Onotu Profile
Onotu

@aonotu

Followers
128
Following
288
Media
23
Statuses
198

Earthling...

Joined September 2010
Don't wanna be here? Send us removal request.
@aonotu
Onotu
7 days
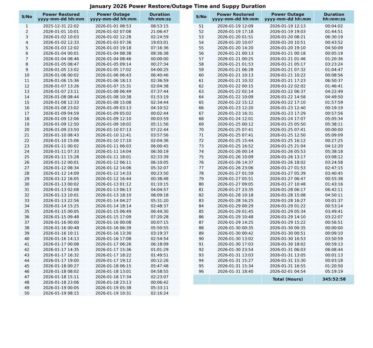
Dear @EKEDP, Attached are the details of power supply to FESTAC 11kV-71 Road for January 2026. The average daily supply for the month was approximately 11 hours and 9 minutes, well below the expected minimum of 16 hours per day for Band B customers. This report highlights the
1
3
4
@asemota
Osaretin Victor Asemota
9 days
There is no regard for excellence and professionalism at all if it doesn’t end up bringing visible wealth that they can compare with others. Everything is a pissing contest of consumption rather than creativity or productivity. This is why there are so many mediocre celebrities.
2
8
66
@asemota
Osaretin Victor Asemota
9 days
When a typical Nigerian wants to talk about how successful another Nigerian person is, they don’t talk about what they have created or their professional achievements, they only talk about how much money they have made. This reveals a lot about why the country is shitty.
36
197
572
@aonotu
Onotu
13 days
Dear @EKEDP, Attached are the details of power supply to FESTAC 11kV-71 Road for December 2025. The average daily supply for the month was approximately 9 hours and 11 minutes — well below the expected minimum of 16 hours per day for Band B customers. This report highlights the
1
1
3
@aonotu
Onotu
17 days
Dear @EKEDP, Attached are the details of power supply to FESTAC 11kV-71 Road for November 2025. The average daily supply for the month was approximately 8 hours and 12 minutes — well below the expected minimum of 16 hours per day for Band B customers. This report highlights the
2
1
2
@aonotu
Onotu
19 days
Dear @EKEDP, Attached are the details of power supply to FESTAC 11kV-71 Road for October 2025. The average daily supply for the month was approximately 12 hours and 37 minutes — well below the expected minimum of 16 hours per day for Band B customers. This report highlights the
2
5
11
@aonotu
Onotu
21 days
Dear @EKEDP, Attached are the details of power supply to FESTAC 11kV-71 Road for September 2025. The average daily supply for the month was approximately 14 hours and 3 minutes — well below the expected minimum of 16 hours per day for Band B customers. This report highlights
1
2
2
@aonotu
Onotu
24 days
Dear @EKEDP, Attached are the details of power supply to FESTAC 11kV-71 Road for August 2025. The average daily supply for the month was approximately 12 hours and 56 minutes — well below the expected minimum of 16 hours per day for Band B customers. This report highlights the
1
1
1
@aonotu
Onotu
27 days
Dear @EKEDP, Attached are the details of power supply to FESTAC 11kV-71 Road for July 2025. The average daily supply for the month was approximately 12 hours and 59 minutes — well below the expected minimum of 16 hours per day for Band B customers. This report confirms the
1
1
2
@aonotu
Onotu
28 days
Dear @EKEDP, Attached are the details of power supply to FESTAC 11kV-71 Road for June 2025. The average daily supply for the month was approximately 9 hours and 11 minutes — well below the expected minimum of 16 hours per day for Band B customers. This report confirms the ninth
3
8
16
@aonotu
Onotu
1 month
Dear @EKEDP, Attached are the details of power supply to FESTAC 11kV-71 Road for May 2025. The average daily supply for the month was approximately 10 hours and 30 minutes — well below the expected minimum average of 16 hours per day for Band B customers. In the coming days, we
1
3
2
@aonotu
Onotu
2 months
Dear @EKEDP, Attached are the details of power supply to FESTAC 11kV-71 Road for April 2025. The average daily supply for the month was approximately 12 hours and 18 minutes — well below the expected minimum of 16 hours per day for Band B customers. This April 2025 report
2
6
5
@DrJoeAbah
Dr Joe Abah, OON
2 months
If you are doing a PhD and have the opportunity to choose a supervisor, go for an older Professor. The younger Professors want to meet for coffee every week and send you on academic fools' errands to prove their erudition. The older ones tell you that you can only disturb them
177
634
4K
@OurFavOnlineDoc
OurFaveOnlineDoc 🇬🇧 🇳🇬
2 months
Just now: About 2weeks ago, terrorist invaded a church and kidnapped Christian worshippers from the Cherubim and Seraphim Church in Ejiba, Yagba West Local Government Area of Kogi State. They have now issued a two-day ultimatum to the victims’ families, demanding ₦200 million.
74
3K
2K
@DrJoeAbah
Dr Joe Abah, OON
3 months
I have a theory: Nigerian leaders struggle to handle complexity and anything with moving parts. We can pour concrete. It’s pretty straightforward. I guess that is why people see roads being built and say that Governance is not rocket science. If roads are what they mean by
481
724
2K
@MFaarees_
F A A R E E S 💫 🇵🇸
5 months
Nigerian commercial banks, in collaboration with network providers, are exploiting Nigerian citizens. They charge us for unsuccessful USSD transactions, which are literally their fault. This is unfair, and we Nigerians want it to STOP! Everyone REPOST and tag @cenbank and other
238
3K
4K
@Sterling_Bankng
Sterling Bank
5 months
It’s always heart breaking to read these stories 💔. On OneBank, we built a Panic Password for moments of distress. When entered instead of your normal password, it signals you’re not secure, shows only 10% of your balance, and triggers transaction monitoring to help keep you
@Ol0ye
Olóyè.
5 months
The first bank to build a duress function into the app will be doing God's work Normal pin: 0000 Duress pin: 1111 Money goes through but it's tracked and can only be transferred from bank to bank. Post no paper cash debit.
922
4K
12K
@henrikpope
Henry Akpan
7 months
This week, I had the privilege of engaging with bankers, regulators, civil servants, and development partners on how to help farmers structure their operations and access finance from banks.
0
1
1
@PeterObi
Peter Obi
7 months
Our Engagement with General Abacha: Setting the Record Straight In consonance with my established principles of defending everything I am involved in, and in the interest of all men and women of goodwill, especially those committed to the pursuit of truth, I hereby attach the
4K
13K
27K
@AbdulMahmud01
Great Oracle Extraordinary & Plenipotentiary.
8 months
TO THOSE WHO SIT ON THE FENCE: Nigerians are not merely living through hardship, they are wading through the very furnaces of hell. In these times, salvation will not come from saints cloistered in contemplation, but from those who plant their boots firmly in the
15
358
755