
Carissa Chu
@CChuMD
Followers
1K
Following
7K
Media
242
Statuses
2K
Assistant Professor @UCSFUrology | Alumna @UrologyMSK @UCSFMedicine @UCSanDiego | Views my own
SF
Joined November 2008
Excited to see our paper in print @EUplatinum: https://t.co/9G6F1Q2Q5y Clinical Outcomes, Genomic Heterogeneity, and Therapeutic Considerations Across Histologic Subtypes of Urothelial Carcinoma
europeanurology.com
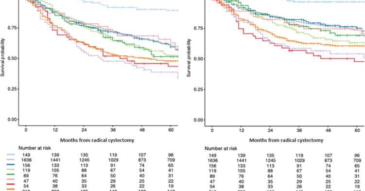
Our study reveals that urothelial carcinoma with aberrant histology (UCAH) is associated with poorer cancer-specific survival in comparison to pure urothelial histology. These subtypes exhibit...
4
21
90
Marshall talks about joy in collaboration throughout his career starting with the development of the Stoller Afferent Nerve Stimulator aka PTNS @UCSFUrology Grand Rounds
0
1
8
In a trial of men with suspected prostate cancer, biparametric MRI, which excludes the gadolinium contrast sequence, was noninferior to multiparametric MRI for detecting clinically significant cases. š§µ https://t.co/t4f6t0k1uF
4
39
63
Thanks to @UCSFCancer for covering our study which showed that a PPARg agonist rosiglitazone (an old diabetes drug) can modulate NECTIN4 & enhance activity of a new CAR T in #bladdercancer @CChuMD @koshkin85 @DrTFriedlander @SimaPorten @UCSFUrology
ucsf.edu
Urothelial carcinoma (UC) is the second most common genitourinary cancer, leading to over 16,000 deaths a year in the U.S. Despite recent advances, the five-year survival rate for metastatic UC...
0
3
9
Research funded in part by BCAN with @jonchou05 in @NatureComms : Modulating the PPARγ pathway upregulates NECTIN4 and enhances chimeric antigen receptor (CAR) T cell therapy in bladder cancer. Click here to read the article:
nature.com
Nature Communications - Enfortumab vedotin (EV) is the current standard treatment for advanced bladder cancer, but resistance typically develops within a year, highlighting the need for new...
2
9
22
Intravesical Gemcitabine via TAR200 for BCG - unresponsive NMIBC with CIS +/- papillary tumors is FDA approved. It joins a number of other agents with a spectrum of MOAs. With data generated from single arm trials there is not a clear winner.
6
57
147
Alliance researcher @eugene_pietzak @MSKCancerCenter leads @ALLIANCE_org A032303/GAIN-BCG, a trial evaluating a two-step treatment approach for pts w/BCG-unresponsive nonāmuscle-invasive #bladdercancerome. Learn more: https://t.co/mjpt3I0t2n
#NCI #NCTN #CancerResearch #NMIBC
0
11
40
Palliative care is about more than end-of-life - itās about quality of life. Drs. Pauline Filippou & Ashwin Kotwal join @GMBadalato & @lindsayahampson to discuss why palliative care belongs in urology & how to integrate it into everyday practice #URO249
https://t.co/tDPPjMFgZK
0
5
13
šØNew in @EUPlatinum! š PSMA PET for Prostate Cancer Diagnosis & Staging by @elio_mazzone et al š§ This comprehensive meta-analysis confirms the high diagnostic value of PSMA PETāespecially when combined with MRIābut reminds us itās not enough to skip biopsy or lymph node
1
25
67
Congratulations to @arihakimi who was chosen unanimously by the class of 2025 Urologic Oncology Fellows as Teacher of the Year. Well deserved! @MTDawidek @MariaPereMD @sunny_nal @therealUroJET @UroMuneeb
4
9
107
New review on urothelial carcinoma highlights therapeutic & diagnostic approaches in the perioperative setting, emphasizing patientācentered & individualized care. https://t.co/UmeZIAumxa
@WesleyYipMD @SalvadorjcMD @KothariAnjaney @domesypantsx3 @AnneSchuckmanMD @DrRosenbergMSK
1
17
50
Thanks for welcoming the second generation Feng to ASCO! Whatās your #ASCO25 happy dance? @DrChoueiri @nlinmd @DrKarenKnudsen @DrPaulNguyen @APDicker @EdwinPosadasMD @DrKatePedersen @JoshLangMD @PamelaKunzMD @fumikochino
5
8
93
Now published in @JUrology by @UrologyMSK Sherri Donat, @eugene_pietzak, @EKChaMD, @bca_md, @bbmdmsk, @alvincgoh et al: Perioperative Complications and Omission of Ureteral Stents During Robot-Assisted Radical Cystectomy With Intracorporeal Ileal Conduit https://t.co/99NG8kKA1B
auajournals.org
Purpose:Ureteral stents are commonly placed intraoperatively during radical cystectomy, although their efficacy in reducing complications is unproven. We compared clinical outcomes among patients...
0
6
19
@JoeBiden @SocialSecurity @theNCI @CNN @lkayat @jeshoag @MUSICUrology @jimhumd @TylerSbrt 12/12 Summary, men >70yo absolutely can benefit from personalized screening. A) Comorbidities/life expectancy should be estimated B) PSA should be used to guide screening based on A C) MRI should be used based on A and B D) Biopsy should be used based on A-C -Observation or PSA
3
4
17
Excited to share our latest work, now out in European Urology! We followed >166k prostate cancer survivors (1999ā2019) using SEER-Medicare. RP+EBRT had the highest risk of urinary adverse events. EBRT surpassed RP at 10 yrs (with BT) & 14 yrs (alone). https://t.co/GyqW2GmAWl
6
19
80
UCSF BCAN community really showed up for our walk this year, babies and 4 legged friends alike, to support our patients with bladder CA and raising $40k for research. No one walks alone š§”@bcan_chisolm @UCSFCancer @UCSFUrology
@SimaPorten @jonchou05 @koshkin85 @SamWashUro
0
4
17
Revolutionizing #ProstateCancer care! @CChuMD @UCSFUrology presents on the crucial role of PSMA PET in surgical planning & post-op management, highlighting preoperative staging, intraoperative guidance with PSMA-conjugated fluorophore IS-002, and biochemical recurrence
0
5
19
My favorite GR - graduating chief residents discuss their projects from their research year
Join us for our upcoming Grand Rounds with presentations from the Chief Residents, Dr. Balakrishnan, Dr. Fernandez, and Dr. Nik-Ahd! šļø Wednesday, May 14, 2025 ā° 7:00am- 8:00am PDT š» Learn more and register for zoom webinar: https://t.co/w3pZrmgVJ3
0
0
3
1/2 POTOMAC is the last of the 15 PD(L)1 monotherapy IO R3 trials over 10yrs & >8000 pts in bladder cancer. The summary shows 1)clearer activity in earlier disease 2)the biomaker failing 3)PD-L1 & PD1 targeting having equal success 4)An unidentified subset respond in all settings
4
40
93
A menteeās success is 100x better than your own. Congratulations @IlanoArielle on her Deanās Prize for work with @UCSFUrology, as well as upcoming graduation from @UCSFMedicine, and match with @UCSFAnesthesia. šš @ben_breyer @AShindelGHI @lindsayahampson @pcarroll_
2
2
33