Dr. Severine Hex, PhD
@HexSeverine
Followers
95
Following
40
Media
8
Statuses
32
Researcher studying multimodal communication, social cognition, and behavior using the plains zebras as a model system.
Joined May 2020
Juvenile animals occupy a different social niche than adults, being inexperienced and facing different social risks. I investigated how this "age of risk" affects the development of communication in juvenile plains zebras. Check out the manuscript here:
nature.com
Communications Biology - Network-based methods reveal the social forces shaping the multimodal communication of juvenile animals in complex societies. Juvenile plains zebras use simpler, less...
0
0
0
Read our full paper on how social roles within stable social groups and communicative flexibility may facilitate survival during the challenges of the Anthropocene. Many thanks to my collaborators @erin_isbilen and Dan Rubenstein:
onlinelibrary.wiley.com
We investigated how the highly social plains zebra (Equus quagga) modify their activity budgets, social networks, and multimodal communication during a drought. Although animals prioritized feeding...
0
0
1
Multimodal communication became simpler and less combinatorically complex, particularly in the costly social contexts of aggression and greeting, likely reducing the possibility of communicative misunderstandings when they cannot be afforded.
1
0
0
Mothers focused on foraging, while their juvenile's primary social partner shifted towards unrelated, non-maternal females in the harem.
1
0
0
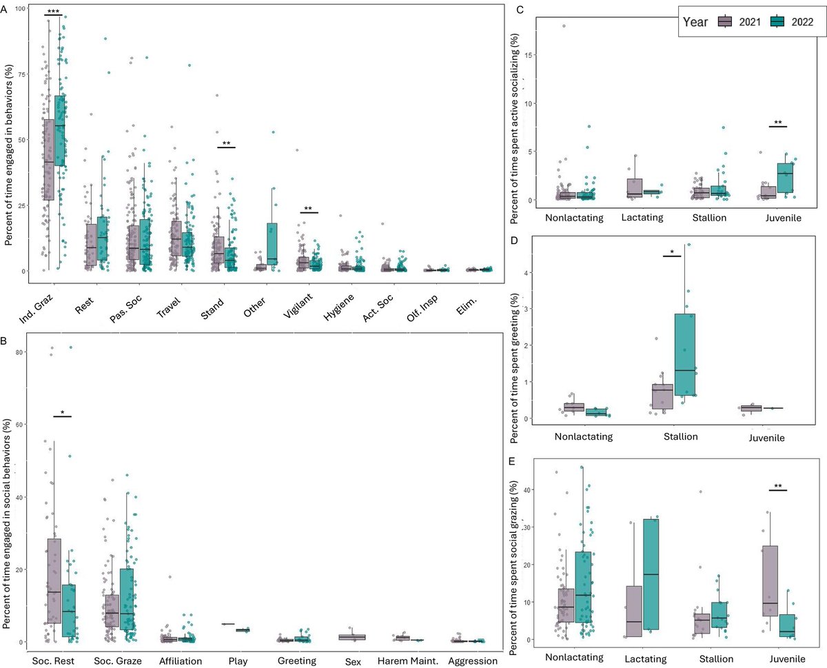
We found that, while foraging time increased, social bonds remained robust. Furthermore, individuals changed their behavior in accordance with their need and social niche. Stallions spent more time greeting extra-harem males, which likely facilitated female grazing.
1
0
0
But then I realized the perfect natural experiment this drought offered to investigate how zebras modified their social behavior in response to the drought. We expected that social behavior would fall to the wayside in favor of survival. The truth was far more complex.
1
0
0
Extreme weather events, such as drought, are becoming an increasing challenge that animals must face in the Anthropocene. When severe drought struck my field site in Laikipia Kenya in 2022 I was certain that would spell the end of my dissertation.
thezebrazine.wordpress.com
We are pleased to announce the beginning of another field season, and another season of the harem dramas! While we are excited to be back and return to the lives of the zebras we have come to know,…
1
0
1
The Warder Clyde Allee Award honors the best student paper at #ABS2024. Please join us in congratulating our Honorable Mention, Dr. Severine Hex!
