Juan Gabriel Del Cid Profile
Juan Gabriel Del Cid

@JohnnyFromGT

Followers
63
Following
3K
Media
89
Statuses
3K

Software specialist, triathlon enthusiast.

Joined April 2010
Don't wanna be here? Send us removal request.
@JohnnyFromGT
Juan Gabriel Del Cid
10 years
https://t.co/t2I6ZJXgYJ top climate scientists: climate change is real, it is man made and we're not fucking with you!
0
0
8
@JohnnyFromGT
Juan Gabriel Del Cid
3 years
Hi @knox_trades, what would you use for a Solana multisig solution?
0
0
0
@JohnnyFromGT
Juan Gabriel Del Cid
3 years
Snatchblock! @smartereveryday Gave me the power to pull together two falling banana 🍌 trees!
0
0
3
@JohnnyFromGT
Juan Gabriel Del Cid
3 years
I just minted Stand with Crypto
0
0
0
@JohnnyFromGT
Juan Gabriel Del Cid
3 years
0
0
2
@JohnnyFromGT
Juan Gabriel Del Cid
4 years
Wordle 270 3/6 ⬜⬜⬜🟨🟨 🟩🟨🟨🟨🟨 🟩🟩🟩🟩🟩
0
0
0
@JohnnyFromGT
Juan Gabriel Del Cid
4 years
. @ultrasoundmoney, how can I query ETH burn rate and issuance rate? I want to show current inflation/deflation data on a dashboard.
0
1
0
@carlostoriello
Carlos : CEO at SimpleProof.com
6 years
#Fiscal_Digital publicó la canción que cantamos el 20200207 para la CAME-TSE. #Fiscal_Digital published the song we sang on 20200207 for the CAME-TSE. No olviden firmar si están de acuerdo: Don't forget to sign if you agree: https://t.co/ZwXENjdjD0 https://t.co/tryuzb8A0B
4
20
27
@JohnnyFromGT
Juan Gabriel Del Cid
7 years
I'm not sure why, but this made me cry a little. Thanks for sharing.
@amorningsting
🌿 eyelean 🌿
7 years
My dad is a mailman and he likes to give dogs on his route treats. Today he told us one of the dogs on his route passed away and his owners gave him this bag of treats with this note 😭
0
0
0
@bgreene
Brian Greene
7 years
"Think of the endless cruelties visited by the inhabitants of one corner of this pixel on the scarcely distinguishable inhabitants of some other corner...how eager they are to kill one another..."--Carl Sagan
34
404
1K
@dodo
The Dodo
7 years
June is a rescue raccoon who's spoiled rotten! She's always climbing into the sink or getting into trouble, but her dog sister Waffles keeps a close eye on her 💕
57
971
4K
@zilliqa
Zilliqa
8 years
We are happy to announce the details of the “Zilliqa Ecosystem Grant Programme”. A grant pool of USD 5M (equiv.) will be available for developers to build on (and for) Zilliqa. More details on the programme and its scope are given in our blog post:
18
113
298
@BBCWorld
BBC News (World)
8 years
The handshake that made history.
6K
166K
376K
@NASASolarSystem
NASA Solar System
8 years
Gravity’s Rainbow: Saturn’s rings display their subtle hues in this natural color view from 2009. https://t.co/xoKKbF7mD2
38
865
3K
@dog_feelings
Thoughts of Dog
8 years
today. i wasn’t a very good dog april fools. i was so good
473
56K
287K
@RichardDawkins
Richard Dawkins
8 years
Do dogs go to Heaven? Only pets, not wild animals? If only humans go to Heaven, how far back? Homo erectus? Australopithecus? Only people who lived after Jesus? Not Abraham, Moses or Elijah, then. Which “you” will be in Heaven? Senile you with dementia? Midlife-crisis you?
780
4K
12K
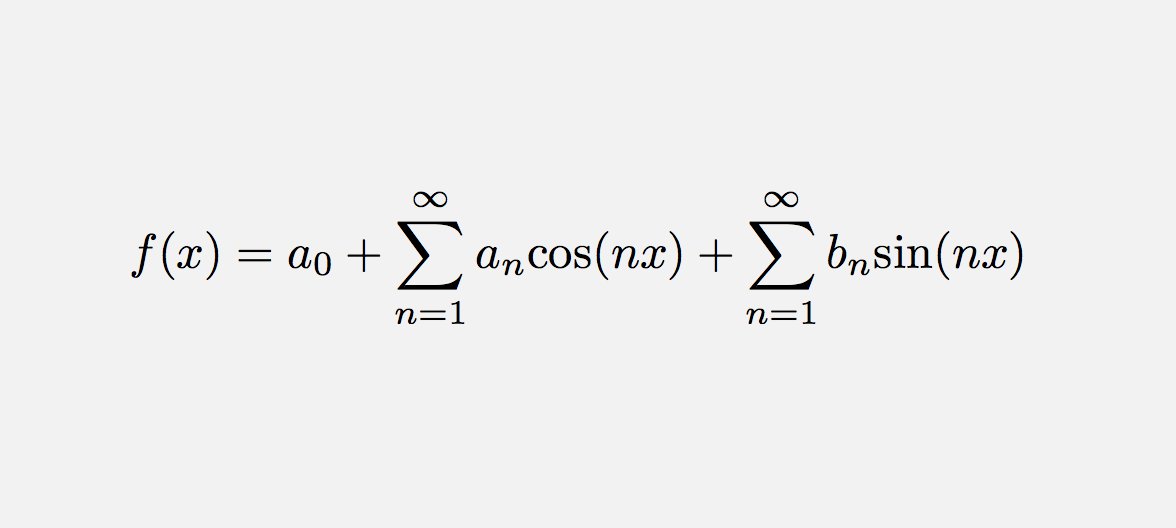
@bgreene
Brian Greene
8 years
Joseph Fourier, born OTD 1768, gave the world one of the most important mathematical tools: a way to express functions in terms of sums of sines and cosines.
43
481
2K
@iamjohnoliver
John Oliver
8 years
Here's our piece from last night on Cryptocurrencies... https://t.co/Whpl3BQIbO #craefulgang
218
738
3K
@JohnnyFromGT
Juan Gabriel Del Cid
8 years
This is what we mean when we say "religion poisons everything"
@ddiamond
Dan Diamond
8 years
FLASHBACK to Oct. 2016, the eve of the election Do you think Trump has strong moral character? · White evangelicals: 44% · Atheists/agnostics: 18%
0
0
0