egatkinson Profile Banner
Elizabeth Atkinson Profile
Elizabeth Atkinson

@egatkinson

Followers
1K
Following
2K
Media
29
Statuses
352

Population and statistical genomicist working to make genomics fully representative. @bcmhouston @BCMGenetics. Views are my own. (she/her)

Houston, TX
Joined February 2018
Don't wanna be here? Send us removal request.
@bcm_aouewg
All of Us Evenings with Genetics Research Program
3 months
🚨 New perspective piece! 🚨 @egatkinson and team developed a hands-on training resource for large-scale genomic data analysis in the @AllofUsResearch Workbench, now published here:
@AJHGNews
AJHG
3 months
📢Online now from @egatkinson & co! 📄Implementing a training resource for large-scale genomic data analysis in the All of Us Researcher Workbench 🧑‍💻 https://t.co/XLfqDXEeDY
0
4
6
@doctorveera
Veera Rajagopal 
5 months
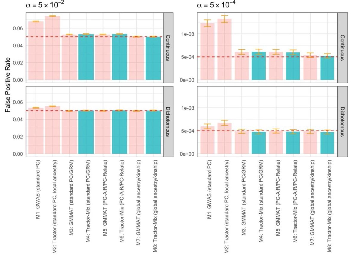
Tractor, a tool developed by Elizabeth Atkinson’s team at Baylor for local ancestry-aware GWAS in admixed populations, gets a new upgrade: Tractor-Mix, which now supports cohorts with high relatedness, such as the Mexico City Prospective Study. Paper: Tan et al. Extending
1
6
17
@egatkinson
Elizabeth Atkinson
7 months
I have migrated to bluesky but come check out our Bluetorial for the lab's most recent paper there!
0
1
1
@GeneticsSociety
ASHG
10 months
.@AJHGNews' paper by @egatkinson, @mauer_jh, & co. examine accuracy rates & error modes for local ancestry inference (LAI). Their work informs best practices for high-quality LAI vital for genomics applications in admixed populations: https://t.co/cLxHZTiqIa #ASHG
cell.com
This work examines accuracy rates and error modes for local ancestry inference (LAI) using simulated admixed cohorts. Our findings inform best practices for high-quality LAI, which is vital for...
0
5
6
@egatkinson
Elizabeth Atkinson
10 months
Starting off the new year with a new paper! 🎆📰 Check out @mauer_jh 's fantastic manuscript evaluating features influencing the accuracy of local ancestry inference in admixed populations. Tweetorial posted previously for the preprint below, and PDF at:
@egatkinson
Elizabeth Atkinson
1 year
I am delighted to announce that @mauer_jh’s first paper with me is up on biorxiv! Their work thoroughly evaluates features affecting local ancestry inference across many (I mean many) simulated demographic and data models to advise on best practices.
0
7
18
@egatkinson
Elizabeth Atkinson
11 months
So happy for my PhD student, @get_grace_, on her award of her F31! Very well deserved 🤩 will be fun working together to reduce disparities in cardiometabolic prediction!
1
1
23
@egatkinson
Elizabeth Atkinson
1 year
The lab had a great time at #ASHG2024, learning about the newest in genetics and genomics, and with several members seeing snow for the first time!
1
2
42
@egatkinson
Elizabeth Atkinson
1 year
The Atkinson lab is representing at #ASHG2024! Come check out our work over the next few days:
1
6
46
@PGCgenetics
PGC Consortium
1 year
Hello, everyone! Over the next two weeks, I'd like to invite you to learn what is being done to understand psychiatric disorders in Latin American populations. If you're interested, join us! @LAGCPsychGene #latinamerican #genetics
0
5
11
@egatkinson
Elizabeth Atkinson
1 year
The preprint is officially up! Check it out for more details on our pipeline and results. I'll expand with a fuller tweetorial for the ultimate publication; for those attending ASHG, check out Pragati's poster (board 1046T) in the meantime! 🧬🎨 https://t.co/wCKoFhaWfm
Tweet card summary image
biorxiv.org
The Genome Aggregation Database (gnomAD) has been an invaluable resource for the genomics community[1][1],[2][2], quantifying allele frequencies across multiple genetic ancestry groups. However,...
0
1
7
@genandgenes
Genevieve Wojcik, PhD MHS
1 year
Please join us on 10/31 for the public report release webinar of the new @NASEM_Health report on The Use of Race and Ethnicity in Biomedical Research. We’ll be giving a brief recap of the report and have a Q&A open to the public! https://t.co/7yeft0lbJL
Tweet card summary image
nationalacademies.org
Learn more from the National Academies of Sciences, Engineering, and Medicine
0
13
24
@egatkinson
Elizabeth Atkinson
1 year
Apparently, it’s Boss’s Day today - something I learned when my amazing team surprised me with a custom cookie cake! I’m so touched and grateful to be surrounded by such a talented and thoughtful group. ☺️
1
0
23
@egatkinson
Elizabeth Atkinson
1 year
This work, co-led by Mike Wilson and Pragati, was the result of a close collaboration with @broadinstitute, with more folks to thank than I can link. Big big thanks to all who contributed, especially the @gnomad_project team!
1
0
2
@egatkinson
Elizabeth Atkinson
1 year
Check out the blog post linked above for more details, watch this space for an upcoming expanded preprint, and come see my talented trainee @prags_kore 's poster at #ASHG24 (board 1046T), to learn more!
1
0
0
@egatkinson
Elizabeth Atkinson
1 year
With the release of this new LAI data, we provide a higher-resolution view of allele frequency across specific ancestry backgrounds, which is obscured when assessing frequency at the aggregate group level, enabling more precise and accurate genomic interpretations.
1
0
0
@egatkinson
Elizabeth Atkinson
1 year
The new LAI-informed frequency data includes 24,204,574 biallelic variants with MAF>0.1% in this genetic ancestry group, and can be downloaded as a VCF or interactively explored on the gnomAD browser ( https://t.co/VbjbSKnfem).
1
0
0
@egatkinson
Elizabeth Atkinson
1 year
I'm excited to announce that we have generated local ancestry informed allele frequencies for the inferred African/African American genetic ancestry group of gnomAD v4.0, live now on the browser! https://t.co/KoOKdKRCcS
2
11
72
@egatkinson
Elizabeth Atkinson
1 year
So proud of my stellar trainee, @get_grace_ , who will be leading an advocacy workshop for @GeneticsSociety tomorrow! There's still time to register - don’t miss her insights on driving real change in genetics research.
@GeneticsSociety
ASHG
1 year
Advocacy can shape the future of human genetics, and you can help! 💪Next Wednesday, you'll gain hands-on skills to amplify your voice and influence policy. 🧬No prior experience required! Purchase your ticket to join us and be part of the change: https://t.co/L3hZfSI0xH #ASHG
0
0
16
@egatkinson
Elizabeth Atkinson
1 year
I am so flattered to be part of the @AJHGNews Featured Symposium! Looking forward to talking about the needs and opportunities surrounding genomics research in lower and middle income settings!
@AJHGNews
AJHG
1 year
Thanks @egatkinson! We can't wait for your talk at #ASHG24 in our Featured Symposium
0
3
27