Taha Ceritli Profile
Taha Ceritli

@TahaCeritli

Followers
87
Following
1K
Media
4
Statuses
69

Machine Learning Researcher @SamsungResearch

London, England
Joined February 2011
Don't wanna be here? Send us removal request.
@umbertomichieli
umberto michieli @ NeurIPS 25
2 months
Our paper LoRA.rar just won the Best Paper Award at the P13N: Personalization in Generative AI Workshop @ ICCV 2025! 🎉 📄 Check it out here:  https://t.co/J2EXdxiEej
2
1
4
@TahaCeritli
Taha Ceritli
4 months
(7/7) We tested HydraOpt for merging adapters across downstream applications in the same language, across languages in the same application and across tasks (their combinations) and observed similar improvements.
0
0
0
@TahaCeritli
Taha Ceritli
4 months
(6/7) We observed 48% storage reduction with only a 0.2–1.8% performance drop compared to storing all adapters, which may be desired when the performance is the highest priority. We also achieve better performance than existing methods at similar or slightly worse efficiency.
1
0
0
@TahaCeritli
Taha Ceritli
4 months
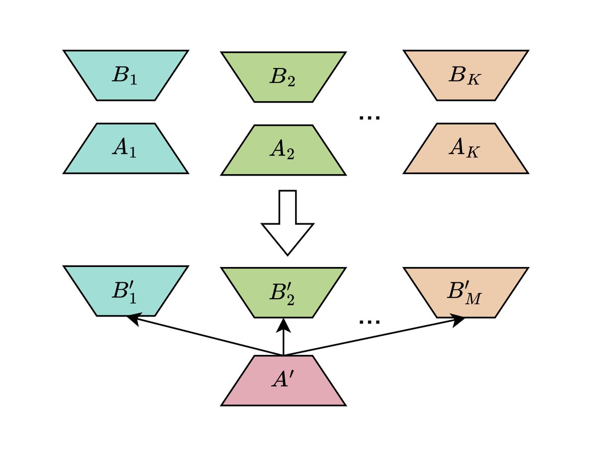
(5/7) HydraOpt maps a given set of K LoRA adapters into a new set of M adapters where a subset of the parameters is shared across multiple tasks (M<=K).
1
0
0
@TahaCeritli
Taha Ceritli
4 months
(4/7) Instead, we propose HydraOpt allows you to navigate the trade-off spectrum and possibly discover a better exchange between performance and storage size.
1
0
0
@TahaCeritli
Taha Ceritli
4 months
(3/7) Existing model merging techniques can help reducing the storage size requirements by merging all adapters into one adapter, which leads to substantial sacrifice from performance.
1
0
0
@TahaCeritli
Taha Ceritli
4 months
(2/7) Large Language Models (LLMs) often rely on adapters (e.g., LoRA) for downstream task adaptation; however, storing a separate adapter per task becomes infeasible on resource-constrained devices.
1
0
0
@TahaCeritli
Taha Ceritli
4 months
(1/7) Happy to share that our paper on adapter merging ( https://t.co/OdFdAxjclY) has been accepted to EMNLP 2025 (Main Conference)! Huge thanks to my co-authors: @OBohdal, Mete Ozay, KyengHun Lee, Jijoong Moon, Hyeonmok Ko, @umbertomichieli
Tweet card summary image
arxiv.org
Large language models (LLMs) often leverage adapters, such as low-rank-based adapters, to achieve strong performance on downstream tasks. However, storing a separate adapter for each task...
1
2
4
@taloketo
Talha - Mashina OUT NOW
5 years
NEW VIDEO TOO MANY GAMES - Game Dev Diary Really excited about this one. Today is my birthday, celebrate it by watching and sharing my new video? https://t.co/vwurh17zXD
14
16
35
@kayabros
Kayabros
6 years
Hey, Talha here. When we released Soul Searching, 3 years ago, we didn't really know how to sell it. The best case scenario was if it became a niche hit. I made up a goal: If it sells 10K copies in its lifetime I'll count it as success. This week we hit that number.
8
14
59
@AymanBoustati
Ayman Boustati
6 years
New work with @odakyildiz, @tdamoulas and Adam Johansen on Generalized Bayesian Filtering via Sequential Monte Carlo just uploaded to the Arxiv: https://t.co/6f9lWF1Ek1 (1/6)
1
4
7
@pyolum
Pınar Yolum
6 years
Doktora öğrencisi arıyoruz! Hollanda'nın en büyük yapay zeka projesi, #HybridIntelligence kapsamında 27 yeni #doktora öğrencisi alınacak. İlk başvurular 1 Mart'ta. Benimle çalışmak isteyenler 6 numaralı projede bekleniyorsunuz.
91
2K
4K
@nkokciyan
Nadin Kökciyan (she/her)
6 years
I am happy to announce that there is a fully-funded PhD position in @InfAtEd to work with me! The project will be about how we can develop new AI techniques to preserve privacy in an online world. More details about this position are as follows: https://t.co/yNXr2LRnt3
2
38
98
@GjjvdBurg
Gertjan van den Burg
6 years
CleverCSV is indeed gaining some traction today!
Tweet card summary image
github.com
CleverCSV is a Python package for handling messy CSV files. It provides a drop-in replacement for the builtin CSV module with improved dialect detection, and comes with a handy command line applica...
@EmreSevinc
Emre Sevinç
6 years
I don't know you, most of the time, I'm interested how a metric changes throughout time instead of static snapshot. For example, how do the number of stars of a #GitHub project changes: https://t.co/aJVPMchuRW #data #DataScience #Analytics
0
1
3
@xkcdComic
XKCD Comic
6 years
8
225
1K
@MIT_CSAIL
MIT CSAIL
6 years
"Theory is when you know something, but it doesn’t work. Practice is when something works, but you don’t know why. Programmers combine theory and practice: Nothing works and they don’t know why." - Unknown #FridayFeels
5
163
434
@bariskurt
Barış Kurt
6 years
Ataksi hastası aileleri olarak bir dayanışma derneği kurma aşamasındayız ve Ataksi'yi tanıtmak amaçlı kısa bir slayt serisi hazırladık. #ataxiaawarenessday #ataksifarkındalıkgünü #ataksi #ataxia
2
19
39
@UmbertoArte
UmbertoArte
7 years
Arkadaşlar Günaydın. Bugün sizlere İtalyan Barok ressam Guido Reni’nin 1600 tarihli Beatrice Cenci resminin hikayesi anlatıp, yazının sonunu Caravaggio ve Artemisia Gentileschi ile bağlamaya çalışacağım. İlgilenen dostları beklerim.
42
139
1K
@SzassTam
Albert Ali Salah
7 years
Bakanımız 'Yapay zekâ eğitiminde dünya lideri olacağız' demiş @Milliyet https://t.co/2KmQdpP3xd Çok net söyleyeyim: AKP'nin politikaları ile böyle bir şey mümkün değil...
0
2
15
@yudapearl
Judea Pearl
7 years
@shakir_za @blei_lab @fhuszar I am glad you mentioned my "half Bayesian" paper https://t.co/gqeQb23En9 which makes me more convinced in "halfness" each time I read it. I wish I could get serious feedback from the "full Bayesians", but they are busy waiting for their posteriors to peak on the truth.#Bookofwhy
3
6
35