ZiYangKang Profile Banner
Zi Yang Kang Profile
Zi Yang Kang

@ZiYangKang

Followers
485
Following
286
Media
4
Statuses
66

Economist + assistant professor at the University of Toronto

Toronto, Ontario
Joined May 2020
Don't wanna be here? Send us removal request.
@ZiYangKang
Zi Yang Kang
4 months
It was so much fun writing this paper with the extremely talented @shoshievass! πŸ§΅πŸ‘‡
@shoshievass
Shosh Vasserman
4 months
Very excited to see my first (and I expect, not last) paper w @ZiYangKang out in print. ThreadπŸ‘‡on what this paper is about + why I hope lots of folks will use it.
0
2
21
@joshgans
Joshua Gans
8 days
Very glad to see this finally announced. Was very much at the heart of this recruiting and really looking forward to Jacquelyn Pless and Mark Duggan joining the UT community.
Tweet card summary image
theglobeandmail.com
University plans to bring on 100 postdoctoral fellows across a range of disciplines over two years
3
5
94
@shoshievass
Shosh Vasserman
3 months
I'm hiring a predoc to work w/ me on empirical IO/applied micro projects starting in Fall '26! Details below and instructions here: https://t.co/FaouuEf1JB International students (who need J1) are welcome & non-econ bgs are fine given interest + curiosity. Please apply :)
1
40
140
@evavivalt
Eva Vivalt
3 months
Hi, new followers from The Argument's piece on cash transfers. One of the papers discussed is pinned to my profile. Another recent one is this:
@evavivalt
Eva Vivalt
4 months
🚨 New NBER working paper: "The Impact of Unconditional Cash Transfers on Parenting and Children" This paper estimates the effects of receiving a $1,000/month guaranteed income for 3 years, compared to a control group receiving $50/month, on children and parents in the US. 1/
6
17
99
@GRAPE_ORG
GRAPE
4 months
πŸ“’ #IMDdays2025 is a wrap! Heartfelt thanks to our incredible speakers for their groundbreaking insights on inequality & economics. Huge shoutout to all participants for sparking vibrant discussions. Until next time! πŸ‘πŸ€
1
3
10
@GRAPE_ORG
GRAPE
4 months
πŸ“£ The wait is over! #IMDdays2025 kicks off today in the beautiful Konstancin-Jeziorna, just outside Warsaw. Get ready for a powerhouse workshop diving into markets, policy, and inequality with an incredible lineup πŸ‘‡ ℹ️ Check out the full program: https://t.co/HZ94z6TVX1
0
5
6
@_amackay
Alex MacKay
9 months
Forthcoming at the Journal of Political Economy: We find that consumer product markups increased more than 25 percent from 2006 to 2019. One contribution is an approach to estimate IO-style models at scale, yielding flexible consumer preferences and estimates of marginal costs.
4
72
352
@MitchLWatt
Mitchell Watt
1 year
I’m on the #EconJobMarket and my tremendous co-author @ZiYangKang has shared an excellent summary of my #JMP about subsidies and redistribution and our companion paper both written over a (busy!) summer. Check out the thread (and the far-too-generous things he says about me) here
@ZiYangKang
Zi Yang Kang
1 year
1/ My co-author @MitchLWatt is on the #EconJobMarket this year. Mitch is an applied theorist interested in market design, IO, and public policy. I happen to know his #JMP and its companion paper very well. πŸ˜‡ πŸ§΅πŸ‘‡ with an overview of both papers. #EconTwitter
0
4
23
@ZiYangKang
Zi Yang Kang
1 year
20/ Finally, perhaps the most important thing: Mitch is also a wonderful human being and colleague. Hire him and find out for yourself! ☺️ Mitch's JMP: https://t.co/lGLtazLGPW. Our other paper: https://t.co/pU7xxzliQD.
0
0
4
@ZiYangKang
Zi Yang Kang
1 year
19/ Outside of these two papers, Mitch has a ton of other work, including: - a paper (R&R at ReStud) with Paul Milgrom - an empirical(!) paper with @johnjhorton and @shoshievass - his own papers Check out his long CV here: https://t.co/6jyOu5wJGW.
1
0
5
@ZiYangKang
Zi Yang Kang
1 year
18/ By solving these, we also derive other results in the papers, including: - comparative statics with respect to redistributive weights - results on how valuable *preventing* topping up is to the social planner - extensions with budget constraints and equilibrium effects
1
0
3
@ZiYangKang
Zi Yang Kang
1 year
17/ Summarizing these technical difficulties for my fellow nerds: Mitch's JMP πŸ‘‰ topping up allowed πŸ‘‰ social planner's problem = convex program with FOSD constraints. Our other paper πŸ‘‰ topping up not allowed πŸ‘‰ social planner's problem = convex program with SOSD constraints.
1
0
3
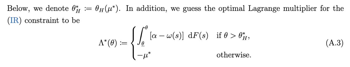
@ZiYangKang
Zi Yang Kang
1 year
16/ The analysis is tricky because the outside option of each consumer depends on his demand type. We overcome this by guessing Lagrangian multipliers and verifying that they are optimal. It took us many guesses and sleepless nights, but now we can write them out:
1
0
3
@ZiYangKang
Zi Yang Kang
1 year
15/ Also, this result concerns the social planner's *marginal* incentives to intervene, but it doesn't tell us what the *global* optimum is. To do that, we develop mechanism design tools.
2
0
3
@ZiYangKang
Zi Yang Kang
1 year
14/ Of course, this assumes that you want to redistribute to consumers with the lowest demand. There are cases (think disability care) where you might want to redistribute to consumers with the highest demand. Our result covers these cases too.
1
1
3
@ZiYangKang
Zi Yang Kang
1 year
13/ So, on the margin, the cash transfer effect dominates. This means that a sufficient statistic for when it's optimal to intervene is the *average* social value of a dollar to consumers. Intervention is optimal if + only if this exceeds the shadow cost of that dollar!
1
0
3
@ZiYangKang
Zi Yang Kang
1 year
12/ We use a first-order approach to bound these effects (quantity distortion vs cash transfer). We show that an Ξ΅ quantity of a free public option leads to: - an O(Ξ΅^1.5) πŸ‘† in consumer utility from quantity distortion - an O(Ξ΅) πŸ‘† in consumer utility from cash transfer
1
0
3
@ZiYangKang
Zi Yang Kang
1 year
11/ Since you want to redistribute to low-demand consumers, this is the best targeting that you could hope for. With linear subsidies, there would have been πŸ‘† quantity distortion for *all* consumers.
1
0
3
@ZiYangKang
Zi Yang Kang
1 year
10/ Why? When topping up is allowed (Mitch's JMP), having a tiny quantity of a free public option results in: (1) πŸ‘† quantity distortion for low-demand consumers (2) 🚫 quantity distortion for high-demand consumers (3) πŸ’΅ cash transfer (= price of public option) to all consumers
1
0
3
@ZiYangKang
Zi Yang Kang
1 year
9/ So when is it optimal to intervene with nonlinear subsidies? When you're trying to redistribute to consumers with lower demand: if + only if it’s optimal to intervene with a *free public option*. Note that we would've gotten the wrong answer by focusing on linear subsidies!
1
0
3