quantbeckman Profile Banner
Quant Beckman Profile
Quant Beckman

@quantbeckman

Followers
9K
Following
738
Media
674
Statuses
2K

Quantitative Researcher & Dev. | Financial Data Scientist | Machine Learning Engineer | Mathematical Research | Algorithmic Trading Systems

Fresh takes on Quant Research
Joined July 2019
Don't wanna be here? Send us removal request.
@quantbeckman
Quant Beckman
3 hours
Autocorrelation == Pseudo-leakeage
8
4
13
@InfraCap
Infrastructure Capital Advisors (InfraCap or ICA)
7 months
BNDS actively manages bonds & preferreds seeking stable returns. 📊
0
1
32
@quantbeckman
Quant Beckman
10 hours
This is the workhorse hedge for equity books. You keep your stock selection while stripping out broad market moves. It sucks...
8
6
64
@quantbeckman
Quant Beckman
15 hours
A heavy Saturday breakfast, nothing worth reading. Pointless topics like quantum LLMs. Luckily, I'll read this.
6
5
26
@quantbeckman
Quant Beckman
1 day
Repeat with me:
6
5
32
@PureStorage
Pure Storage
5 days
What’s the biggest benefit of AI-driven workload placement?
17
6
12
@quantbeckman
Quant Beckman
1 day
In the Tail-risk / CVaR hedging method (Rockafellar–Uryasev formulation) instead of minimizing variance, choose hedge positions to minimize expected losses in the worst (1−α) fraction of outcomes. This targets crash scenarios directly and is useful when returns are
9
34
189
@quantbeckman
Quant Beckman
2 days
This smells fishy with those backtests
7
8
52
@quantbeckman
Quant Beckman
2 days
Correlation is the first truth markets abandon under stress.
5
3
14
@quantbeckman
Quant Beckman
2 days
0
0
3
@ufc
UFC
16 days
A new way to watch UFC
0
98
2K
@quantbeckman
Quant Beckman
2 days
Hi mates! 👋🏻[MARKET INTEL] Special FED 👇🏻👇🏻👇🏻
7
3
3
@quantbeckman
Quant Beckman
3 days
When are we going to tell the truth in the academic world? Sortino: 3.73? 4.42? 😮‍💨
7
4
31
@quantbeckman
Quant Beckman
3 days
Man... who did this?! Now I feel bad for all discretionary traders 🫣
10
4
67
@quantbeckman
Quant Beckman
3 days
2
0
6
@NinjaTraderProp
NinjaTrader Prop
4 days
Big contracts, small contracts... why not both? The Mini-to-Micro Contract Converter lets traders magically swap E-minis for Micro E-minis (and back again) within the same product family, all under one unified risk limit. There’s no math required, just seamless size swapping.
2
22
44
@quantbeckman
Quant Beckman
3 days
Here a recipe for neutralizing your portfolio’s exposure to broad market moves.
6
17
153
@quantbeckman
Quant Beckman
4 days
So now WF is used for validation? 🤷🏻
7
5
28
@quantbeckman
Quant Beckman
4 days
-High concurrent I/O and async libraries available → asyncio -Blocking I/O or non-async libraries → ThreadPool -Heavy CPU-bound computation in Python → multiprocessing
6
6
33
@quantbeckman
Quant Beckman
4 days
Quadratic case ⇒ explicit linear feedback (Riccati structure)
0
0
4
@LampstandM
Lampstand Ministry
2 days
"Train up a child in the way he should go, and when he is old he will not depart from it." A Christmas movie that my children and I enjoy watching has one scene in particular that always strikes me: It’s the scene where the parents are looking in on the boy in his room and
0
2
10
@quantbeckman
Quant Beckman
4 days
Reduced PDE
1
0
5
@quantbeckman
Quant Beckman
4 days
Legendre transform
1
0
1
@quantbeckman
Quant Beckman
4 days
Exponential (CARA) change of variables
1
0
2
@quantbeckman
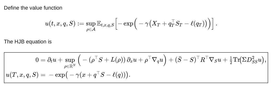
Quant Beckman
4 days
Value function and HJB
1
0
3
@ARIFURETA_ad
ありふれた職業で世界最強 リベリオンソウル
15 hours
New game you didn't know about Give it a try!
0
0
87