JokeMatthieu Profile Banner
Joke Matthieu Profile
Joke Matthieu

@JokeMatthieu

Followers
277
Following
712
Media
41
Statuses
157

Always on the lookout for the next opportunity to make the world more democratic! Postdoctoral Researcher @UAntwerpen @m2p_be guest professor @POLI_VUB

Universiteit Antwerpen
Joined October 2009
Don't wanna be here? Send us removal request.
@JokeMatthieu
Joke Matthieu
2 years
๐Ÿšจ New Article Alert ๐Ÿšจ Check out my latest ๐Ÿ“„ with Silvia Erzeel and Didier Caluwaerts in @PoliticsGenderJ ๐Ÿค” Citizenship education might sometimes intensify gender inequality in internal political efficacy. Find out why: ๐Ÿ”— https://t.co/y6gAYvu58g @m2p_be @POLI_VUB
0
5
22
@JokeMatthieu
Joke Matthieu
1 year
Uit experimenteel @YouVoiceProject onderzoek van @LCJacobs89, Matthias Van Campenhout, Stefaan Walgrave, en mezelf blijkt dat de Jongerenstemtest erin slaagt om politieke kennis en betrokkenheid te verhogen. Blij om de eerste resultaten te delen. ๐Ÿ“ฐ
Tweet card summary image
vrt.be
Jongeren beschikken over betere politieke kennis na het invullen van de Jongerenstemtest van VRT NWS. Dat blijkt uit onderzoek van de Universiteit Antwerpen. Na de test weten ze beter welke partij...
0
3
9
@PoliticsGenderJ
Politics & Gender
2 years
๐Ÿ“ฃ Out on #FirstView ๐Ÿ“ฃ @JokeMatthieu, Silvia Erzeel & Didier Caluwaerts explore the role of citizenship education in gendered differences of internal political efficacy in 'Intensifying Gender Inequality'. ๐ŸŒŸAvailable #OpenAccess ๐ŸŒŸ https://t.co/ZUi8Nv7VEi
0
3
17
@CUP_PoliSci
Cambridge University Press - Politics
2 years
#OpenAccess from @PoliticsGenderJ - Intensifying Gender Inequality: Why Belgian Female Students (Sometimes) Gain Less Internal Political Efficacy from Citizenship Education Than Male Students - https://t.co/Fg9dfvjt3m - @JokeMatthieu, Silvia Erzeel & Didier Caluwaerts #PAG20
0
3
4
@EJPGjournal
EJPG
2 years
CHECK OUT ๐Ÿ’ก "Where are we with closing the gender gap in internal political efficacy?" by @JokeMatthieu A must read for those Interested in political ambition and recruitment! It's โœจ FREE โœจ to access! ๐Ÿ“– โžก๏ธ https://t.co/aHhSwbS7iE
0
4
6
@ATJMattelaer
Alexander Mattelaer
2 years
We are recruiting a new teaching assistant / PhD researcher @POLI_VUB! Tasks include supporting our (mostly English-taught) political science curricula & conducting original research on democracy, IR and/or European politics. Deadline 15 Aug; more info via https://t.co/lfNSeLa6cS
0
4
8
@benjamin_blanck
Benjamin Blanckaert
2 years
๐Ÿ“ขRecherche de participants! ๐Ÿ“ขDeelnemers gezocht! โžก๏ธ https://t.co/CtiXpiM3fc
1
5
4
@m2p_be
MยฒP
2 years
De verkiezingen naderen! Onze onderzoekers zitten niet stil en delen hun inzichten. Meer weten? ๐Ÿ”Ž Lees dan zeker dit draadje ๐Ÿงต #verkiezingen2024 #wetenschapscommunicatie @UAntwerpen @UAfsw
1
4
6
@JokeMatthieu
Joke Matthieu
2 years
๐Ÿ“ข Over the ๐ŸŒ– with our publication in @PolBehavior @SpringerNature together with the fantastic @NinoJunius ๐Ÿš€. ๐Ÿ“š Check out our open access article "Educationally Tracked Democratic Equalizersโ€ here: https://t.co/w2vXf8Ymtf @m2p_be @POLI_VUB
1
9
29
@m2p_be
MยฒP
2 years
De Stemtest is al 1,75 miljoen keer uitgevoerd: hoe zijn de vragen gekozen? En waarom is niet elke partij opgenomen? Stefaan Walgrave geeft uitleg ๐Ÿ‘‡ https://t.co/zGIKpHExaC
Tweet card summary image
vrt.be
Twijfel je nog op de laatste dag voor de verkiezingen? Je kunt nog steeds De Stemtest invullen en de standpunten en ideeรซn van politieke partijen aftoetsen aan de jouwe. De Vlaamse en Franstalige...
