studioforesta Profile Banner
森田良紀 Profile
森田良紀

@studioforesta

Followers
2K
Following
11K
Media
600
Statuses
9K

mix&rec engineer moumoon、他、音楽ライブや舞台の映像生配信・収録、録音、ミックス、編集業務を行っています。近年は国際会議や企業ウェビナー等も多数実績あり。 エンジニア業26年目 映像収録配信業16年目 お仕事の依頼などはDMで! blackmagic design のカメラに魅了されています。

東京都杉並区
Joined February 2010
Don't wanna be here? Send us removal request.
@studioforesta
森田良紀
4 days
元のと新しいの。。 2〜3年でこうも膨らむんですかねぇ…
0
0
2
@studioforesta
森田良紀
4 days
年内最後の買い物がコレ… インカムのM1用バッテリーx8個 お値段がswitch2買えるくらいなのが狂ってる… HOLLYLANDさん、、ちょっとバッテリーの劣化早すぎません? 3年くらいで膨らみ過ぎ そして気になったのは、、PSEマークの下に小さくシステムファイブって書いてあるとこ どゆこと?!
3
0
6
@studioforesta
森田良紀
5 days
40万となるとPYXIS6kと変わらんな…ファイルサイ���がちょっと運用するのに大変だけどグローバルシャッターがこの価格で買えるのは中々素敵だな。。 全部KOMODOで撮影したアレとか良かったよなぁ… しかしcfast2.0が手に入れるのが難しい昨今だとなぁ
@Yodobashi_Video
ヨドバシ@映像機材専門
5 days
/ RED KOMODO 6Kが 大幅値下げ❗️ \ RED Digital Cinema社の コンパクトシネマカメラが 大幅プライスダウンで お求めやすくなりました💁 ➡ https://t.co/HNncEJ8S32
1
0
2
@studioforesta
森田良紀
5 days
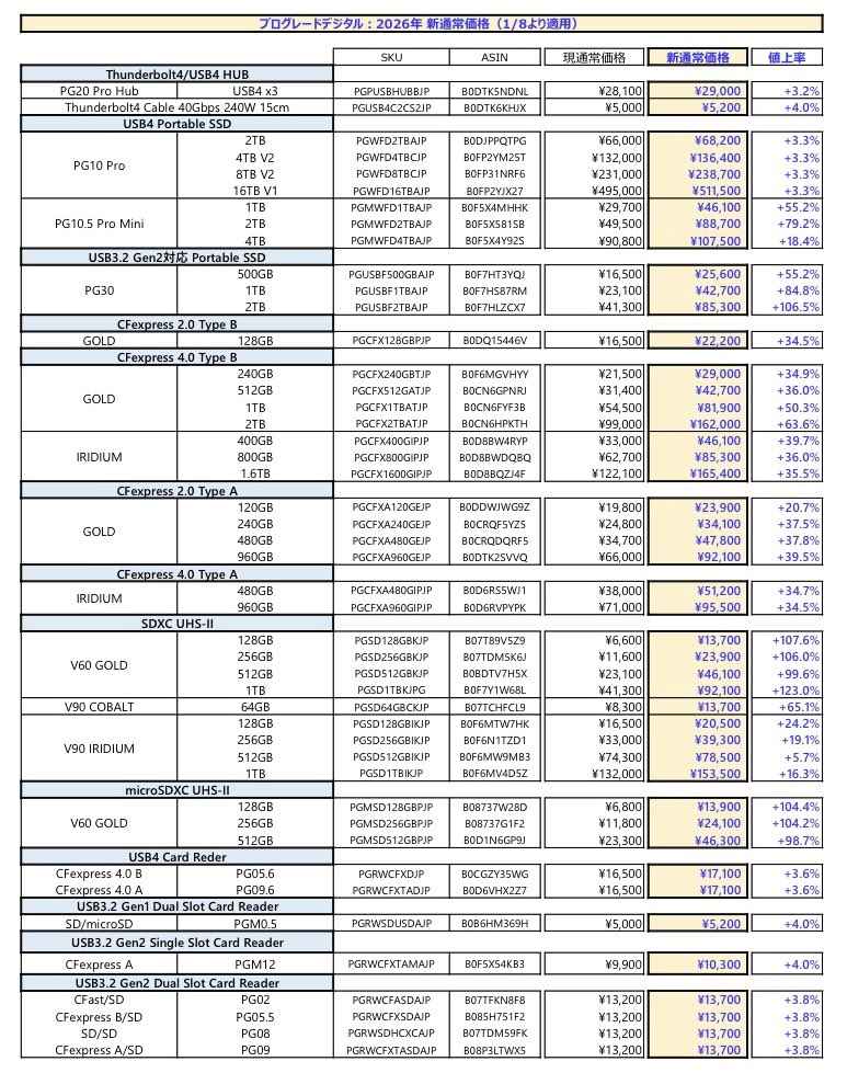
プログレードデジタルの値上げエグい… SDカードが+120%て、、 必要なメディアは年内に… これ他社もこのレベルで値��げしてくる可能性高そうだな…
0
1
7
@studioforesta
森田良紀
5 days
ペンシルマイク用ショックマウント オーディオテクニカ製なので作りが良い AKGの451とかSENNHEISERの416とかをマウントするのに使ってます。定番なのかな? https://t.co/wI7VXXgGkl #PR
Tweet card summary image
amazon.co.jp
グリップ径が15-25mmの各種マイクに適合。テーパード付きにも使えます。
0
0
1
@studioforesta
森田良紀
5 days
Triad-Orbit T3S Sがついてるのは下の足が少し短い仕様の為、狭い所でも置きやすい ライブ録音のマイクでもDrや鍵盤に仕込むカメラのスタンドととしてももはや定番になりつつある(大手技術会社もみんな使ってる) 足の高さを変えられるのでケーブルなど避けるのも容易 https://t.co/n0mh2ATJW9 #PR
Tweet card summary image
amazon.co.jp
TRIAD-ORBIT (トライアッドオービット) T3S【 場所をとらずに設置可能な短い脚部を採用 】 ロングストレートマイクスタンド ショートレッグ仕様
0
0
2
@studioforesta
森田良紀
5 days
ちなみに面倒じゃなければこのセットで上記の組み合わせになって何故か安いw 自分はこの組み合わせで買ってつかってます。 セイバークランプのみ https://t.co/jcJVSLLVUO Triad-Orbitアダプタのみ https://t.co/TV7yWu7NQV 落下防止ワイヤー https://t.co/BDNPlbRxeS #PR
Tweet card summary image
amazon.co.jp
材質:201ステンレスワイヤー + スチールスプリングフック。表面はなめらかで,防水性、耐久性、軽量。
0
0
1
@studioforesta
森田良紀
5 days
