
Neutrino Arxiv preprints ⚛️📊📈
@nuarxiv
Followers
1K
Following
128
Media
4K
Statuses
4K
Your latest #neutrino papers directly from the @arxiv #hepex (and cross-listings).
Joined April 2020
📌 "Boosted decision tree reweighting of simulated neutrino interactions for O(1) GeV neutrino cross-section measurements" 👤 Z. Lin et al. 🔗 https://t.co/npb7HWoLJJ
#neutrino #hepex
0
0
0
📌 "Aluminum-Based Superconducting Tunnel Junction Sensors for Nuclear Recoil Spectroscopy" 👤 Spencer L. Fretwell et al. 🔗 https://t.co/tKkRky3lc3
#neutrino #hepex
0
0
0
📌 "Neutrinoless double beta decay in a supersymmetric left-right model" 👤 Vivek Banerjee, Sasmita Mishra 🔗 https://t.co/t4DUkrWIBw
#neutrino #hepex
0
0
0
📌 "Identification of low-energy kaons in the ProtoDUNE-SP detector" 👤 DUNE Collaboration et al. 🔗 https://t.co/58HGo8XA6k
@DUNEScience
#neutrino #hepex"
0
0
1
📌 "Beyond-the-Standard-Model Physics in the Neutrino Sector" 👤 Kevin J. Kelly 🔗 https://t.co/z9MplKfgPE
#neutrino #hepex
0
0
0
📌 "Constraining the new contributions to electron g-2 in a radiative neutrino mass model" 👤 Bayu Dirgantara, J. Julio 🔗 https://t.co/1x1NIu8FY1
#neutrino #hepex
0
0
0
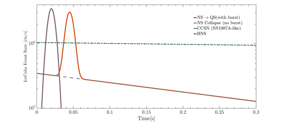
📌 "Neutrino signal from the hadron-quark phase transition in the conversion of Neutron Stars into Quark Stars" 👤 Yossef Zenati et al. 🔗 https://t.co/blS84UI2T6
#neutrino #hepex
0
0
0
📌 "Low-Frequency Gravitational Waves in Three-Dimensional Core-Collapse Supernova Models" 👤 Colter J. Richardson et al. 🔗 https://t.co/XQMhsiisHM
#neutrino #hepex
0
0
0
📌 "When inverse seesaw meets inverse electroweak phase transition: a novel path to leptogenesis" 👤 Wen-Yuan Ai, Peisi Huang, Ke-Pan Xie 🔗 https://t.co/lnpncyVhSg
#neutrino #hepex
0
0
0
📌 "Sub-Threshold Fermi-LAT Sources in the Vicinity of KM3-230312A" 👤 Angelina Sherman et al. 🔗 https://t.co/J10yxybm6w
#neutrino #hepex
0
0
0
📌 "Thermal and magnetic effects on viscosity in Binary Neutron Star mergers" 👤 Pranjal Tambe et al. 🔗 https://t.co/oHsKV0As8E
#neutrino #hepex
0
0
0
📌 "Cosmology Likelihood for Observables in \Euclid (CLOE). 1. Theoretical recipe" 👤 Euclid Collaboration et al. 🔗 https://t.co/LzbxUWKsTn
#neutrino #hepex
0
0
0
📌 "Euclid preparation. Cosmology Likelihood for Observables in Euclid (CLOE). 5. Extensions beyond the standard modelling of theoretical probes and systematic effects" 👤 Euclid Collaboration et al. 🔗 https://t.co/Kzep8JBClO
#neutrino #hepex
0
0
0
📌 "A LENS on DUNE-PRISM: Characterizing a Neutrino Beam with Off-Axis Measurements" 👤 Julia Gehrlein et al. 🔗 https://t.co/pOyDRzZlhr
@DUNEScience
#neutrino #hepex"
0
0
0
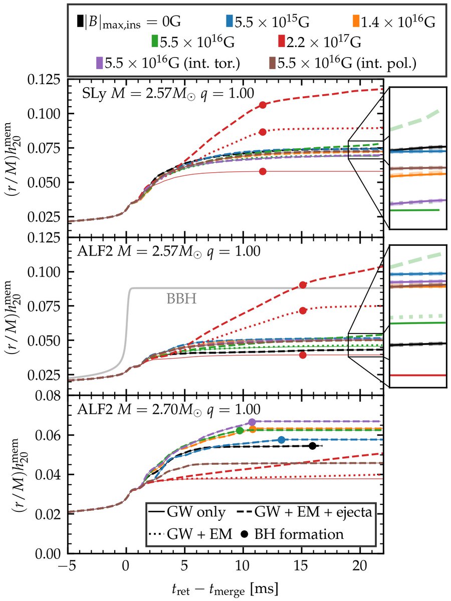
📌 "The Gravitational Wave Memory from Binary Neutron Star Mergers" 👤 Jamie Bamber et al. 🔗 https://t.co/IcLqUeGe8T
#neutrino #hepex
0
0
0
📌 "Resonant W and Z Boson Production in FSRQ Jets: Implications for Diffuse Neutrino Fluxes" 👤 J. -H. Ha, I. Alikhanov 🔗 https://t.co/PgTLRLsup8
#neutrino #hepex
0
0
0
📌 "Proton-rich production of lanthanides: the νi process" 👤 Xilu Wang et al. 🔗 https://t.co/dzrm66L9D6
#neutrino #hepex
0
0
0
📌 "Mass Varying Neutrino Oscillation in Scalar-Gauss-Bonnet Gravity" 👤 H. Mohseni Sadjadi, H. Yazdani Ahmadabadi 🔗 https://t.co/0737AAch08
#neutrino #hepex
0
0
0
📌 "Addressing Selected Gamma-Ray Burst Science Topics with Future Space Instruments" 👤 Nicolas De Angelis 🔗 https://t.co/sx75ws5zPe
#neutrino #hepex
0
0
0
📌 "A Limit on the Total Lepton Number in the Universe from BBN and the CMB" 👤 Valerie Domcke et al. 🔗 https://t.co/IsMGIDtcZV
#neutrino #hepex
0
0
0