
Africa-Canada AI & Data Innovation Consortium
@theACADIC
Followers
575
Following
1K
Media
259
Statuses
1K
Our aim is to mobilize AI to build equitable, resilient governance strategies & increase societal preparedness for future global pandemics and climate disaster
Toronto, Canada
Joined December 2020
📢 New Publication Alert! Please find below our latest publication: 📝 Title: Understanding cholera dynamics in African countries with persistent outbreaks: a mathematical modeling approach Link: https://t.co/1IkHRL0Gxg Thanks to @NSERC_CRSNG for supporting this work!
0
1
3
📢 Pleins feux sur les conférenciers | #CCGH2025 Nous sommes ravis d'accueillir le professeur Tobi Kollmann (@DalhousieU) et le Dr Jude Kong (@UofT) à la séance plénière « Innovation pour l'équité». 👉 Inscription : https://t.co/k3U8zenwNW
#SantéMondiale #Canada
0
4
4
📢 Speaker Spotlight | #CCGH2025 Excited to welcome Prof. Tobi Kollmann (@DalhousieU) & Dr. Jude Kong (@UofT) to plenary “Innovation for Equity: Whose Solutions, Whose Impact?” 📅 Oct 24–28 | Halifax + Online 👉 Register: https://t.co/k3U8zenwNW
#GlobalHealth #PublicHealth
0
4
4
ACADIC and partners are heading to Kigali! 🇷🇼 We’re excited to share that ACADIC and our partners will be at the @AfricaHTSummit happening October 13–15 in Kigali, Rwanda. We look forward to engaging with leaders, innovators, and changemakers. See you in Kigali!
0
0
0
Had a wonderful exchange today with the DrPH program students at @UofT_dlsph We reflected on Prof. Hinton’s recent revelation that the only way humanity may survive the rise of superintelligent AI is by instilling “maternal instincts” into the technology.
0
3
6
🌍 AI4PEP au #UNGA80 Nous avons montré comment le Sud Global prend les devants en matière d’IA pour l’équité en santé et l’innovation climatique intelligente. 🙌 Merci à nos incroyables intervenants et participant·es! @IDRC_CRDI @FCDOGovUK @ScienceUnga @UN @csinha @dzevela
0
2
3
📢 New publication alert! Excited to share our publication: "A Systematic Review of Mathematical & Machine Learning Models of Avian Influenza" Link: https://t.co/ll3woJVTXt Grateful to @NSERC_CRSNG for the support!
0
0
0
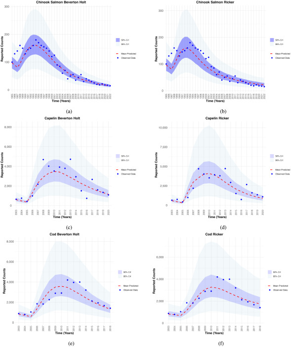
We are excited to share our latest publication in Ecological Modelling: Title: A mechanistic stage-structured model for estimating maturation, mortality, and recruitment parameters of three economically significant fish species in Canadian waters link: https://t.co/OlpSf08rUB
0
0
0
📢 New preprint: Using LLMs for Avian Influenza surveillance & outbreak response. Gemini 1.5 Pro topped accuracy (91%). Grateful to NSERC 🙏 Grateful to @NSERC_CRSNG making this work possible! Link: https://t.co/dnZpUAn5GD
0
0
0
🚨 New in @ConversationCA: Battling deepfakes: How AI threatens democracy and what we can do about it From fake Biden robocalls to AI-generated endorsements, disinformation is here — and 🇨🇦 isn’t immune. Read more 👉 https://t.co/DINN16uKSC
theconversation.com
Open-source generative AI tools and certain apps put audio and video manipulation in the hands of anyone with a laptop. Here’s why that poses such a dire threat to democracy.
0
0
0
📢 AI4PEP Exec. Director Prof. Jude Kong is speaking at #MaModAfrica2025 in Mombasa 🇰🇪! 🗣️ Talk: “Mathematical Epidemiology Training in Africa: State of the Art” Strengthening African-led modelling for #MalariaElimination 🦟 Let’s connect if you’re around!
0
0
1
Our Executive Director @dzevela is representing us at the #MaModAfrica Symposium 2025 at PrideInn Paradise Beach Resort & Spa, Mombasa 🇰🇪 — connecting with NMCPs, researchers & students to advance malaria modelling in Africa. Stop by to catch up & explore collab with us!
0
0
0
😊 Our Director, Prof. @dzevela, has been spotlighted by @UofTNews News! The article traces his extraordinary journey—from growing up in Shiy, a small village in Cameroon to becoming a globally recognized leader in responsible AI for public health. 👉
utoronto.ca
At age 15 – a time when most teenagers are enjoying after-school activities and hanging out with their friends – Jude Kong was selling peanuts on the street in Cameroon. He grew up in a village...
0
0
0
📢Just out! Our new preprint builds a unified taxonomy of foresight methodologies across 16 dimensions. A must-read for anyone working in #FuturesThinking, #Governance, or #SystemsChange. 🔗 https://t.co/igaKqvRpMD
0
0
0
🚨 New Preprint! Mapping the Digital One Health/One Digital Health Paradigm We analyzed 60K+ papers to reveal how #OneHealth & #DigitalHealth are converging into a new frontier—#OneDigitalHealth—for global pandemic preparedness, AMR surveillance etc Link: https://t.co/CzWf9XWjuH
0
0
0
🇨🇦 Happy #CanadaDay! O Canada, our home and native land… and today, my personal dance floor! 🕺🏾🎉 No rest, 24/24 — gotta celebrate this amazing country in full swing. Join me! 🍁 #ProudlyCanadian #CanadaDay2025
2
2
15
🍁 Happy #CanadaDay from #ACADIC!🇨🇦 Celebrating Canada’s leadership in inclusive innovation, ethical AI & global collaboration. Grateful to our Canadian researchers & partners building data-driven solutions across Africa & beyond. #CanadaDay #InclusiveInnovation #CanadaAndAfrica
0
1
2
🍁 Bonne #FêteDuCanada de la part d’#ACADIC 🇨🇦 Nous saluons l’engagement du Canada pour une IA inclusive, éthique et collaborative à l’échelle mondiale. Merci à nos partenaires canadiens qui font avancer l’équité numérique. #FêteDuCanada #InnovationInclusive #CanadaAfrique
0
1
1
🚨 Bill C‑5 just passed—paving the way for a unified 🇨🇦 economy. But what about unified data? Our @ConversationCA piece argues: Federated Learning can break silos without centralizing data. Read: https://t.co/F8fg3h6n0p
0
0
0
Postdoctoral Opportunities– Open to National and International Scholars! 🌍🇨🇦 Value: $85,000 CDN/year in salary + $11,000 CDN/year for 2 years Requirements: https://t.co/AYN4NNE8ad Interested in joining ACADIC : send CV & esearch statement to: aimmlab.dlsph@utoronto.ca
0
0
0