0
2
12
@Sampol_magazine
Samenleving & Politiek
2 years
Overzicht van waarschijnlijkheid om voor alle Vlaamse partijen te stemmen, uitgesplitst naar zowel gender als generatie. Onderzoek van @LCJacobs89, @JokeMatthieu en Peter Van Aelst van @m2p_be ๐Ÿ‘‡ https://t.co/m7LaVdyptF
0
4
10
@JokeMatthieu
Joke Matthieu
2 years
๐Ÿ“ฐ Ook De Standaard bericht over onze allereerste resultaten over de genderkloof in politieke voorkeuren ๐Ÿ’ƒ๐Ÿ—ณ๏ธ๐Ÿ•บ https://t.co/s4t9wqduZm Lees de volledige bijdrage van @LCJacobs89 , @petervanaelst en mezelf in @Sampol_magazine ๐Ÿ“
0
5
14
@JokeMatthieu
Joke Matthieu
2 years
๐Ÿ‘€ check this out! ๐Ÿ‘‡
@LCJacobs89
Laura Jacobs
2 years
๐Ÿ“ฃGisteren verscheen een bijdrage met @JokeMatthieu & @petervanaelst over de stem van Gen Z o.b.v. het @YouVoiceProject. Zo'n 600.000 jongeren gaan 9 juni voor de 1ste keer stemmen ๐Ÿ—ณ๏ธ. Daarmee kunnen ze een bepalende factor zijn. https://t.co/bILnE6H5To via @Sampol_magazine ๐Ÿ‘‡
0
0
4
@JokeMatthieu
Joke Matthieu
2 years
We zijn vertrokken ๐Ÿ De eerste vragenlijst kan vanaf nu ingevuld worden door het YouVoice jeugdpanel! ๐Ÿš€๐Ÿš€๐Ÿš€
@YouVoiceProject
YouVoice
2 years
Het is zover, onze eerste vragenlijst staat helemaal klaar om ingevuld te worden! ๐ŸŽ‰ Dus als je meedoet aan onze studie, kan je vanaf nu een link naar de vragenlijst vinden in je sms- of mailbox.
0
1
7
@JokeMatthieu
Joke Matthieu
2 years
Wees snel ๐Ÿ’จ en schrijf je in voor ons YouVoice jeugdpanel! Deze zondag sluiten we de inschrijvingen!
@YouVoiceProject
YouVoice
2 years
Wat een enthousiasme! 4500 jongeren schreven zich in voor ons YouVoice Jeugdpanel. Zondagavond sluiten we de inschrijvingen. Laatste kans๐Ÿ‘‡ โœ…Ben je tussen 16-30 jaar? Wil je 50โ‚ฌ verdienen (bij deelname aan 5 enquรชtes)? https://t.co/f8V089s9jYโ€ฆ Schrijf je nog snel in!๐Ÿ’™๐Ÿ’›โค๏ธ
