
IAME Research Center
@IAME_Center
Followers
538
Following
2K
Media
151
Statuses
887
IAME UMR_S 1137 hosts more than 150 researchers working on #Infection #Antimicrobials #Modelling #Evolution @Inserm @Univ_Paris @univ_spn #IDTwitter #AMR #IPC
Joined January 2020
Very glad to share our letter in CID on within-host dynamics of antibiotic resistance in untreated individuals w @oliviercotto @EtienneRuppe @Laurence_Armand and others @IAME_Center
academic.oup.com
To theEditor—How the within-host bacterial density varies after acquisition of a resistant strain and in the absence of antibiotic selection is key to our
1
6
15
#papersofthemonth
@ASCPT_ClinPharm: Association between #SARSCoV2 viral kinetics and #clinicalscore evolution in hospitalized #patients. @MayaHites @julienpoissy @nathanpsmad @DgCostagliola @yazdanpanah_y @BrunonGagneux
https://t.co/fcNI0BZTmp
0
0
1
#papersofthemonth
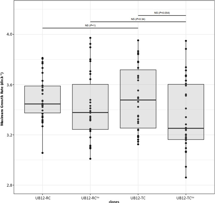
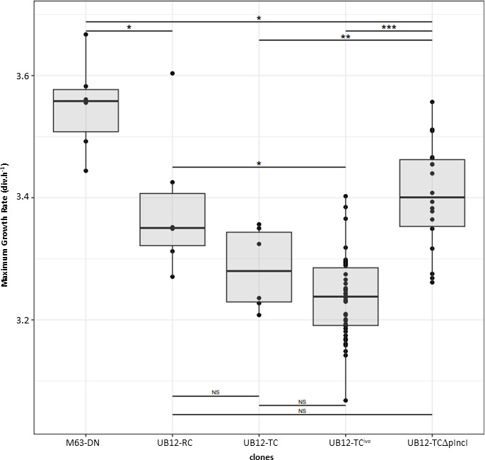
@ASMicrobiology : Dissemination of #IncI plasmid encoding #blaCTXM1 is not hampered by its #fitness cost in the pig's gut. https://t.co/nho9MNf3Yz
0
0
0
#papersofthemonth
@of_aic : Which severe #COVID19 patients could benefit from high dose #dexamethasone? A Bayesian post-hoc reanalysis of the COVIDICUS randomized clinical trial. @JF_Timsit
https://t.co/6BLbyQRaoX
0
0
0
#papersofthemonth
@BSACandJAC : Prevalence and associated factors of #antibiotic exposure during #pregnancy in a large #Frenchpopulation-based study during the 2010–19 period @JeanneSibiude
https://t.co/dbcs6YPvWw
0
0
0
🦠🔥Très fier d'être porteur avec @donia_b et @QLeHingrat @hopitalbichat @APHP @IAME_Center @Inserm d'un projet financé @agenceANRS TROPIFEVER - Diagnostic moléculaire rapide et détection des maladies émergentes chez les patients atteints de fièvre de retour de zone tropicale
6
14
70
#papersofthemonth
@PLOSCompBiol : Impact of #variants of concern on #SARSCoV2 viral dynamics in #nonHumanPrimates
@MelaniePrague @JulieEeeBe
https://t.co/14WLNeeCFm
0
0
0
#papersofthemonth
@PLOSCompBiol : #Modeling the kinetics of the neutralizing #antibody response against #SARSCoV2 variants after several administrations of #Bnt162b2
@MelaniePrague @Delphine_Planas @Timothee_B @olivierschwartz @RodThiebaut
https://t.co/ckwsBgcWXb
0
2
1
#papersofthemonth
@PLOSGenetics : The bacterial genetic determinants of #Ecoli capacity to cause #bloodstreamInfections in humans @juditburgaya @GuilhemRoyer @vdelastours @denamur_erick @mgalactus @FrancoisJB
https://t.co/biyRkP60cH
0
2
6
#papersofthemonth
@CMIJournal : Comparison between #targeted and #vaccinated populations during the #mpox vaccination campaign in France https://t.co/gzj4Qg9mFe
0
0
0
Curious about short-term dynamics of natural selection? Wondering how they differ from long-term ones? Our article with @ten_olivier is out now! @PNASNews
https://t.co/n9hqvz4YlJ A quick thread 🧵
5
21
53
Check out the article by @romsonnevil and Mazighi et al in #Stroke 👇 https://t.co/pPtEaTrCiP
@stlegriel @demontmol @IAME_Center @MIR_Bichat #AHAJournals
ahajournals.org
BACKGROUND: Long-term outcomes of patients with severe stroke remain poorly documented. We aimed to characterize one-year outcomes of patients with stroke requiring mechanical ventilation in the...
0
2
5
Want to know more about iron acquisition systems in E. coli? How do they co-occur and localise at the clonal and species level? What is their respective role in E. coli virulence? Take a look at our latest GWAS analysis!" https://t.co/X2BizVVNbx
@mgalactus @IAME_Center
biorxiv.org
The intrinsic virulence of extra-intestinal pathogenic Escherichia coli is attributed to numerous chromosome and/or plasmid-borne virulence associated genes (VAGs), encoding diverse functions as...
0
3
11
Robust and Adaptive Two-stage Designs in #Nonlinear Mixed Effect Models | Lucie Fayette; Jérémy Seura @IAME_Center | https://t.co/7ZvMhIKiNs
#AAPSJ @AAPSComms
#NLMEM #FIM #MS #MA
0
1
1
Our new paper is out! Trying to decipher the role of genetic background, iron acquisition systems and genomic location in the intrinsic virulence of E. coli. @mgalactus, @FrancoisJB, @IAME_Center
nature.com
Nature Communications - The virulence of extra-intestinal pathogenic Escherichia coli is associated with multiple different genes in different lineages. Here, Royer et al. show that the emergence...
2
24
60
@IAME_Center is recruiting a lab engineer on a (very cool) project on #AMR in bacterial communities with @Daniel_R_Amor
https://t.co/QLxKAym0JV In French but anyone interested can contact Daniel! Please RT
0
3
3
#papersofthemonth
@CIDJournal : Within-host #density and #duration of #colonization of travel-acquired multidrug-resistant #Enterobacterales in untreated individuals @Laurence_Armand @RuppeEtienne @FrancoisJB
https://t.co/yUi3hxq5vs
0
0
4
#papersofthemonth
@NatureComms : Epistatic interactions between the high #pathogenicityIsland and other #iron uptake systems shape #Ecoli extra-intestinal virulence @GuilhemRoyer @FrancoisJB @mgalactus
https://t.co/9CMEa3Q8ot
0
1
5
#papersofthemonth IJAA : Pharmacokinetic Interaction between #Rifampicin and #Clindamycin in #Staphylococcal #Osteoarticular Infections https://t.co/YsdUzchlMA
0
0
2
#papersofthemonth
@CMIJournal : Risk of #infections in #intravascular #catheters in situ for more than 10 days: a post hoc analysis of randomized controlled trials @olivier_mimoz
https://t.co/fowQtpekyh
0
0
0