midmacc Profile Banner
LIFE MIDMACC Profile
LIFE MIDMACC

@midmacc

Followers
663
Following
760
Media
426
Statuses
960

Promovemos la adaptación al cambio climático de la media montaña mediterránea. Proyecto financiado por @LIFEprogramme, LIFE18 CCA/ES/001099 .

Cataluña, Aragón, La Rioja
Joined October 2019
Don't wanna be here? Send us removal request.
@midmacc
LIFE MIDMACC
7 months
✅ Este estudio muestra cómo el GPS y SIG ayudan a: 📊Evaluar políticas públicas 📈Optimizar manejo de pastos 🌱Revitalizar zonas rurales 📝 Link al artículo: https://t.co/DC26rC616w
0
0
2
@midmacc
LIFE MIDMACC
7 months
📍Factores clave para mejorar el pastoreo en zonas de montaña: 1️⃣ Instalar agua y sal en zonas remotas 2️⃣ Mejorar cobertura de red (mejor control con nuevas tecnologías) 3️⃣ Involucrar a los ganaderos en la gestión del territorio 4️⃣ Reconocer pastos bajo arbolado en la PAC
1
0
1
@midmacc
LIFE MIDMACC
7 months
📉 No se encontraron diferencias estadísticas entre zonas desbrozadas y no desbrozadas en términos de uso ganadero, aunque las desbrozadas mostraron mayor productividad vegetal (NDVI).
1
0
0
@midmacc
LIFE MIDMACC
7 months
🪓 El Plan de Desbroce ha creado nuevas zonas de pasto mediante desbroce de matorral, aunque no todas son pastoreadas. 🚫 Causas: Falta acceso, infraestructura o cobertura de red.
1
0
0
@midmacc
LIFE MIDMACC
7 months
🌳 Las áreas silvopastorales (pastos en zonas de bosque y dehesas) son utilizadas, aunque no son subvencionadas como zonas de pasto por la PAC. ⚠️ Esto limita su gestión y pone en riesgo los servicios ecosistémicos que generan
1
0
0
@midmacc
LIFE MIDMACC
7 months
🌿 La cubierta del suelo donde más pastorearon los animales fue en matorral (55.5%), seguido de pastos (20.6%) y bosques (5%). 📆 Diariamente, los picos de pastoreo fueron al amanecer y al atardecer. 🌞 En verano aumentó la actividad, y en invierno cayó, sobre todo en vacas.
1
0
0
@midmacc
LIFE MIDMACC
7 months
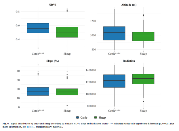
🌄 El pastoreo no es aleatorio, el ganado se desplaza en función de: ✅ Factores topográficos (altitud, pendiente) ✅ Proximidad a agua, sal y refugios ✅ Tipo de cobertura vegetal (NDVI)
1
0
0
@midmacc
LIFE MIDMACC
7 months
🐑🐄 Se analizaron más de 97,000 registros GPS de ovejas y vacas (2019–2021). 📊 Se evaluaron patrones diarios, estacionales y preferencias de hábitat.
1
0
0
@midmacc
LIFE MIDMACC
7 months
📉 El abandono rural ha provocado el avance del matorral y la pérdida de pastos. 📈 El Plan de Desbroce de Matorral de La Rioja busca revertir esta tendencia.
1
0
0
@midmacc
LIFE MIDMACC
7 months
📢 Nuevo artículo sobre LIFE MIDMACC en Journal of Environmental Management: 🔍 Analiza cómo el pastoreo extensivo, apoyado por políticas públicas y tecnología GPS, puede revitalizar la media montaña mediterránea. 📍 San Román de Cameros (La Rioja). https://t.co/kFIYC73FDr
1
1
3
@midmacc
LIFE MIDMACC
8 months
Y también presentando el póster de los compañeros de @IPE_CSIC, la gestión del territorio como estrategia para optimizar el caudal y la productividad forestal en un contexto de #CambioClimático en una cuenca de montaña de clima #Mediterraneo #9CFE
0
0
0
@midmacc
LIFE MIDMACC
8 months
Hoy nuestro proyecto ha estado en el @congresoforesta, en la mesa temática de gestión, presentando alternativas de gestión al #CambioClimático para la media montaña mediterránea. @CREAF_ecologia #9CFE #inteligenciaforestal
