Agathe4B Profile Banner
agatheburet Profile
agatheburet

@Agathe4B

Followers
8
Following
170
Media
0
Statuses
11

Developing into a lifelong self-learner through voracious reading; cultivating curiosity and striving to become a little wiser every day. Team @HelloTokenio ⛏

Joined January 2023
Don't wanna be here? Send us removal request.
@QtvAltrntv
Quantitative Alternatives
3 years
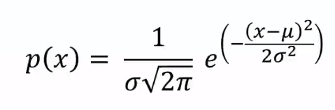
🚨 THREAD 🚨 👋 Salut les amis ! Aujourd’hui, je vous parle de la loi normale et de ses applications en finance. C’est l’épisode 3 de ma série et ça faisait longtemps que je n’avais pas posté. 😅
4
11
85
@QtvAltrntv
Quantitative Alternatives
3 years
🚨 THREAD 🚨 Suite au vote ( très serré soit dit en passant ), vous avez choisi le thread sur le Private Equity. C'est un secteur très prisé par les étudiants en finance comme moi. Mais qu’est-ce que le private equity et pourquoi est-ce si attractif ? 🤔 👇👇
7
16
91
@vs_traders
Richard Garnier
3 years
Culture Quizz ! Vous avez 5 jours pour obtenir 1 000 € Vous n'avez pas le droit de : - Demander (famille, banque, autres) - Piocher dans votre épargne - Vendre un truc perso (ordi, télé , autre) - Faire une activité illégale Comment feriez-vous pour gagner cette somme ?
60
4
26
@frederikRiedel
Frederik Riedel 🐻‍❄️
3 years
J’ai créé cette application en 2020 pendant le confinement pour réduire mon usage d’Instagram et des sites d’actualités. Grâce à elle, j’ai diminuer mon temps d’écran de 44% ! Du coup, je l'ai publiée sur l'AppStore ! https://t.co/uy0DECDNH2
168
748
10K
@JordanMontel_
Jordan Montel | Bours'UP 📊
3 years
🎁 Tableau calcul valeur intrinsèque Voici mon petit outil perso pour avoir une idée de la valeur intrinsèque d'une action en bourse Bonus : analyse fondamentale suivant tes critères 📊 🔁 RT + un commentaire pour le recevoir 🤗 💡 Pense à follow pour que je l'envoie en DM 😉
1K
917
578
@Lelapinmignon
Lapin Mignon 🐝
3 years
AI & cryptoart are revolutionizing the art world, but with great power comes great responsibility. As we navigate the uncharted territory of these techs, we must ensure ethical and transparent practices to safeguard the integrity of art and its creators.
1
6
14
@Crypto__Goku
Goku 🗞
3 years
#OpenSea introduit un mécanisme de "période de rétention de 3 heures" pour atténuer le risque lié au vol. Ce mécanisme, utilisant #DelegateCash, oblige les vendeurs à ne pas accepter les offres sur certains articles pendant 3 heures après certains transferts et ventes.
3
8
25
@hellotokenio
HELLOTOKEN ᵍᵐ
3 years
GM Twitter 👋 Aujourd'hui, on vous présente @faerian_art, un projet 100% dédié à la #Fantasy sous toutes ses formes : art visuel, littérature, jeux etc. Les #NFT, par leur capacité à fédérer, sont un outil puissant pour un style populaire 🐲🧚‍♀️ https://t.co/jecSyMlnFv
1
3
7
@romain_wims
Romain Wims
3 years
Des matières qui devraient être enseignées à l'école: - La Vente - La Fiscalité - La Nutrition - Le Marketing - La Persuasion - Le Leadership - La Psychologie - La Productivité - L'Investissement - La Gestion du temps - Les finances personnelles Est-ce que j'en ai oublié ?
622
780
4K
@Snowden
Edward Snowden
3 years
3K
35K
151K
@hellotokenio
HELLOTOKEN ᵍᵐ
3 years
GM Twitter 👋 Que diriez-vous d'un réseau social incensurable, bots-free, reposant sur un protocole décentralisé, sécurisé par cryptographie et open-source ? Notre rédactrice @Agathe4B vous présente #Nostr, projet qui a reçu 12 BTC de @jack 👀 https://t.co/9ALT66LR3b
1
1
7