PittPalCare Profile Banner
Palliative Research Center Profile
Palliative Research Center

@PittPalCare

Followers
1K
Following
856
Media
719
Statuses
2K

Pitt researchers asking empiric questions and exploring ethical dilemmas to improve serious illness care. https://t.co/Cf6U8mmhyV

Pittsburgh, PA
Joined May 2019
Don't wanna be here? Send us removal request.
@PittPalCare
Palliative Research Center
11 months
As a reminder, we are now cross-posting to BlueSky. If you're migrating, you can follow us as we get that account off the ground.
1
0
1
@FionnualaCrowle
Fionnuala Crowley
4 days
Delighted to share our manuscript published in @JNCI_Now. We found that facilitated ACP was associated with lower PTSD symptoms among bereaved caregivers and higher rates of goal concordant EOL care. Thanks to Dr. Schenker, @rabob, @PittPalCare and all collaborators.
5
8
26
@RyanNipp
Ryan Nipp, MD, MPH, MBA, FASCO
1 month
Bridging the rural oncology gap: A conceptual, technical, and pragmatic framework for digital interventions. https://t.co/2keoHhmnpa @JournalCancer @PittPalCare #DigitalHealth #CancerCare #RuralHealth
1
6
16
@PittGIM
Pitt General Internal Medicine
2 months
.@GinaPiscitello spoke with @medpagetoday about a review she led that found a lack of uniformity surrounding US laws guiding clinician decision-making for initiating or maintaining life-sustaining treatment. Read it here: https://t.co/jbEycBlBTh
0
3
2
@PittGIM
Pitt General Internal Medicine
3 months
We're still accepting applications for our new Adolescent & Young Adult Addiction Medicine Fellowship, funded by @HRSAgov! Learn more about the AYA #AddictionMedicine Fellowship at https://t.co/DeJ7ciiF5Z or email @shang_maggie
0
3
1
@AAHPM
AAHPM
4 months
Call for Research Method Abstracts is OPEN! Submit your proposal for the Research Methods Track at the 2026 State of the Science Symposium! Showcase innovations in design, methods & theory. Deadline: Aug 27 at noon PT.
Tweet card summary image
aahpm.org
Call for Research Methods Abstracts This call closed August 27 You are invited to submit an abstract proposal for the State of the Science Symposium, a full-day pre-conference taking place […]
0
2
3
@carissa_low
carissa low
4 months
Which daily symptoms during chemotherapy increase risk for ED visits/unplanned hospitalizations? In this paper led by recent MD Liz Kairis, GI symptoms, shortness of breath, fatigue, & pain predicted risk of unplanned healthcare within the next 7 days: https://t.co/goKROqUlRm
0
1
2
@carissa_low
carissa low
4 months
Can devices worn during chemotherapy capture prognostic information about physical function? We found that Fitbit metrics predicted overall survival, even after adjusting for clinician-rated performance status & patient-reported physical function: https://t.co/BFA1Wr7vgp
0
2
7
@TheJournal_Pain
The Journal of Pain
4 months
Original: Drs. Bell, @hwbulls et al. highlight that opioid stigma in cancer survivors includes external, relational, and internalized stigma that shapes pain management decisions — Tailored interventions are needed to reduce stigma Full:
0
2
4
@PittGIM
Pitt General Internal Medicine
7 months
Pitt’s @JessicaMerlinMD is developing strategies to manage pain AND opioid use disorder—especially for patients with cancer. Her goal? Integrate evidence-based care faster and meet patients where they are. #CancerCare #AddictionCare #PittResearch 🔗 https://t.co/8tugLOR8As
