den282242 Profile Banner
Eric Den Profile
Eric Den

@den282242

Followers
2K
Following
3K
Media
2K
Statuses
8K

MAGA Bear

Joined March 2024
Don't wanna be here? Send us removal request.
@mollie_don
❥❥❥ᗰoᒪᒪie❥❥❥
8 hours
Any teacher who takes kids out of school to protest ICE without WRITTEN parental permission should be FIRED on the spot! Look at this California mess, teachers marching SECOND GRADERS through the streets chanting against ICE. Who’s really watching these little ones? Teachers
19
98
137
@GuntherEagleman
Gunther Eagleman™
6 hours
🚨 “WHERE ARE THE “ALMOST 50” BOXES OF ELECTION DOCUMENTS!!??”
46
691
2K
@GuntherEagleman
Gunther Eagleman™
2 days
This is the story they never told you about Donald Trump and America's veterans. In 1995, the New York City Veterans Day Parade was in financial trouble. President Donald Trump personally donated $200,000 and raised another $300,000 to save the parade. Without him, it wouldn't
1K
17K
49K
@GuntherEagleman
Gunther Eagleman™
13 hours
🚨BOMBSHELL: TPUSA’s ALL-AMERICAN HALFTIME SHOW just SMASHED it with OVER 10 MILLION LIVE VIEWERS and 25 MILLION SOCIAL MEDIA VIEWS!!! They said it was IMPOSSIBLE. They laughed. They called it a pipe dream. For Charlie! https://t.co/yNjvPPWDvi
1K
7K
39K
@TPUSA
Turning Point USA
1 day
Welcome to the Land of the Free 🦅 @brantleygilbert
1K
4K
39K
@ImMeme0
I Meme Therefore I Am 🇺🇸
1 day
I’m watch The ALL-AMERICAN HALFTIME SHOW. Are you? LINK👉 https://t.co/PJcKh5a9Bw
131
248
2K
@TPUSA
Turning Point USA
1 day
LET THE ALL-AMERICAN HALFTIME SHOW BEGIN
3K
9K
72K
@0hour1
0HOUR1
1 day
Say it loud!!
75
959
7K
@pete_elite54220
pete Hegseth - Secretary of Defense - parody
2 days
9K
9K
68K
@GuntherEagleman
Gunther Eagleman™
2 days
🚨 BOOM! Argentina’s President Javier Milei just went FULL SAVAGE MODE! “When you tell a socialist the truth, they cry, claiming it’s ‘hate speech.’ No, it’s not hate speech, it’s that you’re USELESS people who have RUINED the planet.”
458
10K
45K
@GuntherEagleman
Gunther Eagleman™
2 days
