aeowinpact Profile Banner
AEOW/INPACT Profile
AEOW/INPACT

@aeowinpact

Followers
25K
Following
2K
Media
1K
Statuses
8K

INPACT, investigations with impact hybrid warfare, proliferation and sanction circumvention | project All Eyes On Wagner on #Wagner mercenaries & legacy

Switzerland
Joined March 2022
Don't wanna be here? Send us removal request.
@aeowinpact
AEOW/INPACT
2 years
Il est maintenant possible de soutenir notre travail/ It is now possible to support our work:
@aeowinpact
AEOW/INPACT
2 years
As 2023 is coming to a close we want to thank all the people, individuals, media partners, organisations that have helped us throughout this year. Special thanks to @blue_leaks whose work of collecting leaks and making them available is key. Support them as they need funding.
7
11
45
@EliasuAlhaji
Alhaji Gbangbanku
4 hours
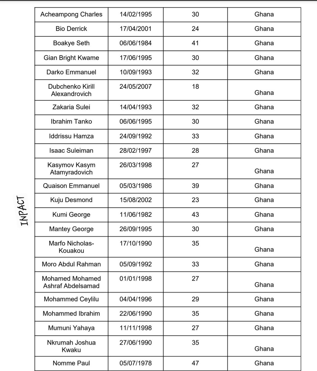
🇬🇭đŸ‡șđŸ‡ŠđŸ‡·đŸ‡șFull list of Ghanaian merceneries in Russia killed in the ongoing war in Ukraine. @aeowinpact
@EliasuAlhaji
Alhaji Gbangbanku
22 hours
A recent report reveals that fifty-five (55) Ghanaian🇬🇭 nationals who joined the RussianđŸ‡·đŸ‡șArmy have lost their lives in the ongoing war in UkraineđŸ‡ș🇩, marking the second-highest foreign casualty figure after Cameroon🇹đŸ‡Č, which has recorded 94 deaths.
31
88
240
@exit266
exit266
5 hours
Very few groups have the language skills, source connections and cultural understanding of all of the countries involved to be able to complete a report like this. It takes and immense amount of time and dedication. Take some time to give it a read. âŹ‡ïž
@aeowinpact
AEOW/INPACT
1 day
The Business of Despair - INPACT has received lists of African nationals enrolled in the Russian army as well as African KIA on the battlefield. Today we release a report investigating these lists but also deep diving into recruitment networks. We have obtained exclusive
0
1
7
@lukOlejnik
Lukasz Olejnik
6 hours
Russia blocked WhatsApp, YouTube, Facebook, Instagram, and ~13 other services. Technically domains were removed from the National DNS (NSDI) a state-controlled domain name system that all Russian ISPs are required to use. This makes internet services unresolvable, effectively
22
149
320
@France24_fr
FRANCE 24 Français
17 hours
đŸȘ– Le #Kenya 🇰đŸ‡Ș dĂ©nonce une situation "inacceptable" alors que certains de ses ressortissants, visant des emplois civils en #Russie đŸ‡·đŸ‡ș, sont finalement enrĂŽlĂ©s dans l'armĂ©e russe. All Eyes On Wagner a recensĂ© 1 417 combattants, de 35 pays africains, enrĂŽlĂ©s par l'armĂ©e russe
7
26
75
@EliasuAlhaji
Alhaji Gbangbanku
22 hours
A recent report reveals that fifty-five (55) Ghanaian🇬🇭 nationals who joined the RussianđŸ‡·đŸ‡șArmy have lost their lives in the ongoing war in UkraineđŸ‡ș🇩, marking the second-highest foreign casualty figure after Cameroon🇹đŸ‡Č, which has recorded 94 deaths.
61
238
1K
@PhilipObaji
Philip Obaji Jr.
19 hours
Russia is sending intelligence officers and diplomats banned from Europe to Africa, according to findings by Estonian intelligence  https://t.co/QtfSOQJ9it
5
218
474
@aeowinpact
AEOW/INPACT
20 hours
Seems like the Russian authorities do not like our report and one click visa has registered a new website on the day we submitted our questions to them. New website - likely linked to FSB for recruitment - is
oneclickvisa-app.pro
OneClickVisa - your journey starts in one click!
0
1
6
@aeowinpact
AEOW/INPACT
21 hours
Andrey Podyelyshev, the Russian Ambassador to Nigeria has requested that anybody competent with good information comes to the @mfa_russia regarding the Russian recruitment of African . Can you help us get the memo on their table 😁 ? Cc @RusEmbNigeria https://t.co/drJnwJSTRS
Tweet card summary image
alleyesonwagner.org
Singular Stories Their names are Serge, Nabil, Samuel, and Eric, and they come from different countries on the African continent. What they have in common is they fight as foreign soldiers in the R

