
pashmonline
@pashmonline
Followers
574
Following
25K
Media
980
Statuses
12K
Sometimes it happens
Germany
Joined March 2019
Waiting for crypto dump 😂😂😂
0
0
2
Blockchain 101 – Bitcoin Upgrades After learning how wallets and keys work and how mining keeps the network secure, it’s time to see how Bitcoin has upgraded itself to become faster, safer, and more scalable. The most important upgrades in Bitcoin’s history were SegWit (2017)
0
1
14
Blockchain 101 – Wallets & Keys So far, we’ve learned how the network stays secure and decentralized, and how consensus mechanisms validate transactions. Now it’s time to understand how your digital assets are kept safe, and how you actually interact with them. The answer lies
1
1
7
Blockchain 101 – Mining and Security In the previous article, we saw how the network reaches consensus and how consensus mechanisms ensure the security and decentralization of the blockchain. Now, let’s understand what mining really does and why the network can’t stay secure
1
1
7
Blockchain 101 – Basics Part 4 – Consensus Mechanisms In the last article, we learned how nodes verify transactions and maintain copies of the ledger. Now, it’s time to see how the network decides which transactions are valid and which blocks get added this is consensus
1
1
4
Blockchain 101 – Basics Part 3 – Nodes & Network In the last article, we learned how transactions are created and collected into blocks. Now it’s time to dive into nodes and the network that links all these blocks together. What are Nodes and What Do They Do? Nodes are like
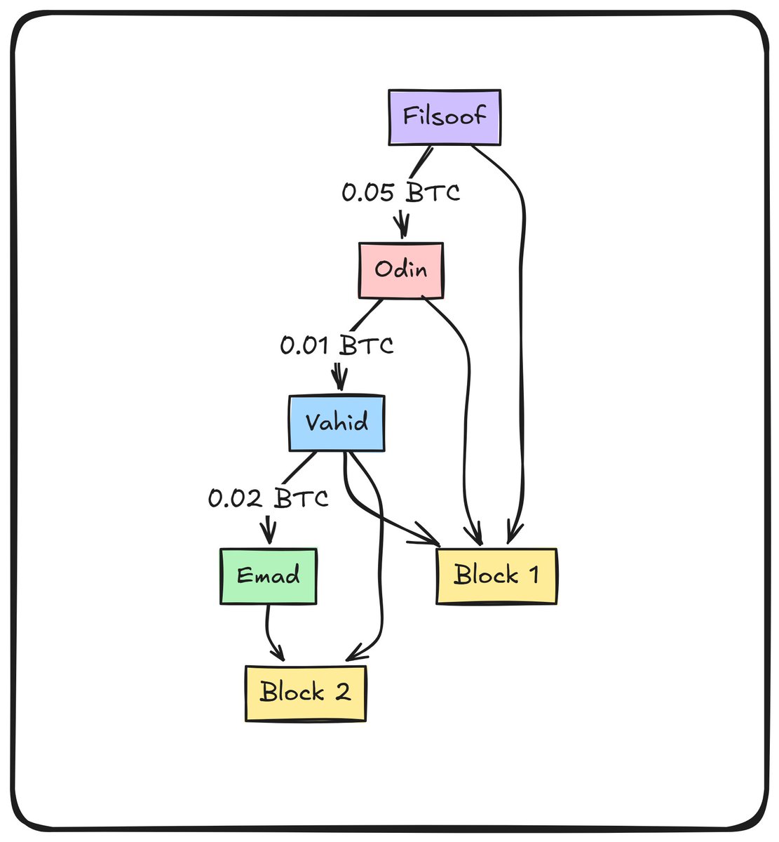
Blockchain 101 – Basics Part 2 – Blocks and Transactions As a quick reminder, in the previous article we explored the ledger what it is and why blockchain can’t exist without it. Now, let’s focus on transactions and how they get grouped into blocks to build a secure network.
0
1
6
Blockchain 101 – Basics Part 2 – Blocks and Transactions As a quick reminder, in the previous article we explored the ledger what it is and why blockchain can’t exist without it. Now, let’s focus on transactions and how they get grouped into blocks to build a secure network.
Blockchain 101 – Blockchain Basics Part 1 - Ledger Concept Introduction: Before diving into advanced blockchain technologies, we need a very simple understanding of blockchain’s core function. At its core, blockchain is a digital shared ledger where all transactions are
0
1
5
Blockchain 101 – Blockchain Basics Part 1 - Ledger Concept Introduction: Before diving into advanced blockchain technologies, we need a very simple understanding of blockchain’s core function. At its core, blockchain is a digital shared ledger where all transactions are
I’ve decided to create a course called Blockchain 101 and share daily content about it. My goal is to deepen my own understanding first, and then help others learn, following the same path. This course won’t be complicated and it starts from the very basics: blocks,
0
1
5
I’ve decided to create a course called Blockchain 101 and share daily content about it. My goal is to deepen my own understanding first, and then help others learn, following the same path. This course won’t be complicated and it starts from the very basics: blocks,
1
1
6