battle_kt Profile Banner
Katherine Battle Profile
Katherine Battle

@battle_kt

Followers
327
Following
2K
Media
51
Statuses
248

Joined February 2012
Don't wanna be here? Send us removal request.
@battle_kt
Katherine Battle
7 years
My @MalariaAtlas paper on P vivax #malaria burden is out in @TheLancet showing a 46% decline in Pv cases from 2005 to 2017 and highlighting areas where the fight continues. Thanks to all my team! πŸ™Œ https://t.co/XySJcInGAW
2
24
75
@battle_kt
Katherine Battle
2 years
Senior research scientists will be working with the wonderful Dr Susan Rumisha and Dr @PunamAmratia based at @ifakarahealth
0
0
0
@battle_kt
Katherine Battle
2 years
MAP East Africa is hiring! Exciting to see @MalariaAtlas ramping up in Dar 😎
1
0
4
@drmichelenguyen
Michele Nguyen
2 years
Our paper on treatment-seeking rates for children with fever is finally out on PLOS Global Public Health! πŸ₯³ Many thanks to @battle_kt, Paulina and the rest of the @MalariaAtlas team for the years of hard work. https://t.co/m4mMZm03qe
1
3
9
@battle_kt
Katherine Battle
2 years
We are very grateful for the @DHSprogram and @unicef MICS survey data that were inputs for this analysis.
0
0
1
@battle_kt
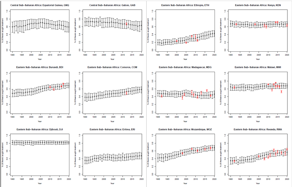
Katherine Battle
2 years
Country-specific time series in the SI! For both all forms of treatment and the proportion of treatment that is sought at public (government-run) facilities.
1
0
0
@battle_kt
Katherine Battle
2 years
There are of course...maps
1
0
0
@IDMOD_ORG
Institute for Disease Modeling
2 years
New work in @PLOSGPH from IDM’s @battle_kt and @MalariaAtlas Project tracks the treatment-seeking for fever over 30 years for 151 countries. Despite substantial improvements in critical areas, rates vary and may plateau without continued investment https://t.co/stzWQyALqK
0
4
14
@battle_kt
Katherine Battle
2 years
Treatment-seeking for fever in children paper OUT in @PLOSGPH ! https://t.co/hEsYLxgWbz thank you @MalariaAtlas fam and first authors @drmichelenguyen and Paulina Dzianach for their hard work! This one has been a long time coming πŸ˜…
2
4
13
@battle_kt
Katherine Battle
2 years
Malaria team at @IDMOD_ORG is looking for a research scientist to join our team for 6 months to help with a literature review and data extraction effort for ITNs/LLINs🦟 Working with me and @abertozz 😎 Details here:
agileone.breezy.hr
As the employment agency hiring temporary workers to be assigned to the Bill and Melinda Gates Foundation, we are responsible for direct hiring and seeking candidates for the following temporary role...
3
25
32
@genmoz_project
GenMoz
3 years
Great afternoon session on modeling approaches incl. integration of genomic data by @IDMOD_ORG @battle_kt, followed by modeling of SMC and PMC interventions by A.Mousa, C.Roper (@LSHTM) & P.Walker (@imperialcollege)
1
1
5
@battle_kt
Katherine Battle
3 years
Honored to have worked on this report this year. The future of progress depends on going beyond aid band-aids. It means innovations for local farmers and power for women. Read Melinda and Bill's essays for #Goalkeepers2030 here πŸ‘‡πŸ‘‡πŸ‘‡
@gatesfoundation
Gates Foundation
3 years
We are already halfway into @TheGlobalGoals era. 🌎 Looking ahead to 2030β€”world leaders must not give up on ambitious goals and keep investing in innovations to solve these global challenges. Learn more in the 2022 Goalkeepers Report. #Goalkeepers2030
0
0
4
@battle_kt
Katherine Battle
4 years
Congratulations @clara_chpg and team @SwissTPH / @CHAI_health / PNCM / and more on this beautiful analysis looking at optimal community health worker placement in Haiti https://t.co/GRDVlI1NX8
0
5
18
@battle_kt
Katherine Battle
4 years
Design nerds?? Malaria nerds?? ALL THE NERDS! Come join the logo design contest!
@AMMnetwork
Applied Malaria Modelling network (AMMnet)
4 years
#AMMnetLogoContest ! AMMnet is looking for creative volunteers to design our new logo Deadline 15th May Whether a #graphicdesigner, a #malaria #modeler, a #dataviz enthusiast, or just an enthusiast, you’re warmly invited to participate #worldmalariaday Questions? Ask them here!
1
0
2
@battle_kt
Katherine Battle
5 years
Interesting cost analysis of the incremental costs of larval source management and housing improvements in Malawi. Useful discussion points about cost drivers! Congratulations @MphaDSP and colleagues on this work!
@MphaDSP
Mphatso D.S. Phiri
5 years
So excited to share our recently published paper on the #cost of community-led larval source management+house improvement for #malaria control. Read it on https://t.co/a6OE2DEcWN. My first personal fellowship. Grateful to my supervisors, co-authors, @wellcometrust for funding.
1
1
3
@bgreenhouse1
Bryan Greenhouse
5 years
Anyone who missed @BobVerity2's #GEM2021 talk on SIMPLEGEN malaria genetic epi simulator ( https://t.co/l4UNW6qlZo) he is looking to collab with people who have a transmission model, empiric datasets, ongoing/planned studies where use cases can be defined, or time/interest to code
3
4
9
@battle_kt
Katherine Battle
5 years
Incredible work led by πŸŽ‰@abertozz πŸŽ‰showing trends in bed net use and access across Africa. Please check her thread πŸ‘‡πŸ‘‡πŸ‘‡πŸ‘‡πŸ‘‡
@abertozz
Dr. Amelia Bertozzi-Villa
5 years
Thrilled to announce the culmination of a multi-year project at @malariaatlas with @drsamirbhatt and @petergething: detailed time-series maps of insecticide-treated net access, use, and nets-per-capita in Africa from 2000 to 2020! @NatureComms 1/ https://t.co/OEF4PUmA3n
0
0
6
@battle_kt
Katherine Battle
5 years
Well this is a super helpful and lovely thing to share with colleagues! Thanks, @bgreenhouse1 ! Super jazzed to #GEM2021 next week 😎🧬🦟
@bgreenhouse1
Bryan Greenhouse
5 years
#GEM2021 has hundreds of virtual attendees and we'll all be trying to digest rapid talks with lots of abbreviations and terms. Help your colleagues by adding or defining any not already here: https://t.co/EOvKICbasB @dneafse @deusishe @marakat @Fredros_Inc @djimdeab @apwez
0
0
3
@ricprice99
Ric Price
5 years
#Malaria elimination will require investment to deliver safer & more effective treatment. Is it worth it? A great analysis by @devinefy suggests it is, with main beneficiaries being patients and their households #vivax #primaquine
@devinefy
Dr Angela Devine
5 years
#PLOSMedicine: Global economic costs due to vivax malaria and the potential impact of its radical cure: A mod ...
0
3
11