0
0
3
@POLI_VUB
POLI (@dfuturevub.bsky.social)
2 years
๐Ÿ“„New article! ๐Ÿ‡ช๐Ÿ‡บ Our team's research reveals a nuanced shift in the prominence of religion among Belgian and Dutch MEPs. Christian-secular conflict wanes, but radical right voices now emphasize religion through an anti-Islam stance. Read it here ๐Ÿ”: https://t.co/TFDmtE1wPN
0
1
4
@YouVoiceProject
YouVoice
2 years
Doe zoals meer dan 1600 andere jongvolwassenen en schrijf je nu in voor ons jongerenpanel! โค๏ธ๐Ÿ’›๐Ÿ’™ Twijfel je nog? Dan sommen wij snel even 3 redenen op waarom je juist wel mee zou moeten doen! Inschrijven kan via: https://t.co/f8V089s9jY @FSW_KULEUVEN @UAfsw @m2p_be
0
6
7
@YouVoiceProject
YouVoice
2 years
We zijn gestart! De komende jaren onderzoeken we vanuit de @kuleuven en @uantwerpen hoe het gesteld is met de politieke kennis van jonge burgers in Vlaanderen en hoe ze zich informeren over politieke en maatschappelijke kwesties. Meer weten? https://t.co/cU8Y5JwQtv
0
6
4
@ECPR
European Consortium for Political Research
2 years
โšก #ecprjs24 ๐Ÿ‡ฉ๐Ÿ‡ช Workshop Director @DimoKavadias seeks Papers on gender-specific political socialisation from an ๐Ÿงฌ intersectional perspective & ๐ŸŽ“ educational practices that reduce the gender gap in political leadership โณ Submit by 23 Nov ๐Ÿ‘‰๐Ÿผ
Tweet card summary image
ecpr.eu
European Consortium for Political Research
0
4
8
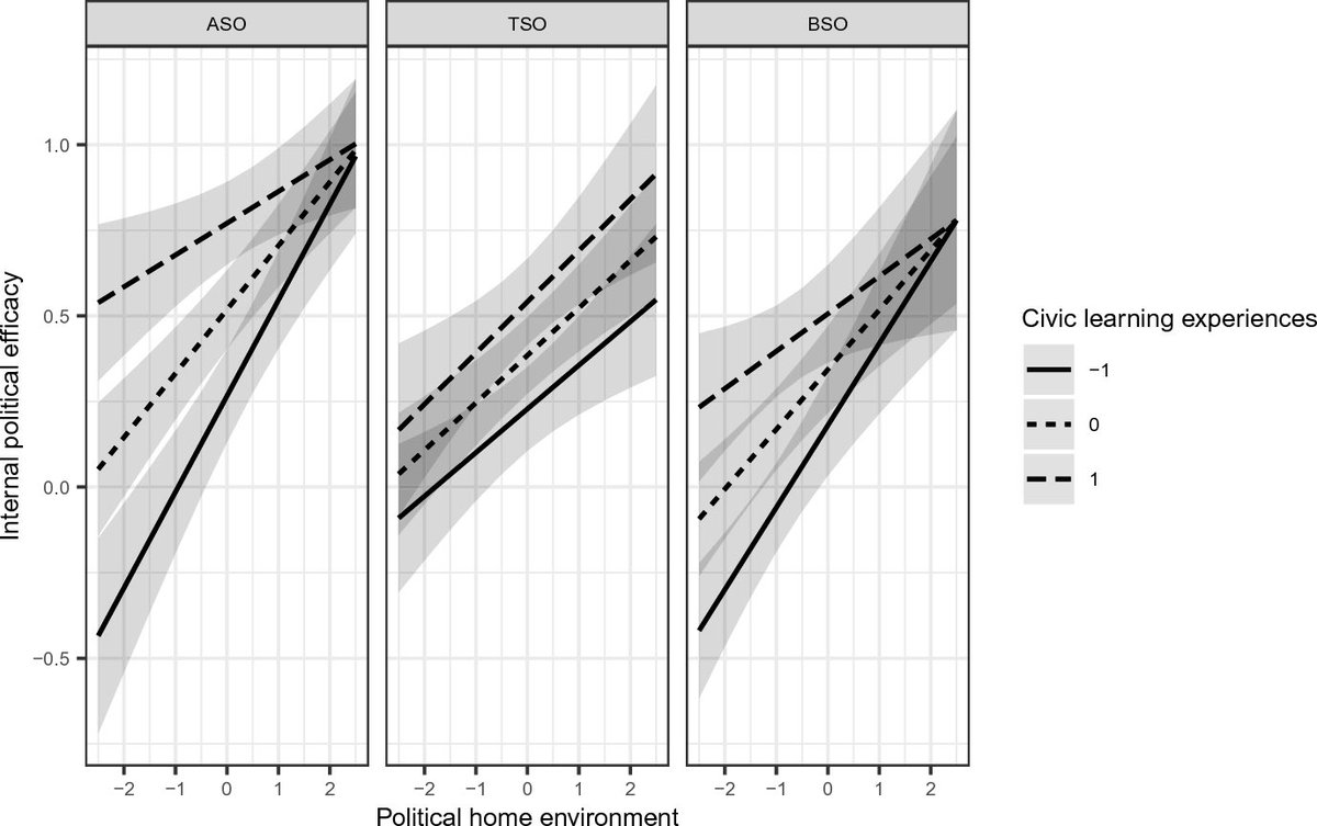
@JokeMatthieu
Joke Matthieu
2 years
๐Ÿš€๐Ÿ“ข Just published and 50 days free access ๐Ÿ“š๐Ÿ‘€ ๐Ÿซ Searching for a democratic equalizer: CEโ€™s moderating effect on the relation between a political home and IPE Read: https://t.co/qOpP3gGu9M @m2p_be @POLI_VUB @nino First presented at 2022 @ECPRSGCitizen panel in Innsbruck
2
3
26