RN4MedFreedom Profile Banner
🇨🇦Nurse4MedicalFreedom Profile
🇨🇦Nurse4MedicalFreedom

@RN4MedFreedom

Followers
3K
Following
28K
Media
86
Statuses
6K

🇨🇦 nurse speaking out against medical fascism and government overreach. that/nurse

Canada
Joined September 2021
Don't wanna be here? Send us removal request.
@RN4MedFreedom
🇨🇦Nurse4MedicalFreedom
4 years
Figured I’d share some good news for once! Today was my first day at my new job. 1 month of unpaid leave, 3 months of being terminated, no severance, no EI. I am still nursing & still unvaccinated! Stick to your convictions ladies & gents - you will be rewarded!
128
440
3K
@MakisMedicine
Dr. William Makis MD
2 years
BREAKING NEWS: Our LANCET CENSORED Paper is now peer reviewed and available online! "A Systematic REVIEW of Autopsy findings in deaths after COVID-19 vaccination" "325 autopsy cases" "We found that 73.9% of deaths were directly due to or significantly contributed to by
682
13K
22K
@ChanLPfa
Chanel Pfahl
2 years
If you’re a Canadian anti-woke teacher who is potentially willing to share your experiences/observations to any degree (even anonymously), please reach out! I’d love to see if I can help connect you with certain journalists who are interested in reporting on woke
13
113
362
@ChanLPfa
Chanel Pfahl
2 years
Grade 3 education under @fordnation: “What is Drag? What is a Drag Queen? Have you ever heard of RuPaul's Drag Race? How do you get into drag? What do you get out of being a drag performer? Are There Drag Kings? Is there a difference between you and your drag persona? What
239
380
1K
@PlumberAlberta
AlbertaPlumber
2 years
RIP welders, plumbers, sheet metal, roofers. Hot work shutdown until fire ban is lifted.
153
176
576
@elonmusk
Elon Musk
2 years
23K
85K
399K
@eatlivingbread
UnApologetics
2 years
@LilaGraceRose Today, people want a dog instead of a child. They want a career instead of a family. They want a vacation instead of a mission. They want to “find themselves” instead of finding their purpose in something GREATER than themselves.
4
3
39
@adam_chal
Adam Chalmers
2 years
My theory: burnout has nothing to do with how many hours or how hard you work. It's caused by working for people you don't like, towards goals you don't believe in, in systems that grant you no agency.
833
29K
141K
@ChanLPfa
Chanel Pfahl
2 years
“What did you learn at school today, honey?”
21
77
223
@drcateshanahan
Cate Shanahan, MD
2 years
The comments to a new UK Daily Mail article warning about vegetable oils reflect mass frustration among health-conscious food consumers. You'll see jaded remarks like “health experts are just trying to sell books” and platitudes like “everything in moderation.” Let me tell you
24
84
310
@ChanLPfa
Chanel Pfahl
2 years
“Education” in Ontario, Canada, under the leadership of “conservative” Premier @fordnation & “conservative” Minister of Education @Sflecce.
32
131
294
@ImMeme0
I Meme Therefore I Am 🇺🇸
2 years
Over two decades ago, the legendary Ralphie May offered his insights on the LGBT community.
496
6K
24K
@ChanLPfa
Chanel Pfahl
2 years
Imagine you have a 7 year old kid. A sweet, innocent being learning to make sense of the world. You send them to school to get an "education." Instead, their teacher happens to be more interested in creating little minions who echo their own worldview/beliefs. None of their
126
510
2K
@KirkLubimov
Kirk Lubimov
2 years
Wtf is going in Canada?!? Bracelets for the length of menstrual cycle...period friendly world...🤦🏼 The Liberals have gone insane. We need an election ASAP.
2K
1K
7K
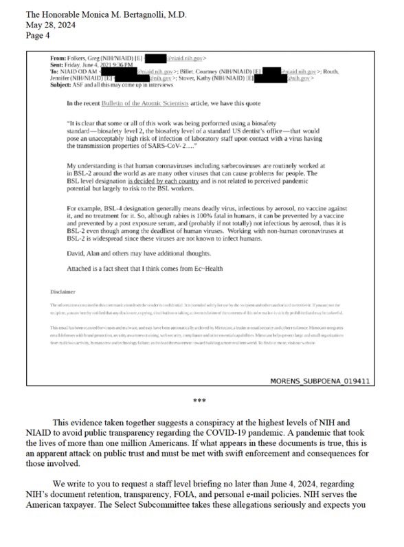
@Patrickwebb
Patrick Webb
2 years
BREAKING: Newly released evidence reveals that NIH officials opened an encrypted Proton Mail account, misspelled key words, and forwarded confidential material to Gmail in an attempt to evade federal law and FOIA requests.
113
3K
6K
@GigaBasedDad
Giga Based Dad
2 years
72
2K
9K
@amyforsandiego
Amy Reichert
2 years
Ex Kaiser nurse, fired for not getting the COVID shot, reacts to a letter from the HMO begging her to reapply. Her response? "See you in court!”
459
5K
19K
@PierreKory
Pierre Kory, MD MPA
2 years
Was the assassination on the Slovakian PM today an attempt to send a message to all political leaders who oppose the WHO treaty & Big Pharma? Strikes me as “similar” to the American Board of Internal Medicine and various state medical boards sending a message to all potentially
@MidwesternDoc
A Midwestern Doctor
2 years
Recently, Slovakia's Prime Minister made headlines around the world by saying he would criminally investigate his government's COVID response and the corrupt policies that killed his countrymen. He was just shot multiple times and is now in the hospital. Pray for his survival.
275
2K
6K
@BGatesIsaPyscho
Concerned Citizen
2 years
🚨🌎 “ In the West they have a movement called wokeness” The Singapore Prime Minister articulates the mind virus superbly.
47
1K
3K
@dockaurG
Kulvinder Kaur MD
5 years
"It's dangerous to be right when the government is wrong." —Voltaire
72
2K
7K