae, Kappaphycus alvarezii (italicized). It is widely used in the food industry. I have a personal storyโ€”and some traumaโ€”related to this compound.
3
0
6
@Dinoh555
Dactylioceras๐Ÿ‡ต๐Ÿ‡ธ
1 month
SBranched Setae or Attached Macroalgae: A Case Study of an Exceptionally Preserved Brachiopod from the Early Cambrian Chengjiang Lagerstรคtte https://t.co/IoDrS8pBGU
0
4
33