emedon Profile Banner
えめどん Profile
えめどん

@emedon

Followers
216
Following
29K
Media
1K
Statuses
56K

趣味はゲームと旨い物探しです。 趣味はできるだけ仕事にしないことにしました。 質問箱:https://t.co/ok219qsSP1

池袋
Joined July 2010
Don't wanna be here? Send us removal request.
@emedon
えめどん
20 hours
因数分解も三角関数も、学ばなければそれらを使わない職にしか付けないと言うだけ。 英語も社会も国語も理科も全部そう。 未来の選択肢を広げるためには若いうちからスキルツリーを開放していくしかない。
@tuktuknoritai
tktk
1 day
因数分解や三角関数を社会に出て使うのか? 的なポストを見たが、学校で習う事って 「直接使うかどうか」が大事なのではない。 数学的な思考能力を鍛えるためにそれらを勉強するんだよ。 因数分解を仕事で使うとかではなく、 因数分解の仕組みや決まりを理解する事が思考力の栄養になっていく。
0
0
0
@emedon
えめどん
20 hours
ミリアルデ、能登麻美子さんか…
0
0
0
@emedon
えめどん
23 hours
迷走神経反射、めっちゃ怖いんよなぁ… 椅子にすら座ってられないし、気持ち悪いし、どうすればよくなるかわからんし。
@tori_atm
鳥頭ゆば
1 day
おなか痛い時に貧血っぽくなるアレの正体(1/2)
1
1
1
@emedon
えめどん
23 hours
自分ところの���供に向けて言うか、他人ところの子供に向けて言うかの違いではあるけど、文脈的には「オカン」の方が正解ではありますな。 すんません。
1
0
16
@emedon
えめどん
24 hours
56億7千万年後まで世界が存在することを保証されてるしな。 弥勒が如来となって帰還して救ってくれるから。
@wantan_tabetai
瘴気領域@『新選組討魔録』好評連載中!
1 day
仏教からすると御仏は三千世界を見守っておられるので、異世界に仏が存在しないほうがおかしいのだが、一切衆生皆仏性であるので、あらゆる異世界存在はまだ表に現れていないだけで仏になる可能性を秘めている。
1
1
4
@emedon
えめどん
24 hours
要件を満たしているか顧客に聞かないとわからないって、要件定義をしてないからでは? まぁ百歩譲ってコーディングがすぐ終わったというのは良いのですが(特に日本の)顧客は『すぐできたもの』の価値を不当なほど低く見る傾向があります。 将来的に自分の首を絞める結果にならなければ良いのですが…
@K_JINKEN
宮部龍彦→神奈川県人権啓発センター
2 days
IT業界の現状レポートです 3名18人月で請け負ったプロジェクト、1人がCodexとCopilotに頼んだら一日で本体もドキュメントもほぼ出来てしまって 一方で要求を満たしているか顧客に確認しないといけないから、どうするんだこれみたいなことが起こっています これからいろいろとぶち壊れそうですね
0
0
1
@emedon
えめどん
1 day
このままだと風林火山が完全制覇(優勝&個人賞独占)しちゃう勢いだな…
@mleague_results
Mリーグ成績速報(非公式)
1 day
【個人四賞暫定TOP3】 ■個人スコア 625.0 永井孝典 436.4 下石戟 415.0 内川幸太郎 ■ハイスコア 104,700 内川幸太郎 91,500 鈴木優 80,200 HIRO柴田 #Mリーグ
0
0
0
@emedon
えめどん
1 day
地底の城塞にも名前が出てくるアシャーダロンさんだ。
@HitotoriPenguin
弌鳥トリィ🐧
1 day
これの準備を進めた🐧 エルフ並のスピード感になってしまっている
0
0
0
@emedon
えめどん
1 day
上手くいってからカッコいいことを言うと良いのです。
@trpg93320
りりり🐲
2 days
こんだけTRPGやってると「ここでかっこいいこと言っちゃお」って狙ったことの一度や二度はあるんだけど、上手くいったこと一回もない
