
Brian Ichter
@brian_ichter
Followers
2K
Following
490
Media
16
Statuses
38
Co-founder of Physical Intelligence (π.com, @physical_int)
San Francisco, CA
Joined November 2014
zooming in. as we scale environments, language following improves too, and particularly recognizes objects lags being able to manipulate them
1
0
4
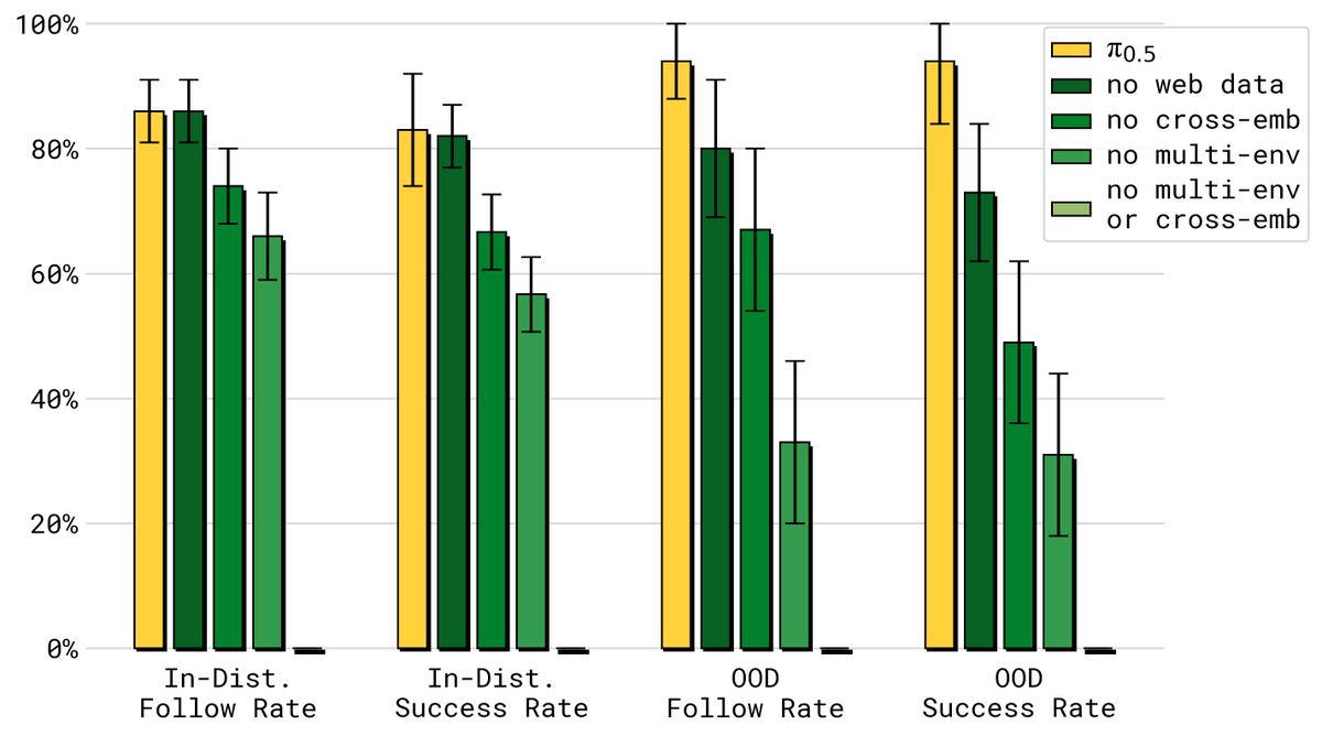
for language following: multi-environment, cross-embodiment, and web data were all critical to ood performance
2
0
2
a surprising result to me was how much co-training with high-level outputs helped performance. the model implicitly learns to break down tasks, though an explicit high-level policy is still better HL demos to learn the performance of the LL was also critical
1
0
1
with ~100 ood environments in the training data, we match or exceed in-distribution performance (where in-distribution had hundreds of hours) further, we see that without pretraining, the ood performance drops substantially
1
0
2
π-0.5, a model doing long-horizon tasks in real, unseen homes with unseen objects! @physical_int one of my favorites below at 10x sharing a few of my favorite results in thread, with many more detailed ablations in the paper: https://t.co/A8YKY49bqs
We got a robot to clean up homes that were never seen in its training data! Our new model, π-0.5, aims to tackle open-world generalization. We took our robot into homes that were not in the training data and asked it to clean kitchens and bedrooms. More below⤵️
3
10
163
Great work @lucy_x_shi, @michael_equi, @xkelym, @KarlPertsch, @QuanVng, Jimmy Tanner, @annawalling, Haohuan Wang, @NiccoloFusai, Adrian Li-Bell, @lachygroom, @DannyDriess, @svlevine, @chelseabfinn , + the whole Pi team Blog:
pi.website
Physical Intelligence is bringing general-purpose AI into the physical world.
