David Stahl
@DoctorStahl
Followers
979
Following
2K
Media
137
Statuses
1K
Father, husband, intensivist, obstetric anesthesiologist, tweets do not represent any organization and aren’t medical advise or endorsements #MedEd
Menlo Park, CA
Joined March 2011
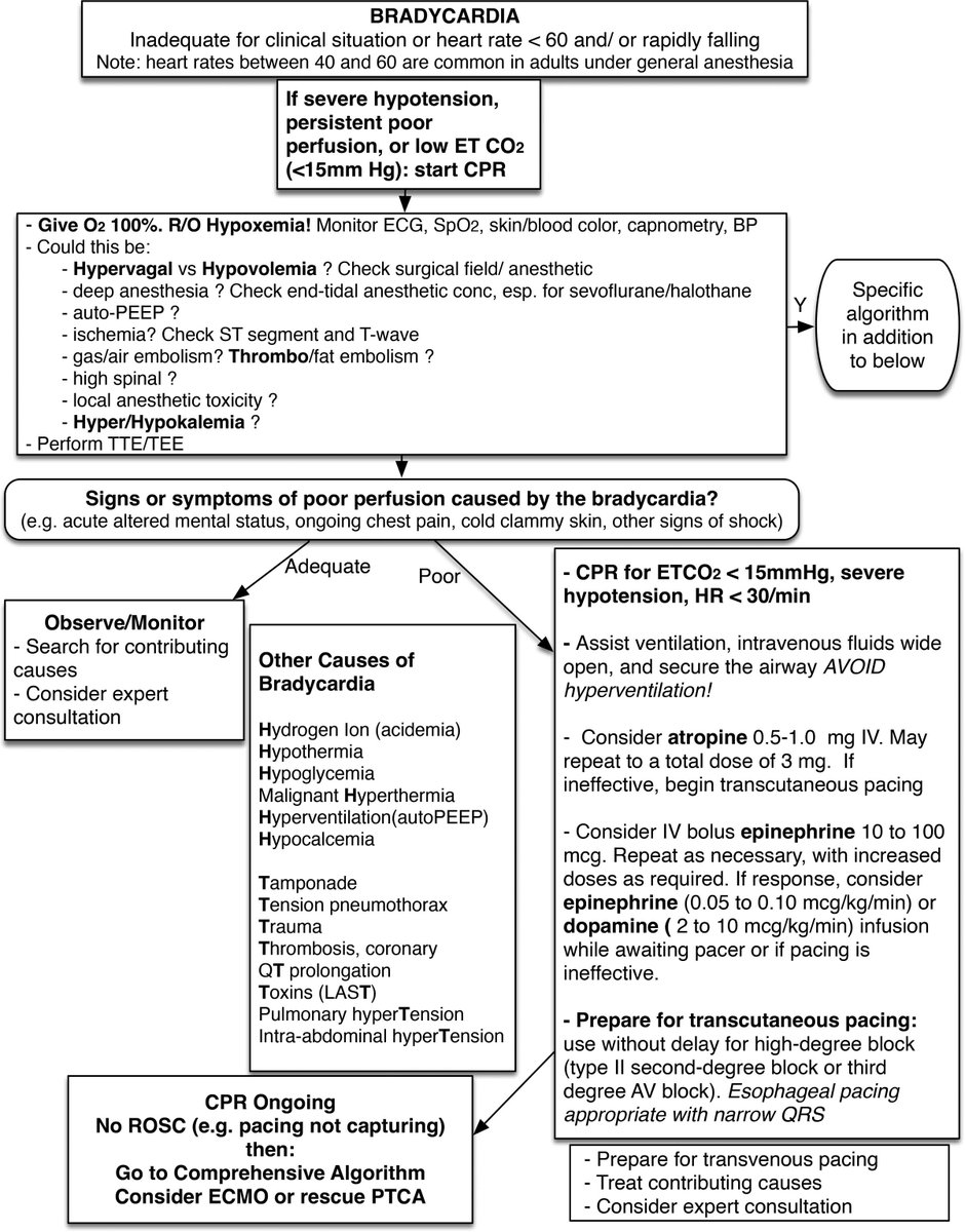
A new iteration of Perioperative Resuscitation and Life Support (PeRLS) provides an overview of the most recent evidence to manage and prevent periprocedural cardiac arrest. Read the new special article by Moitra et al.: https://t.co/EDmyj59qyd
0
38
99
Want to learn more about the Society for Education in Anesthesia? #SEA25Fall @SEAnesHQ Check out @accracpodcast
https://t.co/H33vdZ35yU
accrac.com
In this 312th episode I welcome Drs. Franklin Cladis, Meredith Kingeter and Bridget Marroquin to the show to discuss the Society for Education in Anesthesia (SEA). We discuss how it has been an imp…
3
1
5
0
0
4
Honored to co-chair the #SEA25Fall meeting of @SEAnesHQ with @ChristineVoMD @OUAnesResidency @stanfordanes @ASALifeline
6
6
12
🔦Signal utilization by anesthesiology applicants has a significant impact on interview and match outcomes, and these data can inform applicants and mentors as they approach future application cycles. #MedEd
https://t.co/tXuyFCmYKG
1
2
10
So proud of my amazing and brilliant wife @kbixelMD @Stanford @StanfordOBGYN @StanfordHealth
https://t.co/ysuqSD3T4V
nejm.org
Cervical cancer remains a global health problem, with more than 600,000 new cases and more than 340,000 deaths estimated annually.1 Radical hysterectomy with pelvic lymphadenectomy has remained the...
0
0
8
There is so much that could be said about Dr. Crawford’s impact on global health and education of anesthesiology and critical care, but I will simply say that patients around the world receive better care because of her work.
0
0
1
Huge congratulations to our own @stanfordanes @Stanford Ana Maria Crawford for winning @ASALifeline Nicholas M. Greene Humanitarian Award!!
1
3
11
The republican party is in charge of the presidency, the house, and the senate. This shutdown will directly put your health as an American at risk.
1
0
5
Discussing leaving @OhioStateMed to start as division chief of critical care @stanfordanes @Stanford and what it is like to be a former program director!@FutureAnesRes #ERAS2026
https://t.co/DvSLwO2HnR
1
0
5
To all my amazing education friends. Please reach out if interested!!
📢 We’re hiring! Stanford Anesthesiology seeks a Vice Chair for Education to lead our residency, fellowship, and continuing education programs. Join us in shaping the future of anesthesiology training. Apply today: https://t.co/KTmegodsjp
0
1
5
https://t.co/E6QYm3yX2s
@stanfordanes seeking a new vice chair for education!
0
0
4
Honored to get to work with two CA3s on their last day @stanfordanes such a cool milestone to send them off as future colleagues!
0
2
19
Anyone who thinks MAHA is the way should read this… https://t.co/ABS6qK9sDl
nytimes.com
I believe in medical science, but when my husband had cancer, I found myself trying to cure him with holy water and MAHA-like remedies.
0
1
7
Today they have crossed a deep red line. We, the people, must hold the president and his appointees accountable for this outrageous abuse against American liberty.
9K
18K
82K
The end of democracy - the assault of a democratically elected senator https://t.co/ubW8yvy2ua
nytimes.com
Senator Alex Padilla, Democrat of California, was forced to the floor, handcuffed and removed by federal agents after interrupting a news conference by the homeland security secretary Kristi Noem on...
0
1
4
New research from Stanford’s Dr. Ron Pearl shows that the medicine used to sedate patients during emergency breathing tube placement can affect their health outcomes. https://t.co/TkPkvSvcEw
1
11
30