セイバークランプ+Triad-Orbitアダプタセット ライブ録音の時に手すりとか単管にクランプする時に活躍する。かなりがっしり止まるので安心感あり もちろん落下防止用のワイヤーは忘れずに。 あと付ける時は会場にも確認して、場所によっては薄いゴムシートを巻いてから https://t.co/9U5xOtYx2J #PR
Tweet card summary image
amazon.co.jp
Triad-Orbitの小型で超強力なクランプ。Triad-OrbitのSynergyシリーズI/O搭載ミニグリップクランプで、マイクスタンド、照明器具、その他の関連器具にアクセサリーを取り付けます。 この小さいながらも超強力なクランプには、最大1.2インチまで��くジョーがあり、最大66ポンドのギアを保持できます。 様々な奇妙な形状に対応できる山と谷で設計されたこのクランプは、1/4インチの...
1
0
3
@studioforesta
森田良紀
5 days
年内に買い物したい人向けオススメ物w SONY MDR-M1が安い! 先月買ってから現場のメインとして使ってるけど密閉感高めで現場が煩くても聞きやすいのと本体軽いのが長時間つけるのにとても良き 折りたたみが出来ないのが少し残念だけどそれ以外は不満ない◎ https://t.co/jQImp2JTdM #PR
Tweet card summary image
amazon.co.jp
・専用設計ドライバーユニットによる超広帯域再生 ・密閉型音響構造/ビートレスポンスコントロールによる音源が持つ情報の正確な再現。 ・クリエイターとの共創による制作者の意図を正確に再現した音質長時間使用が可能。 ・快適で安定した装着性
6
1
8
@studioforesta
森田良紀
6 days
ほぼ打ち合わせ無しのクリック確認な通しリハ1回参加で次が現地本番な画出し… 無事故無違反で終了‼️ 数曲とはいえ実質バンドと合わせてボタン押したの2回… 仕事納め、今年1番緊張したっ!! 良い復帰初ライブでした◎ #CDJ2526 #ROTOCONTROL
1
0
9
@studioforesta
森田良紀
6 days
CDJ2526のCOSMOステージ、音が全体的に良い感じがする。 どのアーティスト聴いても印象同じ良さ チューニングが素晴らし。 総音量規制も丁度いい具合で耳が疲れない◎ あとは最近のアーティストみんな出音良いすなー
0
0
3
@studioforesta
森田良紀
6 days
何気に初めて来た。 今日はresolumeで絵だし屋さん! 久々に緊張感がやばい
0
0
10
@studioforesta
森田良紀
8 days
system5の福袋 商品名伏せられてるけど価格と説明文で大体推測できるなって思ってGEMINIに聞いたら答え合わせでリストに出来たw インカムのポイントバック率が聞いたこともないポイントだけど買おうと思ってた人からしたら間違いなく神福袋w PYXIS6kも高いけど安い…なぁ…
0
0
4
@studioforesta
森田良紀
11 days
2台追加しておいた。。年明けライブ収録続くしな...。 WDは年明け値上げ宣言だしてるから使う予定ある人はいまのうち。。。
0
0
4
@studioforesta
森田良紀
13 days
これは物欲が加速してしまう!!w でも実際のところmacなんかは40万未満になるとスペック的に買いやすくなるのは助かるな… しかしそれ以上に円安とメモリストレージ高で焼け石に水な気配も…
@daichi307
𝕏 鈴木Daichi秀行 𝕏
13 days
インフレですし! 少額減価償却資産 1つの資産の購入上限を「40万円未満」に引き上げ(現在30万円未満)合計300万円まで即時償却できる(現行通り)3年間延長。 https://t.co/mjVfI0W4F5
0
0
2
@studioforesta
森田良紀
16 days
気に入ってたくさん買ってるネクストレージの256GBと512GBのSDカードが売り切れのままとな、、 SDカードまで例のメモリー関連の影響受けてるの!?
0
0
0
@studioforesta
森田良紀
24 days
来年からはマルチカムなライブ収録の場合はメディア代も含んだ見積もり作るようにしないとなぁ。 BRAW収録が基本のウチは平均4TBくらいになるからマジであっという間に消費する… しかし、定期的にストレージとかメモリ系は値上がりするけど、今回のこれはいつまで続くのか…もっと上がるのか
0
0
2