0
0
2
@emedon
えめどん
1 day
メシどうしようかな…
0
0
0
@emedon
えめどん
1 day
まぁこの人はマジのシゴデキ経営者だもんなぁ… 柴田亜美先生の漫画でも常連だったし、コエテクの資金繰りはこの人のトレーダーとしての腕に支えられてると言っても過言でない。 そして女性向けゲームの金字塔をいくつも輩出してきた有言実行の人。
@kuma_neko_
くまねこ
1 day
乙女ゲーマーの中でもコエテクの襟川名誉会長はガチ。あまりにも頼もしすぎる背中。
0
2
7
@emedon
えめどん
1 day
個人的な意見としては、プロとして「使える」と言えるのは、車で言えばマニュアル車運転して、整備もある程度自分でできるくらいになってからだと思ってるので、現状ではオートマ車を街乗りしてる程度なんで、とても言えないですね…
@bukkan817
ぶっかん
2 days
自社サの人達はもうClaude CodeやCodexを使って開発していてAIの進化を肌で感じていて仕事の変化についてポストしているけど、SIer商流で働いているSESのPGの人達はこの状況をどう認識しているんだろう? まだそんなに変化していないし仕事が無くなる雰囲気ではない?
0
0
1
@emedon
えめどん
1 day
まれによくある
@HigurashiNapon
まよねこの勤労🐈💨
1 day
定期
0
0
0
@emedon
えめどん
1 day
関西弁ならママなんて言わず、「おばちゃん」言うてると思うで。
@megfuj
藤めぐみ
2 days
ちょっと指摘させてもらうわ たぶんそれ関西弁やわ
3
1
2
@bigbob66614
ボブさん
2 days
知らなかった…ワタシの葬式でもデスサブレ配りたい。
@aoitile
アオタイ
2 days
鎌倉で葬儀に出ると白黒の箱に入れられた鳩サブレーが配られることがあり、俺はその状態の鳩サブレーをデスサブレーと呼んでいる。 俺の葬式でもデスサブレーを配りたい
76
12K
55K
@emedon
えめどん
2 days
SEとしては選択言語をキャッシュなりクッキーなりに持って、表示を差し替える事自体は難しくはないと思うんだけど(今時どの言語もDTPだろうから翻訳データはあるだろうし)、唯一、言語切り替えを考慮せず英語でベタ書きされてる場合のみ面倒くさくて、おそらくそうなってんだろうな、と思ってる。
@gogadanba
ゴガダンバ
2 days
D&D Beyondは日本語どころか英語以外の展開がほぼ無い(イタリア語だけPHB2014があるけど止まってる?)。たぶんツール面の対応がきついんじゃないかな~。勝手な推測だけど。
0
2
4
@emedon
えめどん
2 days
小籠包と小籠包と小籠包と小籠包と小籠包と餃子と焼売と炒飯といくつかの肉とデザートを食べてきました。 1人だと行きにくい店でも一緒に行ってくれる友人に感謝感謝。 金額はちょい高めかな?という感じ。美味しかったのでヨシ。
0
0
0
@emedon
えめどん
2 days
金と時間。
@TETRAN_IT
てとらん
2 days
「技術的には可能です」 じゃ何が不可能なのか言ってみなさい。
0
0
0
@emedon
えめどん
2 days
カボチャとナスは許せる ナスは揚げてあるとなお良し ピーマンは苦味が気になるかなぁ 大根は辛味が無ければ気にはならなそう
@tetsublogorg
青髪のテツ🪼八百屋歴14年
2 days
カレーを作るたびに小6の娘から「玉ねぎ、にんじん、じゃがいも以外は認めない。余計なものは入れないで」と言われます。 みんなはどのカレーなら許せる?
0
0
0
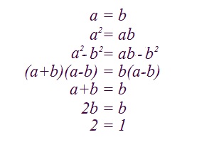
@emedon
えめどん
2 days
4行目で0除算してるのが原因。 ってマジレスするのはこの記事の本意ではないという。 中学生に見せて分かるかどうか確認するにはいいかもね。
@KyokoArchives
虚構新聞アーカイブス
2 days
「2と1は等しい」 数学界で論議  https://t.co/BLmUTSe007
0
0
0