LandrumAR Profile Banner
Asheley R. Landrum Profile
Asheley R. Landrum

@LandrumAR

Followers
957
Following
2K
Media
97
Statuses
1K

#scicomm & #mediapsych researcher & professor @cronkite_asu @asu . PI of the #ViewsAndValuesLab tweets are my own.

Phoenix, AZ
Joined March 2012
Don't wanna be here? Send us removal request.
@LandrumAR
Asheley R. Landrum
11 months
Improving access to high-quality scientific information can fill information voids that exist for topics of interest to people and reduce exposure to and uptake of misinformation about science. Read more in our report: https://t.co/ah6yoGYgXF #scicomm #medialiteracy
0
2
5
@LandrumAR
Asheley R. Landrum
1 year
0
2
5
@LandrumAR
Asheley R. Landrum
1 year
It was so much fun getting to work with the @AC360 crew to put this project together!! @Cronkite_ASU @ASU @ASUResearch #KidsonPolitics
@AC360
Anderson Cooper 360°
1 year
How are kids being affected by political polarization in America? Anderson Cooper reports.
5
3
16
@AC360
Anderson Cooper 360°
1 year
How are kids being affected by political polarization in America? Anderson Cooper reports.
46
53
171
@LieselSharabi
Liesel Sharabi
1 year
A teaser in @WIRED for a new article by @LandrumAR and me on relationship misinformation. Full version in COPSYC, available here:
@WIRED
WIRED
1 year
TikTok is host to one of the most influential, fastest-growing online industries: relationship misinformation.
0
1
11
@LandrumAR
Asheley R. Landrum
1 year
(5/5) We provide examples of the two types of relationship misinformation in #RealityTV (such as that in #NakedAttraction with @AnnaRichardso) and other entertainment media. https://t.co/msO6U6HFLs
0
0
0
@LandrumAR
Asheley R. Landrum
1 year
(4/5) We draw a distinction between blatant misinformation and subtle misinformation in entertainment media; and https://t.co/msO6U6HFLs
1
0
0
@LandrumAR
Asheley R. Landrum
1 year
(3/5) We define relationship misinformation and identify it as an understudied domain within science misinformation. https://t.co/msO6U6HFLs
1
0
0
@LandrumAR
Asheley R. Landrum
1 year
(2/5) We identify entertainment media as an understudied source of misinformation https://t.co/msO6U6HFLs
1
0
0
@LandrumAR
Asheley R. Landrum
1 year
New Article Alert! @LieselSharabi and I wrote an opinion piece in Current Opinion in Psychology as part of a special issue on #misinformation titled Entertainment Media as a Source of Misinformation Check it out here: https://t.co/msO6U6HFLs a đź§µ
1
2
7
@JMP_Hogrefe
Journal of Media Psychology
1 year
Congratulations to Asheley R. Landrum at @Cronkite_ASU for being chosen as an outstanding reviewer for JMP in 2023! @LandrumAR, thanks for your contributions to JMP! #JMPOutstandingReviewer
0
1
7
@LandrumAR
Asheley R. Landrum
2 years
Bi-annual reminder that student evaluations are awful. student evaluations “fail to measure actual learning, illegitimately reward teacher attractiveness, penalize minorities and women, and trigger cascading grade inflation.” https://t.co/J0QK69P9nN
Tweet card summary image
chronicle.com
So why do administrators keep demanding them?
4
4
15
@Ike_Saul
Isaac Saul
2 years
People ask me all the time if I am "pro-Israel" because I am a Jew who has lived in Israel, and my answer is that being "pro-Israel" or being "pro-Palestine" or being a "Zionist" does not properly capture the nuance of thought most people do or should have about this issue. It
4K
20K
77K
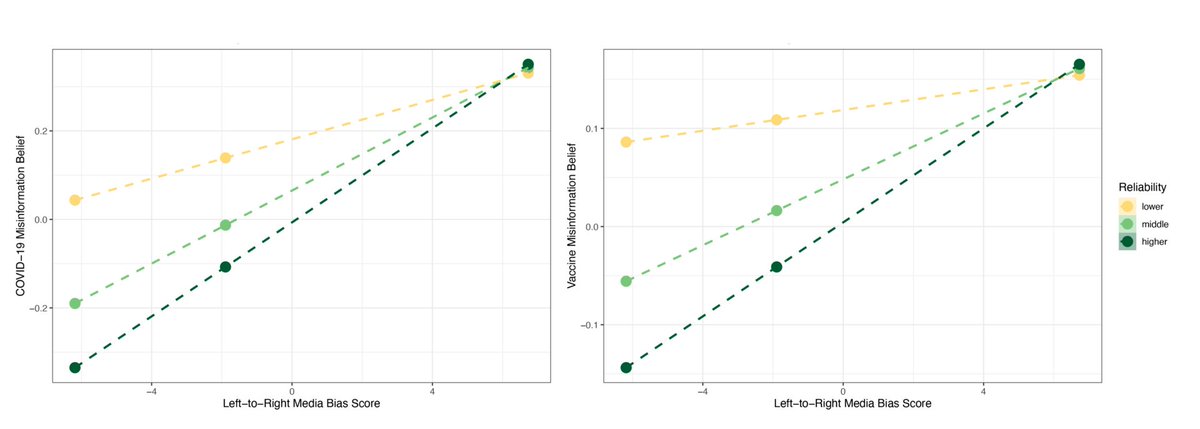
@LandrumAR
Asheley R. Landrum
2 years
We also found that unlike left-leaning media consumers, right-leaning media consumers’ misinformed beliefs seem largely unaffected by their news sources’ degree of (un)reliability.
1
0
1
@LandrumAR
Asheley R. Landrum
2 years
We found that participants who tend to vote for Democrats—on average—consume less biased and more reliable media than those who tend to vote for Republicans.
1
0
2
@LandrumAR
Asheley R. Landrum
2 years
Excited to be invited to attend a small conference at hhmi on media literacy. (Also excited to briefly escape unpacking in Phoenix!) @BIOINTERACTIVE @medialit_now @Cronkite_ASU
0
0
2
@planet_forward
Planet Forward
3 years
We know that science communication is important — but what's the science behind it? @TTU_CoMC Correspondent @ktprkns talks with media psychologist @LandrumAR about journalism, conspiracy theories, and the power of awe. 🎙️ Listen to the podcast! https://t.co/A6SvHJaukF
0
2
3
@LandrumAR
Asheley R. Landrum
3 years
I’m so honored to be selected as a AAAS fellow this past year! @TexasTech @TTU_CoMC @TTUResearch
@aaas
AAAS
3 years
📣 News alert 📢 AAAS is thrilled to announce our #AAASFellow class of 2022! Congratulations to every one of the exemplary individuals who received this lifetime honor. Read our full announcement here: https://t.co/C4svswZbkJ
4
1
32