1
0
3
@midmacc
LIFE MIDMACC
1 year
Very happy to be included as #adaptationstories of the @eumissions in Adaptation to #ClimateChange. Key learning, results and recommendations for adaptive management of Mediterranean mid-mountain areas are summarised. 👀 https://t.co/GOdbylrZei #ClimateAction #Adaptation
0
5
9
@LIFEprogramme
LIFE Programme
1 year
Ain’t no mountain high enough🌄 This #InternationalMountainDay, we’re highlighting #LIFEProjects @stonewalls4life & @midmacc , working to shield Southern Europe’s mountains from #ClimateChange 🌿 👉 Learn more:  https://t.co/BT7LQYX7Me #LIFEProgramme
0
10
15
@midmacc
LIFE MIDMACC
1 year
Ayer nuestra compañera @estelanr0, investigadora del @IPE_CSIC, hablaba de la importancia de proteger el suelo, remarcando algunos de los resultados de #midmacc. Puedes escucharlo en @La_SER en
Tweet card summary image
cadenaser.com
La investigadora del IPE Estela Nadal y su equipo están llevando a cabo estudios en el Pirineo para lograr medidas de gestión para que la montaña se adapte al cambio climático
@SERPirineos
SER Pirineos
1 year
"El suelo es la base de toda actividad humana es muy frágil y protegerlo es necesario" @IPE_CSIC @estelanr0 https://t.co/tVituBndhJ a través de @La_SER
0
2
6
@CREAF_ecologia
CREAF
1 year
Ara fa 15 anys que la Diana Pascual va canviar el seu rumb en el món de l'empresa #forestal i va arribar al CREAF🌳 Ella no pensava que faria #recerca i aquí la tenim ara, explicant-nos el seu bagatge i experiència tan valuosos ✨ Feu una llegida 💚👇 https://t.co/wuW0csXfiS
creaf.cat
Ser una de les poques enginyeres de forests del CREAF i arribar-hi des de la consultoria ambiental i la modelització hidràulica confereix un perfil singular a la Diana Pascual.
1
6
26
@midmacc
LIFE MIDMACC
1 year
Avui el nostre coordinador @eplaf, @CREAF_ecologia, és a la Jornada de Vins del #Pirineu que organitza @Cordegat, parlant de la recuperació del mosaic agroforestal a la #muntanya mitjana mediterrània, amb les productores que han participat al projecte @llivins i @CellerEspelt🍇🍷
@rtroyano
Ruth Troyano Puig
1 year
Inici de la 12a Jornada de Vins del Pirineu: El paisatge de la resiliència. Apuntalar l’agricultura d’alt valor natural: preservar elements originals del sistema natural i plantejar usos productius de baixa intensitat. Conservació i aprofitament @CREAF_ecologia 📸 @Cordegat
0
1
5
@rtroyano
Ruth Troyano Puig
1 year
Inici de la 12a Jornada de Vins del Pirineu: El paisatge de la resiliència. Apuntalar l’agricultura d’alt valor natural: preservar elements originals del sistema natural i plantejar usos productius de baixa intensitat. Conservació i aprofitament @CREAF_ecologia 📸 @Cordegat
1
3
15
@LifeMedacc
Life MEDACC
1 year
Avui, el Fòrum Internacional "Els #Boscos, refugi i escut davant el #CanviClimàtic" que es fa a #Soria en el marc del projecte #SoriaForestAdapt, es fa ressò de les nostres proves pilot de #silvicultura adaptativa dins la @MIP4Adapt i presentat per @RicardoGroupPlc
0
2
5
@LifeMedacc
Life MEDACC
1 year
Hoy el Foro Internacional ‘Los #Bosques, refugio y escudo frente al #CambioClimático’ celebrado en #Soria en el marco del proyecto #SoriaForestAdapt, se hace eco de nuestras pruebas piloto de #silvicultura adaptativa, dentro de la @MIP4Adapt y presentado por @RicardoGroupPlc
0
1
2