ESMI_research Profile Banner
ESMI Research Profile
ESMI Research

@ESMI_research

Followers
548
Following
228
Media
65
Statuses
490

Tweeting about perinatal mental health, especially the ESMI research programme led by Prof Louise Howard

London, England
Joined April 2015
Don't wanna be here? Send us removal request.
@ESMI_research
ESMI Research
6 years
Prof Louise Howard @SWMH_IoPPN and Antoinette Davey (University of Exeter) launch #ESMI II
1
2
10
@tommys
Tommy's
5 years
We've launched new guidance for women who are managing a serious mental illness and might be planning a pregnancy in the next 5 years: https://t.co/UPbnsXgQT2 @PHE_uk @NHSEngland @KingsCollegeLon @rcpsych
2
46
59
@ESMI_research
ESMI Research
5 years
0
1
1
@KingsWMH
King's Women's Mental Health
5 years
Should be a great conference!
@TheMarceSociety
The Marcé Society
5 years
@SWMH_IoPPN @UKIMarce and joining also means attendance at @UKIMarce virtual conference dec 3 is free!
0
2
2
@ESMI_research
ESMI Research
5 years
New Covid and perinatal mental health resource of guidance internationally https://t.co/sjEcbwfv4x
0
1
4
@TheMarceSociety
The Marcé Society
5 years
#Perinatal #MentalHealth: a review of progress and challenges This and more #research by our #marcesociety members in this latest issue of the World Psychiatry Journal: https://t.co/jyQZGj5s4I Further topics include: #perinatal #anxiety #postpartum #psychosis #prenatalmh
1
17
19
@KingsWMH
King's Women's Mental Health
5 years
@TheMarceSociety Thrilled to be part of this World Psychiatry journal on #perinatalmentalhealth @KingsIoPPN @KingsHSPR @SWMH_IoPPN @DrHKhalifeh
0
1
5
@KingsWMH
King's Women's Mental Health
5 years
For all acute services: Be less coercive, support family relationships, relationships with staff are key, support women in relationships with social services, and support both mental health and needs around parenting
0
1
1
@KingsWMH
King's Women's Mental Health
5 years
For CRTs: have more continuity of staff
0
1
1
@KingsWMH
King's Women's Mental Health
5 years
For acute wards: support women with separation from baby
2
1
1
@KingsWMH
King's Women's Mental Health
5 years
Main findings and recommendations: For #Motherandbabyunits Have more flexible family visiting hours, more family rooms and flexible approaches to parenting
1
1
2
@KingsWMH
King's Women's Mental Health
5 years
Come to our UK perinatal mental health meeting! Free for @TheMarceSociety members (join via website https://t.co/EFGePI7Gvv) and should be a great day. Event brite details here: https://t.co/2XUtahYO3Z
2
7
10
@ESMI_research
ESMI Research
5 years
study on #perinatalmentalhealth across Europe so please retweet
0
2
0
@bye_amanda
Dr Amanda Bye (she/her)
5 years
@SWMH_IoPPN @james_harris @MicaliNadia @DebraBick @ProfJShawe @paul5228 @UCLchildhealth @ESMI_research Thank you so much @SWMH_IoPPN! And thank you for the opportunity to be involved in the @ESMI_research, such a beneficial research experience!
0
2
2
@TheMarceSociety
The Marcé Society
6 years
Calling all those who care for women in the #perinatal period! Join us for the Begin Before Birth virtual conference on 11 June 2020! Among other topics, the impact of #Covid19 and how it relates to #mothers will be discussed. Register here: https://t.co/1umT4qgPZ3 #globalPMH
1
17
20
@northactually
Professor Sally Marlow
6 years
Exceptional storytelling by @Tiffany54633002 on moving from adolescent inpatients to adults. Powerful beyond words, directed by @dmart000 supported by @maudsleycharity @NIHRMaudsleyBRC @kcsamh Please watch, you'll be glad you did https://t.co/EEr1KaoIk6
1
55
60
@KingsWMH
King's Women's Mental Health
6 years
@TheMarceSociety has great new covid resources for perinatal mental health clinicians and researchers
0
20
19
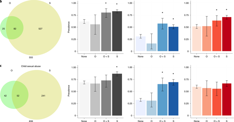
@andrea_danese
Andrea Danese
6 years
New Danese & Widom @NatureHumBehav paper ’Objective and subjective experiences of child maltreatment and their relationships with psychopathology’ is out @KingsIoPPN @MaudsleyNHS @CUNY - see THREAD below
Tweet card summary image
nature.com
Nature Human Behaviour - In a cohort of 1,196 children followed to age 29 years, the authors found that risk of psychopathology was more strongly associated with subjective recall of childhood...
9
103
192