TimConnellyMD Profile Banner
Tim Connelly, MD, MBA, FACP Profile
Tim Connelly, MD, MBA, FACP

@TimConnellyMD

Followers
517
Following
662
Media
95
Statuses
3K

Boarded in IM & Clinical Informatics. CHCQM-PHYADV, Associate Professor & Associate Program Director IM Residency. MBA (Go Ga Southern!) Former PA-C.

Savannah, Ga
Joined May 2013
Don't wanna be here? Send us removal request.
@ZHeart11768530
The Heart
6 months
2
132
400
@TimConnellyMD
Tim Connelly, MD, MBA, FACP
9 months
https://t.co/bGVrQMPLzv @WJCLNews A.J. Did such a great job on our Candida auris story, they reported it in the U.K. You have an awesome team! Ammonia based hospital cleaners do NOT kill this. Resistance and Mortality is slowly growing with this.
Tweet card summary image
dailymail.co.uk
Candida Auris, a type of yeast resistant to many treatments, was first detected on wards in 2016, with 52 infections reported across 4 states. It has now spread much further.
0
0
2
@TimConnellyMD
Tim Connelly, MD, MBA, FACP
1 year
Not advice just a way to think of this if it helps…. Thoughts? Entresto (ANRI) —> HFrEF = possible improvement in EF. SGLT-2’s —> Kidney Failure with Reduced Nephron Function (KFrNF) = possible improvement in NF.
0
0
2
@TimConnellyMD
Tim Connelly, MD, MBA, FACP
1 year
Human Trafficking continues to be a big problem in the US. If in clinical practice you identify a non US citizen who has been a victim, they may be eligible for a T-Visa that allows them up to 4 years here with benefits. https://t.co/IzLgQXcQBH
0
0
2
@TimConnellyMD
Tim Connelly, MD, MBA, FACP
1 year
FDA Approves First Medication for Obstructive Sleep Apnea | FDA This would be great news if the FDA didn’t just make it almost impossible for those with limited means to get it by shutting down the more affordable compounding options. #healthequity
Tweet card summary image
fda.gov
Today, the FDA approved the first medication for the treatment of moderate to severe obstructive sleep apnea in adults with obesity.
0
1
1
@JAMA_current
JAMA
1 year
Medications for obesity can help promote weight loss and improve outcomes for people with type 2 diabetes, hypertension, and elevated lipid levels. This JAMA Patient Page describes the different types of medications available for treatment of obesity. https://t.co/JeHg0TSP0O
3
90
259
@georgestern
George Stern
1 year
Burnout isn't about hours worked. In fact, there are usually much deeper causes. Leaders should start to recognize when it's occurring, And take steps to help. Use this graphic to find causes of burnout in your organization.
62
2K
9K
@TimConnellyMD
Tim Connelly, MD, MBA, FACP
1 year
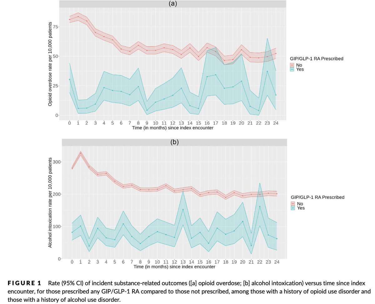
We have known this for a long time and this is just more data to support how many American lives these medications can save if they were only available at a price point most Americans can afford.
@EricTopol
Eric Topol
1 year
A 40-50% reduction of opioid overdose or alcohol intoxication with GLP-1 drugs among >1.3 million Americans with history of opioid or alcohol use disorders, respectively https://t.co/VSWz8R6GOS
0
1
3
@MichaelAlbertMD
Michael Albert, MD
1 year
Tirzepatide is associated with significantly lower rates of opioid overdose and alcohol intoxication in high-risk populations with substance use disorders. This is 1000% consistent with my clinical experience!! https://t.co/fixTVPCJep
6
28
172
@nickmmark
Nick Mark MD
1 year
#HurricaneHelene damaged the factory responsible for manufacturing over 60% of all IV fluids used in the US, leading to a major national shortage. As clinicians what can we do to about the #IVFluidShortage and how can we prevent this crisis from happening again? A thread đź§µ 1/
21
142
375
@TimConnellyMD
Tim Connelly, MD, MBA, FACP
1 year
#zepbound #elililly needs to update the website with the new cash price for the low dose you just broadcast to the entire country on #GMA.
0
0
2
@TimConnellyMD
Tim Connelly, MD, MBA, FACP
1 year
OK #Wegovy can we get $299 and $499? It’s less weight loss than the Zepbound. This is not cheep but it is the closest I have seen to fair pricing for a drug this effective at reducing disease burden. Now insurers both private and public need to step up and cover this!
1
0
3
@ZHeart11768530
The Heart
1 year
0
17
66
@TimConnellyMD
Tim Connelly, MD, MBA, FACP
2 years
I work with the best team! I can’t thank my colleagues enough for choosing me as our facility Frist Humanitarian Award recipient this year. Thank you Memorial Team!
2
0
2
@TimConnellyMD
Tim Connelly, MD, MBA, FACP
2 years
https://t.co/yoNXK3w71L. Entresto now approved as a Generic Drug!
Tweet card summary image
fda.gov
FDA Roundup: May 31, 2024
0
0
3
@TimConnellyMD
Tim Connelly, MD, MBA, FACP
2 years
A Wegovy prescription costs about $1,349 per month in the U.S., while it costs just $140 in Germany and $92 in the U.K.
0
0
2
@TimConnellyMD
Tim Connelly, MD, MBA, FACP
2 years
#AAPA24 #GAPA Any PA-C’s (or PA-S) in Houston, TX? Want to learn how to treat COVId-19? Join me tomorrow on May 18th at 11:45 for a talk. Room 310. I’m fired up and can’t wait to talk.
2
0
4
@ACCinTouch
American College of Cardiology
2 years
🔑 Colchicine 0.5 mg daily is FDA-approved for secondary prevention in patients w/ coronary artery disease. Read key points to remember from a state-of-the-art review on the long-term safety of low-dose colchicine for atherosclerosis: https://t.co/dklamPVGii #cvPrev
Tweet card summary image
acc.org
John D. Bisognano, MD, PhD, FACC
2
148
368
@TimConnellyMD
Tim Connelly, MD, MBA, FACP
2 years
Surprise billing needs to Exclude DMD’s and DDS’s! If lawmakers don’t act this will continue to be common. You MUST take care of your teeth. This is objective and might get some company out of paying some $ for wrongful death.
0
0
2
@TimConnellyMD
Tim Connelly, MD, MBA, FACP
2 years
It is a very sad thing and he would have never been in the ICU if it was not for the accident. But only a few years ago a dentist would come to the hospital if needed. Now they would have to be on your health insurance to do so ( for all practical purposes).
1
0
1