0
2
3
@PittGIM
Pitt General Internal Medicine
7 months
If you missed @PittDeptofMed’s Research Day Poster Session B, you missed over 50 posters by DGIM fellows, residents, staff, and faculty. Don’t worry though - you can catch plenaries by some of our residents starting at 1:15! #PittResearchMatters #PittMed
1
3
9
@ENRS_Science
ENRS
8 months
Meet Dr. Margaret Quinn-Rosenzweig, winner of the new Excellence in Social Justice & Health Equity Award. #ENRS2025 #nursingresearch #nursingconference #socialjustice #healthequity
0
1
4
@PittDeptofMed
PittDeptofMed
7 months
Join us at noon on Tuesday, 04.22.25, for the next DOM Grand Rounds! Tuesday's MGR, "Spreading the Wealth: Opportunities to Expand the Reach and Impact of Palliative Care," will be presented by Dr. Yael Schenker from @PittPalCare and @PittGIM. For the link, visit
0
2
4
@PittPalCare
Palliative Research Center
7 months
0
0
0
@RyanNipp
Ryan Nipp, MD, MPH, MBA, FASCO
8 months
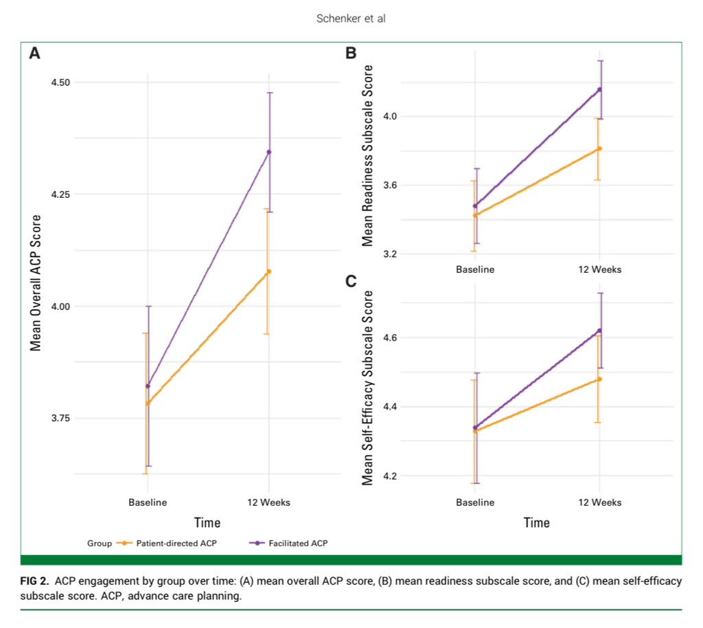
Facilitated Versus Patient-Directed Advance Care Planning Among Patients With Advanced #Cancer: A Randomized Clinical Trial. https://t.co/oRFbFk9GlH @ASCO @JCO_ASCO @JCOOP_ASCO #PallOnc #SuppOnc #CancerCare @PittPalCare @UPMCHillmanCC
2
7
26
@PittPediatrics
Pitt Department of Pediatrics
9 months
Check out this great new publication from Justin Yu, MD, MS, in our division of palliative care, looking into supporting caregivers of children with complex needs, published in Academic Pediatrics: https://t.co/Zlf2Oa61x0 @ChildrensPgh @UPMCPhysicianEd @PittPalCare
Tweet card summary image
upmcphysicianresources.com
The findings from the study were published in Academic Pediatrics.
0
5
8
@NYULH_DeptofMed
NYU Department of Medicine
9 months
At Med #GrandRounds today @nyugrossman, Yael Schenker, MD of @PittPalCare gave an outstanding talk on the role of specialty palliative care. Dr. Schenker highlighted palliative care’s contributions, limitations, and opportunities to expand its reach and impact. Key Takeaways: ▶️
0
3
3
@NYUDocs
Doctor Radio
9 months
Do you have a palliative care experience you would like to share? Medical Grand Rounds is LIVE. Dr. Yael Schenker @PittPalCare joins @MarkPochapin & @PlateletDoc in the studio. Call 877-698-3627 https://t.co/vuGRUcZrG6
0
4
8
@NYUDocs
Doctor Radio
9 months
Do you know what palliative care is and how it can help those who are seriously ill? Medical Grand Rounds is LIVE. @MarkPochapin and @PlateletDoc are talking with Dr. Yael Schenker @PittPalCare 877-698-3627 https://t.co/vuGRUcZrG6
0
2
6
@PittGIM
Pitt General Internal Medicine
9 months
Support a cause close to your 💙 on #PittDayofGiving! ✅ GIM Academic Support Fund: https://t.co/rg5Mt1hxI6 ✅ Birmingham Free Clinic: https://t.co/pGk6znrPfL ✅ Pall Care Fund: https://t.co/AmWZZTeWbP @CONVERGEPitt: https://t.co/m1fTkgVz6V @PittCP3: https://t.co/uZTMwPKw7V
0
3
4
@PittGIM
Pitt General Internal Medicine
9 months
Your #PittDayofGiving gift to the #PalliativeCare fund helps us: 📋 Manage complex symptoms 📚 Train future #PallCare providers 🤝 Support patients & their loved ones Together, we can reduce suffering & improve quality of life. 💙 Donate today: https://t.co/pGk6znrhqd
1
1
1