
Michael Stingl
@neurostingl
Followers
16K
Following
9K
Media
314
Statuses
9K
Facharzt für Neurologie ME/CFS ▪ Long Covid ▪ Nervenultraschall ▪ ENG/EMG ▪ Hirngesundheit ▪ Telemedizin Ordination @cereprax
Grenzgasse 4-6/1/17, 1150 Wien
Joined May 2018
Fassen wir überspitzt zusammen: Für normale Versorgung von ME/CFS ist kein Geld da und man ist mancherorts nicht bereit, vom überholten Dogma von ME/CFS als psychiatrischer Erkrankung abzuweichen. Es ist ein trauriges Schauspiel. https://t.co/ahEBDcAcrP
sn.at
Die Umsetzung des "Aktionsplans" zu postakuten Infektionssyndromen (PAIS) dürfte sich weiter verzögern. Mit dem Plan soll die medizinische und soziale Versorgung etwa von Post Covid- oder ME/CFS-Pa...
4
30
134
Und das führt halt auch zu in Absolutzahlen vermehrten Spätfolgen, für die es insbesondere im Fall von ME/CFS keine adäquate Versorgung gibt.
0
1
25
MODERATOR: Are you willing to commit to NOT raise the sales tax? MIKIE SHERRILL: I'm not going to commit to anything right now. On Nov. 4, vote NO on Mikie Sherrill. ❌
17
41
115
"The new year-round baseline for work absences appeared to be on par with the levels formerly confined to prepandemic influenza season conditions."
1
1
13
Der ÖGK-Vorstand war zuletzt im Zusammenhang mit vermehrten Krankenständen seit Beginn der Pandemie der Meinung, man müsse "E-Card-Urlaub" schärfer kontrollieren. Wenn man diese Studie sieht, wäre wohl Forderung nach besserer Infektprävention sinnvoller. https://t.co/KFhgOsaJky
jamanetwork.com
This cohort study examines the extent to which COVID-19 continues to generate work absences and decrease labor force participation beyond the pandemic period in the US.
4
28
113
Es ist offensichtlich, dass es auf manchen politischen/medizinischen Ebenen Widerstände gegen normale Versorgung von ME/CFS gibt. Aber wie man auch an diesem Netzwerk sieht, gibt es andererseits zunehmend Interesse, Menschen mit ME/CFS zeitgemäß weiterzuhelfen.
Ein Abend voller Klarheit und Empathie: @neurostingl zeigte, was Medizin zur Versorgung von #MECFS beitragen KÖNNTE – und wie fatal umgekehrt das Versäumnis ist, dass schwerst Erkrankte unversorgt in der Psychotherapie landen, um irgendwie mit dieser Situation zurechtzukommen. 💙
1
44
226
Freu mich sehr darauf!
Psychotherapie Netzwerk ME/CFS- heute mit @neurostingl, Wien. #MECFS #PEM #Neurologie #Neuroimmunologie #SFN #OffLabel #Pionier
3
9
124
Eine von @kahryn_hoffmann initiierte Stellungnahme zur neuen ICD-Codierung für ME/CFS bzw. "Fatigue mit Angabe von PEM". https://t.co/Kt6JsUh9zH
public-health.meduniwien.ac.at
1
46
148
Berichte wie dieser zeigen, wie falsch die Behauptung einer flächendeckenden Versorgung von ME/CFS ist, sogar wenn man nur die niedere Hürde des Zugangs zur Primärversorgung gemeint hat. Weil sogar diese Hürde ist für manche Betroffenen strukturell zu hoch.
"Sie kann nicht sprechen, erträgt keine Geräusche, keine Menschen – Milena, 22, hat #MECFS. Ihre Eltern Sabine und Joachim Hermisson kümmern sich seit fünf Jahren um sie. Hier berichten sie, worauf es in der Pflege ankommt." https://t.co/QRGchOUs4H
2
50
208
Auf in einen neuen Tag der flächendeckenden Versorgung von ME/CFS!
6
41
213
Auch ein Schmankerl: "Es ist wichtig, genau hinzuschauen, insbesondere wenn es um die Interpretation der Beschwerden im Kontext psychischer Belastungen geht." Normale Versorgung = weniger psychische Belastungen.
"Von ME/CFS betroffene Menschen sind in einer äußerst belastenden Situation." Ja, weil ihnen anhaltend eine normale medizinische und soziale Versorgung verwehrt wird. https://t.co/GUamWxNHrG
2
24
133
"Von ME/CFS betroffene Menschen sind in einer äußerst belastenden Situation." Ja, weil ihnen anhaltend eine normale medizinische und soziale Versorgung verwehrt wird. https://t.co/GUamWxNHrG
puls24.at
Das Sozialministerium sieht die Versorgung von Patienten mit postakuten Infektionssyndromen wie Long/Post Covid oder ME/CFS als "flächendeckend gesichert" an. Das geht aus einer Beantwortung einer...
