
World Journal of Urology
@wjurol
Followers
3K
Following
280
Media
350
Statuses
1K
World Journal of Urology is a @SpringerUrology Journal publishing the essential results of urological research and their practical and clinical relevance.
Heidelberg, Germany
Joined April 2016
ChatGPT and urological diseases: potential risks for patients. Original Article by Juliusz Jan Szczesniewski et al @jszc95
https://t.co/bWORCSXY5q, two comments also available!
2
2
10
Martínez-Quintana and Rodríguez-González found that Crystalluria was similar in congenital heart disease patients and controls having no impact on cardiac events.
link.springer.com
World Journal of Urology - Crystalluria is a frequent finding in normal individuals and in patients suffering from urolithiasis. As nephrolithiasis has been associated with cardiovascular risk...
1
0
3
Analysis of > 550 prostate fusion biopsies stressing the value of systematic biopsies in inexpert hands. Free to read here: https://t.co/hqaGPegD81
#OpenAccess
link.springer.com
World Journal of Urology - To determine the role of biopsy experience regarding a potential benefit of additional systematic biopsies and fusion failures during MRI-targeted biopsy of the prostate....
0
1
4
On-treatment risk model based on CRP kinetics and TRAEs could optimize the therapy monitoring in aRCC. Free to read here: https://t.co/SPddhNj9QL
#OpenAccess Already 982 access in 6 weeks after publication. @Drmelisguer
1
2
11
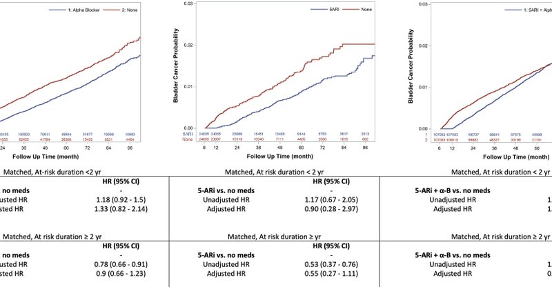
In the US, #5-ARi w/o #α-B for #BPH did not prove #chemoprotection from incident https://t.co/jh5P8FZ5UB
#BCa @f_delgiuduice; @DrMEisenberg; @SapienzaUrology; @StanfordUrology; @UroWeb; @EAU_YAUUrotheli #OpenAccess
link.springer.com
World Journal of Urology - Chemoprotective effect of 5-alpha reductase inhibitors (5-ARi) on bladder cancer (BCa) risk in men with Benign Prostatic Hyperplasia (BPH) has been explored with...
0
0
2
This great article is part of the collection "10 years ERBT" which can be found here: https://t.co/Ec1Fg0PE9h
@jteoh_hk
What a great pleasure to have a prestigious panel of authors and pioneers in the field, to contribute this important paper to @wjurol, about the history and development as well as the future directions of en bloc resection of bladder tumour. #EBRT #UroSoMe (1/n)
0
2
9
As part of the September issue: Kozan et al are delighted to share their novel introductory curriculum into female, neurological and urodynamic urology https://t.co/UHRD1S4wse
@AndyKozan Complete issue to be found here: https://t.co/kNvVlZZ3wq
#SpringerNature
link.springer.com
World Journal of Urology - To present the seven-year experience of a multi-component and interactive module on female, neurological and urodynamic urology (FNUU) training at the UK National Urology...
0
0
6
Repeat-MDT by #RGS for oligo-recurrent #PCa in #PSMA-PET was safe and provided meaningful BCR-free intervals. https://t.co/XKSKmqDhOC
#OpenAccess @MartiniKlinik @UKEHamburg @TU_Muenchen
0
0
1
Digitalization of cytology & IA to improve NMIBC diagnosis: results of VisioCyt1 clinical trial https://t.co/Gkz2vCLpcZ
#OpenAccess @MRoupret @Th_Lebret
link.springer.com
World Journal of Urology - Cytology and cystoscopy, the current gold standard for diagnosing urothelial carcinomas, have limits: cytology has high interobserver variability with moderate or not...
0
1
3
This study of 395 patients highlights the importance of nerve-sparing surgery when creating an ileal neobladder. https://t.co/tlfRywgekC
#SpringerNature
0
0
1
Prospective follow-up of patients after RAPN shows limited late morbidity and good long-term functional and oncological results (UroCCR n°10) https://t.co/s9u8CHArpo
@GaelleMargue @uroccr #SpringerNature
1
1
4
A scoping review of advancements in office-based prostatic stents for benign prostatic hyperplasia has been published recently https://t.co/wqofAOF8SY
#SpringerNature
1
1
7
InitiInitial experience using pulsed-Tm:YAG from Dornier during RIRS: first 25 cases @OTRAXER @fpanthier
https://t.co/VBtvrRjr1w
0
0
19
New article out: Combined microultrasound and mpMRI guided targeted biopsies could avoid systematic biopsies in PI-RADS 5 patients
0
2
4
Presence of cribriform pattern in prostate biopsies is not an independent risk factor for lymph node or distant metastatic disease, as visualized on the PSMA PET/CT. https://t.co/ebDELhq34h
0
0
0
Goncagül AKDAĞ et al found: “There was DFS difference between the patients in the adjuvant treatment and AS group in case of lymphovascular invasion” https://t.co/QyvrsydRf7
#SpringerNature
0
1
12
MVAC with high certainty is the best NAC regime in patients under RC regarding OS and PFS. GC in RC and MCV in TMT were found to be the best second options after MVAC. Cisplatin alone and cisplatin/methotrexate should not be recommended more. https://t.co/o9lJia3kDe
#OpenAccess
link.springer.com
World Journal of Urology - The present systematic review and network meta-analysis (NMA) compared the current different neoadjuvant chemotherapy (NAC) regimes for bladder cancer patients to rank...
1
3
6
This article develops a 3D renal tumor nephrometry (ADDD) based on statistical analysis and key surgical steps.
0
1
1
Endoscopic enucleation of the prostate with Holmium laser (HoLEP) has been considered a first-line option for the treatment of large adenomas. We studied factors related to lower PSA reduction after HoLEP. https://t.co/iGTfFBTspi
@AntunesAzoubel
2
4
14