1
3
23
I am delighted and honored to share that yesterday I defended my dissertation and earned my PhD in Ecology and Evolutionary Biology at Princeton University. Many thanks to my advisor Dan Rubenstein for all of his guidance over these 6 years.
2
1
11
I am pleased to share that I was awarded honorable mention for my Allee presentation on how sociality enabled zebras to survive a severe drought. It was an honor to share my work alongside the other incredible scientists in this symposium. Keep an eye out for the manuscript.
How might wild animal welfare knowledge shed light on the resilience of individuals in the face of extreme weather events? @HexSeverine explores how social bonds help zebras navigate harsh drought conditions. #ABS2024
0
2
7
Joint attention is considered one of the key capacities underlying human cooperation. We have studied it non-human primates and domestic animals like dogs, but what about zebras? We investigated whether the headbob (below) is used for joint engagement. https://t.co/2td5Gsv01W
0
6
21
Communication is complex, made all the more so by being fundamentally multimodal. My new paper introduces a framework for using network methods to analyse communication as an interconnected system, using plains zebras as a case study. https://t.co/LbKw0txweb
2
15
32
Check out the @biorxivpreprint for this study here: https://t.co/sKzYqYLNwv. Thanks to coauthors @HexSeverine and Dan Rubenstein & to our funders @Simons_SOF & @NSF! (13/13)
biorxiv.org
Sexual size dimorphism (SSD) has motivated a large body of research on mammalian mating strategies and sexual selection. Despite some contrary evidence, the narrative that larger males are the norm...
11
23
200
One of the highlights of working the plains zebras is their attitudes, which apparently begin to emerge early in their ontogeny. Here is one of our focal foal "investigating" a foal from another harem. @erin_isbilen
1
5
13
2022 Field Season Has Begun: Where are the Harems Now?
thezebrazine.wordpress.com
We are pleased to announce the beginning of another field season, and another season of the harem dramas! While we are excited to be back and return to the lives of the zebras we have come to know,…
0
0
1
The New York Times reporting on work by recent Ph.D graduate Katerina Faust, who took my lab's focus on social learning in a new direction with her research on the role of animal personality in pair bonding and parenting. Her new papers are in press and coming out soon!
Zebra finches pair by exploration, says @CornellPsychDpt professor @MikeHGoldstein in @nytimes reporting on animal personality: "Low-exploring males and low-exploring females got together, and high-exploring males and high-exploring females got together.” https://t.co/BgJVZC5nGc
0
1
5
The word "harem" has been used to describe many mammalian social systems, but are they all the same? I am pleased to share this paper on classifying the social diversity in mammalian UM-MF units. Huge thanks to co-authors @kaiatombak and Dan Rubenstein.
0
4
5
https://t.co/PJVyRrjhTe Featuring a very adorable video from my first field season of a yearling female attempting (and failing) to gain access to an infant.
thezebrazine.wordpress.com
The birth of a new foal in the harem brings with it many changes. The mother enters a new physiological state of lactation, increasing her nutrition and water requirements in ways that fundamentall…
0
0
0
https://t.co/bFNyuhH0Wu A fun one today with a (unresolved) discussion on why third-party interventions in sexual contexts may occur in plains zebras.
thezebrazine.wordpress.com
What Happens when a Mare Goes Missing? When, on August 24th, we came across one of our largest harems, Shards of the Flame, we immediately noticed something amiss. The newest mare to have joined th…
0
0
0
A few updates on the harems, including the fate of MI6 and numerous gratuitous baby zebra pictures.
thezebrazine.wordpress.com
MI6 Mares Join New Harem Since our last post about MI6 and House of Usher, we had been eager to follow the story to figure out what happened. However, when we next found House of Usher on July 26th…
0
0
1