1
4
19
@sentdefender
OSINTdefender
22 hours
An investigative report by @aeowinpact found over 1,400 African fighters have been recruited by fake travel agencies and groups operated by Russia’s Federal Security Service (FSB) to fight in Ukraine, with 300+ of these fighters being killed on the battlefield in Eastern Ukraine.
@casusbellii
Casus Belli
23 hours
Travel agencies acting as proxies for the FSB, influencers hired to reach African audiences to facilitate recruitment, soldiers missing in action on the front lines in Ukraine... @aeowinpact has released an exclusive investigative report with a list of 1,400+ African fighters
26
81
441
@casusbellii
Casus Belli
23 hours
Travel agencies acting as proxies for the FSB, influencers hired to reach African audiences to facilitate recruitment, soldiers missing in action on the front lines in Ukraine... @aeowinpact has released an exclusive investigative report with a list of 1,400+ African fighters
1
17
56
@BBCSteveR
Steve Rosenberg
1 day
After the Russian authorities restrict access to messaging app Telegram, one Russian MP calls the measure ’Defence of the information frontline...one of the components in the battle between Russia & Nato.’ The restriction widely reported in today’s Russian papers. #ReadingRussia
43
315
1K
@SahelAlerte
Sahel Alerte
1 day
Combattants africains pour la Russie: ces noms dĂ©voilĂ©s par All Eyes on Wagner @aeowinpact qui confirment l’ampleur du phĂ©nomĂšne https://t.co/5SDVbiqIR2
0
1
13
@fmazet
François Mazet
1 day
@aeowinpact #Ukraine #Afrique Ă  partir du travail de @aeowinpact @IFRI_ et des tĂ©moignages qui se multiplient sur @RFI et d’autres mĂ©dias on commence Ă  avoir un panorama des mĂ©thodes de recrutement et de l’ampleur des dĂ©parts de combattants pour le font. https://t.co/Cz4MyfAsTd
Tweet card summary image
rfi.fr
Dans « Le Business du dĂ©sespoir », le collectif d'investigation All Eyes On Wagner enquĂȘte sur les rĂ©seaux de recrutement de combattants africains pour l’invasion russe de l’Ukraine. Il publie pour...
0
1
2
@fmazet
François Mazet
1 day
Sur la chair Ă  canon en #Ukraine @aeowinpact a eu accĂšs Ă  une liste inĂ©dite de +1.400 contractuels africains dont +300 morts qui aidera peut ĂȘtre des familles Ă  savoir ce que sont devenus leurs fils/frĂšres/maris/frĂšres https://t.co/mx3sB7qsYK
Tweet card summary image
alleyesonwagner.org
Des histoires singuliĂšres Ils s’appellent Serge, Nabil, Samuel, Eric et viennent de tout le continent africain. Leur point commun: ils combattent comme soldats Ă©trangers dans l’armĂ©e russe. Certain

2
3
3
@fmazet
François Mazet
2 days
Grùce à une presse libre, les témoignages de recrues pour la chair à canon russe se multiplient au Kenya et en AfSud. Conséquence: les gvts des deux pays prennent le sujet au sérieux et affirment vouloir agir
@BBCWorld
BBC News (World)
2 days
Kenya to confront Russia over 'unacceptable' use of its nationals in combat
1
3
6
@aeowinpact
AEOW/INPACT
1 day
Merci Ă  @TimoVilars de nous avoir donnĂ© la parole - comment sait on que les ressortissants africains sont de la chair Ă  canon? Les quelques mois qui sĂ©parent la date de dĂ©but de leur contrat dans l’armĂ©e russe et l’enregistrement de leur mort. Parfois seulement un mois.
@TimoVilars
Timothée Vilars
1 day
đŸ‡·đŸ‡ș Des milliers d’Africains dans le piĂšge russe : "Leur espĂ©rance de vie sur le front ukrainien est de quelques mois" > AttirĂ©s par les sirĂšnes d’une vie meilleure en Russie, ces mercenaires malgrĂ© eux atterrissent dans l'abattoir du Donbass. @AEOWInpact
0
4
18
@aeowinpact
AEOW/INPACT
1 day
INPACT a obtenu la liste de 1 417 ressortissants africains enrÎlés comme combattants et de 316 Africains tués au combat. Leur espérance de vie est en moyenne de six mois aprÚs leur enrÎlement, et parfois d'à peine un mois.
1
3
16
@aeowinpact
AEOW/INPACT
1 day
INPACT has managed to obtain the list of 1417 African nationals enrolled as fighters and 316 African KIA. Their life expectancy is on averge 6 months as soon as they enroll with sometimes as low as 1 month to live
1
6
22