Explore tweets tagged as #DroughtResearch
Had a great field day using the MPM-100 Multi-Pigment Meter to study drought response in wheat 🌾. It gives deeper insights into plant health, helping guide sustainable crop strategies. 🌱💧 #DroughtResearch #SustainableFarming
3
5
78
That moment when one book connects all of our class discussions...#opinionwriting #droughtresearch #itsyourworld @susanverde #jesvt #cesuvt
0
1
3
Policymakers battling water shortages and land degradation need independent scientific advice. #IPCC #ClimateChange #Drought #DroughtResearch
https://t.co/aTdDCh7ZIW
1
2
7
🌱 Study shows vegetable soybean & cowpea's distinct water use under drought. Key genes identified, shedding light on species-specific drought resistance mechanisms. #PlantScience #DroughtResearch 🌿🔬 @OxfordJournals Details: https://t.co/0NuJShy8Qy
0
4
20
Latest US DroughtResearch http://t.co/FpVaKYEQDz
@MarkFerguson_7 @_SarahCumming @AngieAsimus @ChrisReason7 @ChrisBath7 @7NewsSydney @2GBNews
0
0
0
Next steps: a national drought event in 2026 that turns ideas into action. 👀 See the full workshop report: https://t.co/8tI5AdNzDf
#DroughtResearch #FDRI #WaterSecurity #ClimateAction 3/3
0
2
3
A recent study from China offers insights into long-term dry and wet fluctuations at the desert margins and elucidates the relationship between drought and dynamics of civilizations. #ClimateChange #DroughtResearch #TreeRings Read here: https://t.co/GbRidrJv71
0
0
3
🌿 How Urban Shrubs Beat Drought 🌍 Extreme drought impacts urban greenery. Discover how shrubs adapt: https://t.co/LGbPaQHk75 🎥 @Agronomy_Mdpi
#UrbanGreening #DroughtResearch #Sustainability #PlantScience
0
0
1
The USU Greenville Research Farm in North Logan is over 100 years old! Originally established as a research site, today the site researches drought and disease-resistant plants adapted to live in Utah's high desert climate 🌵 #droughtresearch #drought22 #USU #PlantScience
0
1
6
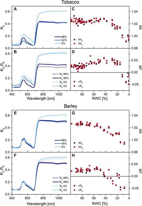
We compared leaf spectral reflectance and chlorophyll fluorescence for drought response in tobacco and barley. Chlorophyll fluorescence proved more reliable, but both methods are recommended. #ClimateChange #PlantScience #DroughtResearch Details: https://t.co/U5Qqf9AZr4
0
2
3
How has Bihar’s rainfall evolved over the past 120 years? Read here: https://t.co/0BbOoxnAhw
#ClimateChange #RainfallPatterns #DroughtResearch #Hydrology #ClimateResilience #BiharAgriculture #EnvironmentalResearch #WaterManagement #SustainableFarming #ClimateAdaptation
0
0
0
Overlooked #plants defy #drought
https://t.co/yFW0JXcY3i
#AgWater #WaterManagement #WaterConservation #DroughtResearch #DroughtEducation
0
1
3
Global and Urban Greening, along with greater biodiversity conservation and better ecosystem restoration are probably the best solutions to most of the problems mentioned. This is also why the Drought Research, Global Greening & Trillion Trees Initiative started. #DroughtResearch
4
7
10
CASC scientists work to understand how #drought impacts important natural resources in the US. Our website has a wealth of resources dedicated to #DroughtResearch that won't dry up any time soon: https://t.co/wwkrLEOR2J
#CASCAdapt #Drought2021 #ClimateAdaptation
1
9
28
Plant protein discovery could reduce need for fertilizer Read more: https://t.co/aqAjXUirkE
#agriculture #food #drought #EndangeredPlants #EnvironmentalIssues #water #DroughtResearch #AcidRain
0
0
0
.@DroughtCenter scientists like @TonyaHaigh work at the forefront of applied #DroughtResearch. Recent work looks at developing resources for #SpecialtyCrop growers and local planners. Learn more about the latest NDMC research: https://t.co/hFYJp0XfIX
1
4
9
Have done a lot of research on this. There are some special plants that can hold water and others that have deep roots to access groundwater, much like certain trees that can survive intense droughts relatively well. If you want to know more, contact or ask. #DroughtResearch #DRR
0
1
0
🌧️ Our latest study on the impact of ocean-atmosphere teleconnections on rainfall variability in the Brazilian Legal Amazon is out! 🌍 📖 Read for free until July 13: https://t.co/Z2TxnPJZxA
#ClimateScience #AmazonRainforest #DroughtResearch #OpenAccess
0
0
2
New study explores #plant adaptations to #drought & #ColdStress
https://t.co/0iD34W83TD
#AgWater #WaterManagement #DroughtResearch
0
0
1
@BBQPossum @WallworkSimon @alansattler74 @ChristieKngstn @Middleton_Says @KentBroad @HoolyMcg @cosfarming @GusWhyte @agintegrity @AgZero2030 Yer shit. Scary. You’d be familiar with this one then ?
0
0
2