Alyssa Labonte Profile
Alyssa Labonte

@AlyssaKLabonte

Followers
20
Following
7
Media
3
Statuses
7

Neuroscience PhD candidate at Washington University in St. Louis School of Medicine

St Louis, MO
Joined August 2023
Don't wanna be here? Send us removal request.
@AlyssaKLabonte
Alyssa Labonte
2 years
BIG thanks to our collaborators on this project! @ChadMSylvester @gordonneuro @DrDamienFair @hashtagAshleyN @gothemind @rogers_ce
0
2
4
@AlyssaKLabonte
Alyssa Labonte
2 years
We also assigned functional network identities to each parcel using the Infomap algorithm, providing key insights into functional organization of the brain at birth.
1
3
2
@AlyssaKLabonte
Alyssa Labonte
2 years
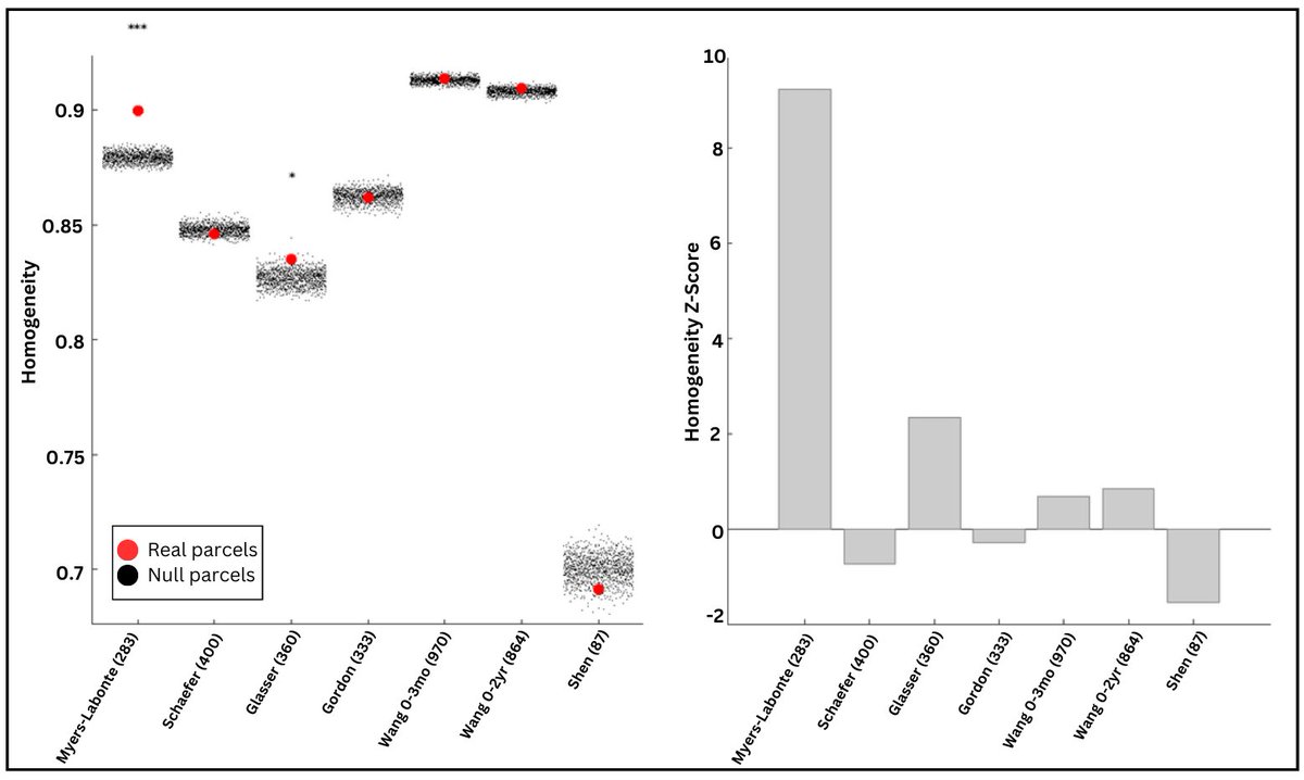
Our cortical surface parcels showed high reproducibility in the held-out half of our neonatal sample and high validity in 3 external neonatal datasets, while publicly available adult parcels in these same neonatal datasets showed poor fit.
1
1
0
@AlyssaKLabonte
Alyssa Labonte
2 years
Publicly available adult parcellations don’t work with neonatal FC data, thus we generated an age-specific surface parcellation of the neonatal brain based on abrupt changes in FC.
1
1
0
@AlyssaKLabonte
Alyssa Labonte
2 years
We’ve parcellated the neonatal cortical surface based on abrupt changes in functional connectivity, resulting in a set of 283 highly homogenous cortical surface parcels in a sample of n=261 neonates. Preprint now available! https://t.co/2kTbB4tslY
Tweet card summary image
biorxiv.org
The cerebral cortex is organized into distinct but interconnected cortical areas, which can be defined by abrupt differences in patterns of resting state functional connectivity (FC) across the...
1
12
20
@YSPwustl
The Young Scientist Program @ WUSTL
2 years
New from @YSPwustl! Strong writing & presentation skills are crucial for successful STEM careers, but often not formally taught Here’s how we introduce these skills to high school students during their first exposure to science research, setting the foundation for success! 👇
@APSPublications
APS Publications
2 years
New in @AdvPhysiolEduc from @UMich & @WUSTL: Evaluation of an 8-week high school #sciencecommunication course designed to read, write, and present scientific research (@radykm et al.) https://t.co/541ti5665k #HighSchool #WritingSkills #PresentationSkills #ArticlesinPress
1
5
10