7
63
296
Hier ist eine parlamentarische Anfrage aus 2023, mit ähnlichem Inhalt, aber umgedrehten Parteirollen. https://t.co/rjfmyJL8QI
Das sind wichtige Fragen von @eviholz und @Rudolf_Silvan in dieser parlamentarischen Anfrage zu ME/CFS. Es muss das Ziel sein, hier eine Verbesserung der Versorgung zu erreichen. Das wurde ja letztendlich im April einstimmig im @OeParl beschlossen. https://t.co/hrpKUtOI7k
2
3
46
Es ist ja schon auch bemerkenswert, dass 2 der letzten Gesundheitsminister sich mittlerweile öffentlich für ME/CFS engagieren. Es wäre insofern spannend, wo die Blockaden im Ministerium sitzen, die normale Versorgung verhindern.
1
6
75
Ich krieg die flächendeckende "Versorgung" von ME/CFS täglich mit - und sei es nur durch die Anzahl der Terminanfragen, die meine Kapazität schon lange sprengen. Wer sind die beschwichtigenden Blockierer, die behaupten, dass das eh so passt? https://t.co/3tKOZSPWWx
sn.at
Das Sozialministerium sieht die Versorgung von Patienten mit postakuten Infektionssyndromen wie Long/Post Covid oder ME/CFS derzeit als "flächendeckend gesichert" an. Das geht aus einer Beantwortung...
8
61
261
Wenig überraschend ist Telemedizin hilfreich in der Betreuung hausgebundener Menschen - auch bei ME/CFS. In der Realität werden aber zB Befunde, die bei telemedizinischen Kontrollen erstellt werden, in Gutachten immer wieder ignoriert.
Telehealth as a Care Solution for Homebound People: Systematic Review and Meta-Analysis of Healthcare Utilization, Quality of Life, and Well-Being Outcomes.
7
30
177
Spezialisierte Pflegeeinrichtungen für severe ME/CFS sollten die Norm sein. In der Realität erfolgt Pflege meist durch Familie, oft ohne Bewilligung von Pflegegeld, und Arbeitsfähigkeit wird in vielen Fällen trotz deutlicher Beeinträchtigung attestiert. https://t.co/G7uCFFaM9W
tandfonline.com
A specialised care unit for severely and very severely ill ME/CFS patients opened in 2021. The results from the first 3 years are reported.People with ME/CFS who were diagnosed according to the Can...
0
30
158
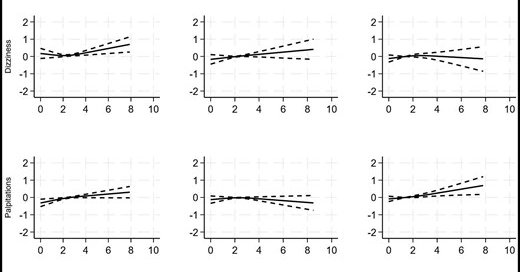
POTS ist bei Post Covid mit deutlicher Beeinträchtiung der Alltagsfunktion verbunden, zeigen auch diese Studien (in einer Studie ist POTS wohl unter "dizzyness" versteckt). Umso wichtiger, POTS zu erkennen und zu behandeln. https://t.co/6LGGkn6APk
https://t.co/DAdVoANsxJ
ahajournals.org
BACKGROUND: The incidence of postural orthostatic tachycardia syndrome (POTS) in long COVID has been a growing concern since the first cases were reported in 2021. The aim of this study was to assess...
2
25
129
Wichtiges Angebot der @oeg_mecfs!
📌 Neue Online-Austauschgruppen für ME/CFS-Betroffene 📌 Wir freuen uns, unser bereits etabliertes Angebot der Online-Austauschgruppe für (pflegende) Angehörige auch auf Betroffene auszuweiten. Es wird dazu jeweils zwei Austauschgruppen für erwachsene Betroffene sowie jeweils
0
24
82
Da freue ich mich sehr drauf! Mancher Psychosomatik-Strohmann wäre wohl überrascht, wie sehr wir "ME/CFS-Somatiker" die Zusammenarbeit mit und die Rolle der Psychotherapie/Psychiatrie schätzen.
Forschung, Versorgung & Aufklärung für #MECFS #PEM gemeinsam, menschlich, wissenschaftlich und interdisziplinär: Am 9.10. ist Michael Stingl @neurostingl unser Gast im Psychotherapie-Netzwerk ME/CFS- ich freue mich sehr darauf! Fotos mit @kahryn_hoffmann, ME/CFS Tagung Berlin.
1
42
212