Carolyn Taylor Profile
Carolyn Taylor

@Taylorcjt23

Followers
87
Following
410
Media
95
Statuses
434

Joined September 2009
Don't wanna be here? Send us removal request.
@Taylorcjt23
Carolyn Taylor
2 years
Great turnout for the RITELL Fall Conference! KEYNOTE: The (Mis)Education of Multilingual Learners, Centering on Civil Rights Obligations Dr. Ayanna Cooper
0
0
1
@Taylorcjt23
Carolyn Taylor
2 years
Shameful. All RI residents should be very concerned about what is happening in Providence schools.
@PPSDTruthTeller
TruthTeller
2 years
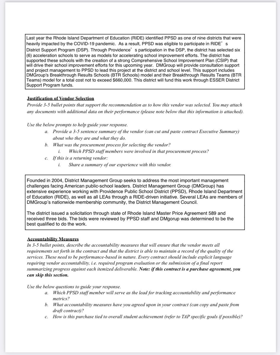
PPSD paid $660,000 for services that did not begin until the last 6-8 wks of SY 2022-23; that is April. The DMG reps told admin that the coaching & data analysis should have started in October. There’s no way schools were able to the amazing students outcomes.
0
0
0
@CharetteHigh
Charette
3 years
NBA's Quinn Cook visits local high school for student-led fundraiser event | ABC6. TY Jayden & Quintel for organizing this fantastic event with PVD police promoting violence prevention! ⁦@RIDeptEd⁩ ⁦@RIFoundation⁩ ⁦@RIKidsCount
Tweet card summary image
abc6.com
This is a photo of Quinn Cook at Charette Charter High School in Providence. (WLNE)PROVIDENCE, R.I. (WLNE) — Charette Charter High School partnered with the Providence Police department to hold a...
0
2
3
@Taylorcjt23
Carolyn Taylor
3 years
Charter schools have a blind lottery. Students are accepted as the number or seats allow. Checkout the number of special education and English language learners at each of our Charter schools. Our size and the cap on the number of seats are the only limits on who attends.
@PTU958
Providence Teachers
3 years
The commercial claiming “charter schools are public schools” and “are open to all” is the most disingenuous commercial I have heard in a good bit. considering commercials are designed to exaggerate to draw people in, this is no small feat!
0
0
1
@CharetteHigh
Charette
3 years
True to his role, our school Success Coach, Corey Brown led his Juanita Sanchez team to the Division 1 championship! We are proud of our @CharetteHigh players Genesis, Sabanna, and Ari!
0
1
2
@RITELL_ESL
RITELL
3 years
#RITELL2022 Conference is happening NOW!
0
1
5
@CharetteHigh
Charette
3 years
Educators from across the US have come together to address the learning needs of all students at the Summit Learning 2022 Summer Training in NOLA! @SummitSpark @RIDeptEd @RIFoundation
0
2
5
@Taylorcjt23
Carolyn Taylor
3 years
A good definition of Equity in education Equity is the intentional act of providing each learner with what they need (knowledge, skills and experiences) so that their future is not limited by our actions @SummitSpark @CharetteHigh
0
0
0
@Taylorcjt23
Carolyn Taylor
3 years
#onthemapin2022 @KathyVespia First day of Summit training! @SummitLearning Reimagining Education Together
0
0
0
@collegevisions
College Visions
4 years
Please share! Providence high school students (rising 9th-12th) can earn $600 for participating in this fun 6-week college and career exploration program! Sign up here: https://t.co/PJYWceeitF
15
18
19
@MrsSpinasClass
Carly Spina
4 years
Language growth happens across all moments of a day - language growth isn’t paused when students aren’t with their EL teacher. This means that we are ALL teachers of language.
7
43
162
@Taylorcjt23
Carolyn Taylor
4 years
Heading out Nashville to celebrate the New Year and had to check out the fancy new facilities - soap and hand dryer all in your own sink! @IFlyRhodeIsland @rob_pilkington
0
0
0
@Taylorcjt23
Carolyn Taylor
4 years
I was dreaming of a white Christmas!
@rob_pilkington
Rob Pilkington
4 years
Hey, it’s snowing out plus a guy on an e-bike in the wee hours! Merry Christmas Eve! @JDButlerPhD @jwaters1607 @Taylorcjt23 @santaclaus
0
0
0
@ninasrees
Nina Rees
4 years
Charter schools are public schools of choice designed to meet the unique needs of students. Here are the stories of 16 graduates. Their success is our success @DSSTPubSchools @LISAAcademy @mhprepaz @NowellAcademy @gestaltcs @wearedream! #CharterGrads
2
10
20
@Taylorcjt23
Carolyn Taylor
5 years
Thanks Richard Gere and crew for telling the heartwarming story of Hachi and filming in Woonsocket.
@rob_pilkington
Rob Pilkington
5 years
Hard to believe it’s been 11 years since the dedication of Hachi in Woonsocket. So many people make it a pilgrimage with their pets. I love Hachi and am glad I bought him on eBay. @Taylorcjt23 @Jhair_1984 @VanessaAltongy @jwaters1607 @chiachess @JDButlerPhD
0
0
0
@rob_pilkington
Rob Pilkington
5 years
Congrats to St. Anne’s in Woonsocket, home of Hachi, for being voted the #5 RI museum by @Stacker187. St. Anne’s was Beacon’s culinary center during construction school in 2006. @JDButlerPhD @Taylorcjt23 @chiachess @jwaters1607 @GroundhogClub @justinbieber
0
1
1
@CharetteHigh
Charette
5 years
It was an honor to have you as a keynote speaker!! Your message was inspiring!
0
1
3
@CharetteHigh
Charette
5 years
We are so proud of our FIRST class! Our graduates were accepted into 42 colleges and awarded over $1,760,000 in grants and scholarships! TY Gabby Gonzalez for your amazing films @RIDeptEd @NE_Basecamp @NeilDSteinberg @GrowSmartRI@joepaolinojr
0
2
5
@Taylorcjt23
Carolyn Taylor
5 years
What an honor to have had the opportunity to work with Rob - a true American hero and education leader. He is dearly missed.
@rob_pilkington
Rob Pilkington
5 years
Congratulations to the DeBlois Family on the dedication of the 75 Carpenter St. facility by the @UCAP_School @JDButlerPhD @Taylorcjt23 @jwaters1607 @chiachess @GroundhogClub @RIDeptEd
0
0
1