🚨LFG! Minnesota State Troopers just went FULL BLITZ on the leftist anti-ICE rioters! Declared unlawful assembly → lights & sirens → cuffs flying → MULTIPLE arrests in real time. They’re finally done playing games. Trump wins! https://t.co/s1XVgYjsvH
1K
6K
24K
@GuntherEagleman
Gunther Eagleman™
3 days
💯💯💯
@MAGAVoice
MAGA Voice
3 days
CORRECT 🎯
310
912
3K
@EricLDaugh
Eric Daugherty
2 days
🚨 BREAKING: The CEO and Publisher of Washington Post Will Lewis just STEPPED DOWN as the Fake News organization just had to lay off a third of its workforce Turns out, LYING and making up BS to manipulate the American people is a horrible business model TRUMP EFFECT 🔥
571
7K
27K
@GuntherEagleman
Gunther Eagleman™
4 days
🚨 HUGE: TED CRUZ BACKS NUKING THE ZOMBIE FILIBUSTER Sen. Ted Cruz just went all-in: He fully supports eliminating the 60-vote filibuster sham so the SAVE America Act can pass and finally secure our elections with voter ID and citizenship proof. “End the zombie filibuster and
136
846
4K
@0hour1
0HOUR1
4 days
They sent in Special Ops to hunt Kyle Wagner down. These guys went in weapons hot. These are not ICE AGENTS They are terrorist hunters.
415
3K
23K
@0hour1
0HOUR1
4 days
Ladies and gentleman the house of Dindu helped bag another terrorist. He’s locked up today. How many we got now?
633
1K
11K
@catturd2
Catturd ™
4 days
100% this.
848
8K
26K
@GuntherEagleman
Gunther Eagleman™
4 days
🚨 Hey @LeaderJohnThune, the Boss is talking to you! Pass the SAVE America Act! Repost this so Thune sees it.
1K
14K
30K
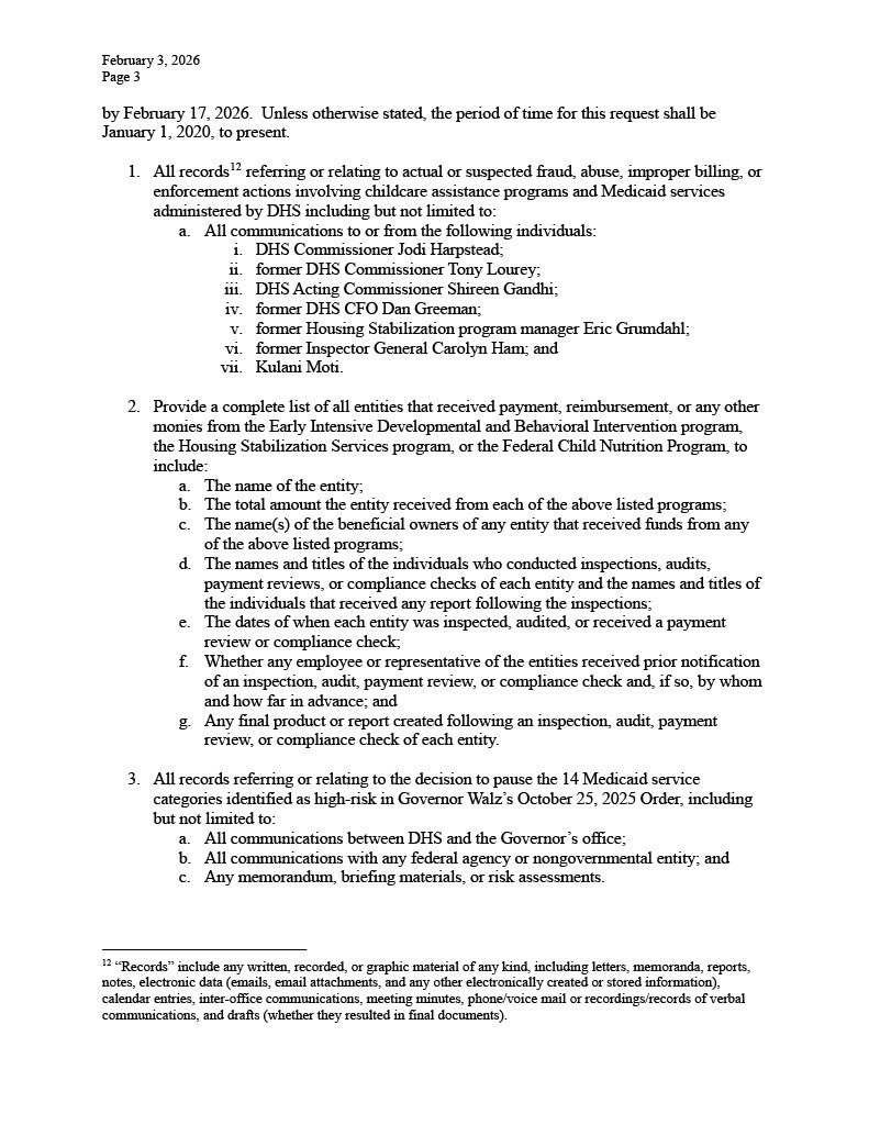
@SenRonJohnson
Senator Ron Johnson
5 days
It is well past time for Minnesota officials to answer for their failure to safeguard taxpayer dollars. I just sent a letter to @MinnesotaDHS demanding audit and inspection records for child and health care businesses suspected of fleecing the government.
188
368
1K
@SenRonJohnson
Senator Ron Johnson
4 days
.@POTUS is a very gracious host and believes we MUST pass the SAVE America Act!
@BasedMikeLee
Mike Lee
4 days
Great meeting today with @realDonaldTrump, @SenRonJohnson, and @SenRickScott We all agree: it’s time to turn to the SAVE America Act, and do whatever it takes to pass it in the Senate Big plans unfolding soon!
354
927
4K