0
0
4
Today we released Hi Robot, a high and low level approach that enables robot's to think through tasks and adjust to feedback. Turns out it not only enables interactivity, but improves performance significantly.
Vision-language models can control robots, but what if the prompt is too complex for the robot to follow directly? We developed a way to get robots to “think through” complex instructions, feedback, and interjections. We call it the Hierarchical Interactive Robot (Hi Robot).
2
0
55
I'll be speaking at Founders You Should Know in SF on Feb 5th about Physical Intelligence (π.com) -- our progress and why you should join. Plus it's a great place to meet founders of some of the best SF startups! Apply to join at https://t.co/QaPKm91Awj
@foundersysk @nifferkin
foundersysk.com
Information
2
3
39
There are great tokenizers for text and images, but existing action tokenizers don’t work well for dexterous, high-frequency control. We’re excited to release (and open-source) FAST, an efficient tokenizer for robot actions. With FAST, we can train dexterous generalist policies
10
96
753
And shoutout to the amazing team @DannyDriess @adnan_esm @michaelequi @SurajNair_1 @hausman_k @svlevine @kvablack @michael_equi @chelseabfinn @lachygroom @xkelym @mohith_dzn @KarlPertsch @lucy_x_shi @QuanVng and many more!
0
0
9
So many amazing capabilities shown on our blog, but a highlight for me is how well it pays attention to language. This means it be guided by people or used with a high-level policy to improve further.
1
0
3
Really excited to announce what we at @physical_int have been working on... π_0! Our first generalist model and accompanying paper/blog, https://t.co/zlmNh5r1u3.
2
5
104
At Physical Intelligence (π) our mission is to bring general-purpose AI into the physical world. We're excited to show the first step towards this mission - our first generalist model π₀ 🧠 🤖 Paper, blog, uncut videos: https://t.co/XZ4Luk8Dci
51
330
2K
There will be a ton of challenges along the way, and if you're interested in solving them please get in touch at join@physicalintelligence.company or read more in @ashleevance's article https://t.co/qJTFeF8ZPV.
bloomberg.com
Physical Intelligence is building software intended to power robots that can learn a wide range of tasks.
1
1
8
We're developing robotic foundation models capable of doing any task, anywhere. Too many exciting developments to list, but first and foremost is the incredible team of @chelseabfinn, @hausman_k, @lachygroom, @svlevine, @QuanVng, @SurajNair_1, and a few more to be announced.
1
1
8
Excited to announce that with a few incredible folks, we're starting a company -- Physical Intelligence (Pi, π, @physical_int). We're focused on bringing the amazing recent breakthroughs of AI and foundation models into the physical world.
13
8
108
Foundation models have shown impressive results on robots via language or code -- but these may not be good fits for grounded robotics problems. Our method PIVOT poses robot control as a VQA problem and introduces *iterative* visual optimization over robot actions! 🧵
1
19
90
Proud to work with a great team of @snasiriany, @xf1280, @Stacormed, @xiao_ted, @jackyliang42, Ishita Dasgupta, Annie Xie, @DannyDriess, @ayzwah, @drzhuoxu, @QuanVng, Tingnan Zhang, Tsang-Wei Edward Lee, @kuanghueilee, Peng Xu, @SeanKirmani, @yukez, @andyzeng_, @hausman_k,
1
0
3
I’m also super excited about the HuggingFace 🤗 demo that allows you to upload your own image and questions and see how PIVOT works. https://t.co/WJhkh3Ceo7
1
0
10