DvEpp Profile Banner
00 Profile
00

@DvEpp

Followers
537
Following
13K
Media
4K
Statuses
23K

《Tout anticommuniste est un chien.》

MKE
Joined August 2015
Don't wanna be here? Send us removal request.
@ben_banshee
banshee
15 hours
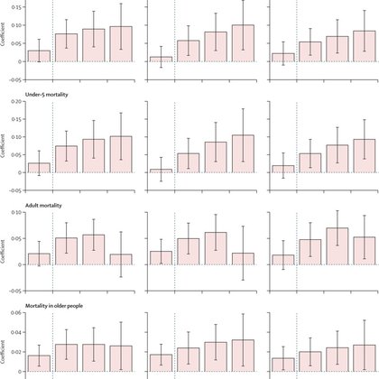
@redmischa This study from earlier this year is even more sobering… 38 million deaths in 50 years. Painful corrective measures to save civilization = worldwide mass death campaigns, apparently https://t.co/db5BNYXF9z
Tweet card summary image
thelancet.com
Sanctions have substantial adverse effects on public health, with a death toll similar to that of wars. Our findings underscore the need to rethink sanctions as a foreign-policy tool, highlighting...
9
39
440
@DvEpp
00
9 hours
found out in the space of 10 minutes that jack dejohnette & gary mounfield have died in the past two months
0
0
0
@kenklippenstein
Ken Klippenstein (NSPM-7 Compliant)
23 hours
If you're wondering how cable news is reporting the US seizure of a Venezuelan oil tanker, here's CNN saying, "This is absolutely normal."
342
1K
5K
@bbonjourkitty
amanda ☭
1 day
you people hated amber hard way more than diddy. misogyny is everywhere for those with eyes to see.
2
98
437
@DvEpp
00
19 hours
tell that to the millions of education workers in the US's public schools, Brianna…
@briannalyman2
Brianna Lyman
1 day
You do not have a right to someone else’s labor
0
0
0
@DvEpp
00
19 hours
we're all bots now
@IGGYAZALEA
IGGY AZALEA
2 days
Is anyone still here or is it just bots talking to bots at this point 😭
0
0
0
@DvEpp
00
20 hours
Lady MAGA herself Erika Kirk has appeared on SIX COUNT EM SIX FOX CORP programs this week with some of the most deranged nonsense I have ever heard… “Hannity,” “Fox & Friends,” “The Brian Kilmeade Show,” “The Five,” “Outnumbered,” “Will Cain Country”
0
0
0
@DvEpp
00
1 day
You can't trust Sam Altman with your teenagers but you can trust him with your newborns?
@MorePerfectUS
More Perfect Union
2 days
Jimmy Fallon: "And do you use ChatGPT when raising your baby?" Sam Altman: "I cannot imagine figuring out how to raise a newborn without ChatGPT."
0
0
0
@PeoplesForumNYC
The People's Forum
2 days
In the wake of the powerful Nationwide Day of Action for “No War on Venezuela” where over 65 cities mobilized to demand an end to the US war drive on Venezuela, we gather again to assess the current moment and chart the path forward. This webinar will provide space to evaluate
9
72
138
@afshinrattansi
Afshin Rattansi
2 days
$50 million bounty on his head, constant threats of assassination by the CIA, President Trump saying his days are numbered: Venezuela’s🇻🇪 President Nicolas Maduro:
@GUnderground_TV
Going Underground
2 days
Donald Trump: ‘Maduro’s days are numbered.’ The brazen imperialist war to steal the world’s largest oil reserves looms.
72
730
3K
@yashalevine
Yasha Levine
2 days
this is interesting but please explain to me how this differs much from how things were done before — or why this is so much more authoritarian than the "normal" military industrial complex? the security state has been privatized for a long time, as @TimothyS shown so well.
@EdwardGLuce
Edward Luce
2 days
Anyone interested in the rise of techno-authoritarianism/broligarchs and why they're targeting Europe, I've stumbled on this great resource. Use it.
0
3
17
@DvEpp
00
2 days
fwiw, ranch dressing stinks like hell… fermented fish paste is definitely strong smelling but it's definitely good for you
@Phantasiavt
Phantasia | God of Fate & the Afterlife
2 days
Stop saying I’m “inconsiderate” when you’re using guilt to modernize oppression. Ppl love to take from POC, but when we’re authentic, it’s “gross” You’re not inclusive if you only like the colonized version of us No one at work had an issue, except the 2 ppl who already got
0
0
0
@yashalevine
Yasha Levine
2 days
AI is going to unite everyone in a political project to control technology.
@chatgpt21
Chris
3 days
McDonald’s just dropped a new AI ad and it’s beautiful and I am genuinely tired of people pretending this is not the future of media. If this played on your TV during a normal commercial break, you would be disingenuous to say “its slop” or “I could easily tell it is AI.” It is
2
5
55
@DvEpp
00
2 days
are these people TRYING to radicalize people into recognizing the evils of privatization? or are they just stupid? Just stupid… rosbifs gonna rosbif
0
0
0
@SizweLo
Sizwe SikaMusi
4 days
In case you’re still not clear what “neoliberalism” is
51
1K
2K
@redmischa
mischa ☭
4 days
“So what did freedom, in this case, mean? Freedom from trade unions and collective bargaining means freedom for bosses to suppress wages. Freedom from regulation means the freedom to exploit and endanger workers, to poison rivers, to adulterate food, to design exotic financial
@LPNational
Libertarian Party
6 days
1
8
48
@DvEpp
00
3 days
these provincial bumpkins at the Manhattan Institute… that's a zhongshan suit, which was iconic for Chinese Nationalists before they allowed Taiwan & their souls to be colonized by the Americans in exchange for USN protection hilarious to call Piker a "psychopath," too
@Jesse_Leg
Jesse Arm
4 days
A left-wing psychopath who cosplays as Mao Zedong is no different than a right-wing psychopath who cosplays as Adolf Hitler. Both are indulging the same fetish for mass murder and evil—edgelording for clicks.
0
0
0
@DvEpp
00
3 days
Fordism is dead… https://t.co/C1JweoePZ7
@jades_mommie
Shame on the Goyim
4 days
@beaver_naughty Who is going to buy their products when no one has jobs?
0
0
0
@DvEpp
00
3 days
red lining means that traditional lenders will not give out mortgages in "specific" neighborhoods that's what forced the people to sell the property using "creative" arrangements like land sale contracts see the same thing happening with virtual commodities
@Chris490360
Chris
4 days
Listen as he breaks down how a lot of our people were conned
0
0
0
@ReaperCapital
☠️ Reaper ☠️ Capital ☠️
4 days
@mollyfleck Wait til you discover Wisconsin
6
3
192