mathwithvan Profile Banner
de'Vanneth Profile
de'Vanneth

@mathwithvan

Followers
318
Following
16K
Media
363
Statuses
3K

(check my media). Off

Joined February 2024
Don't wanna be here? Send us removal request.
@mathwithvan
de'Vanneth
7 months
find out in my account ⌕ [Integral/Geometry/Calc/Mechanics/Physics]
0
0
2
@mathwithvan
de'Vanneth
17 hours
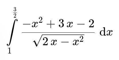
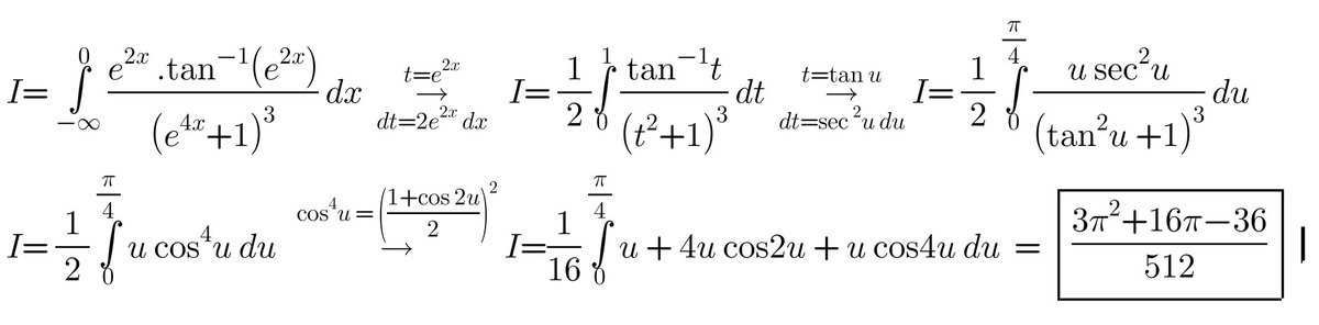
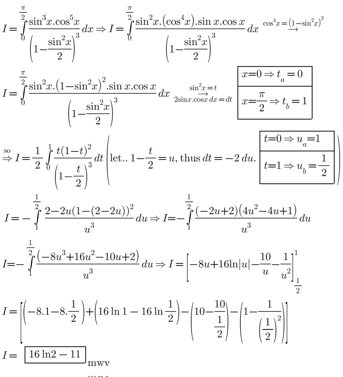
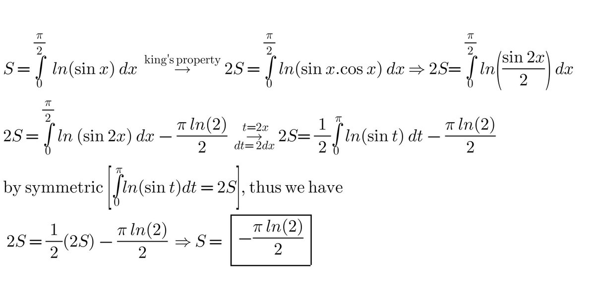
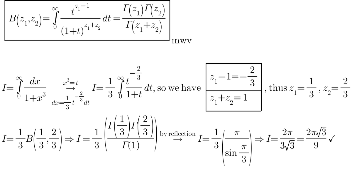
Integral.
@Diarytells
Diary
23 hours
Solve it
0
0
5
@mathwithvan
de'Vanneth
19 hours
“17, and we got a dream to have a family A house, and everything in between And then, oh, suddenly, we turned 23 And now we got pressure for taking our life more seriously”
0
0
0
@Iammonique05
TITTY
4 days
social media has ruined everything. standards... mindsets.. goals.. society.
@Anniemonique_
ANNIE❤️
4 days
What opinion about social media would have you like this??
221
7K
38K
@mathwithvan
de'Vanneth
8 days
gmn caranya bujuk emak biar mau ke kyrgyztan aj ketimbang dubai
0
0
0
@chris_juravich
Chris
18 days
For fans of the golden ratio—
@chris_juravich
Chris
19 days
In time for the holidays—
6
41
350
@mathwithvan
de'Vanneth
17 days
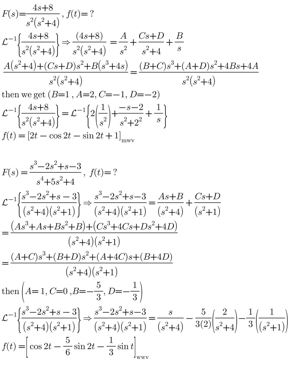
Integral. Inverse Laplace
2
3
23
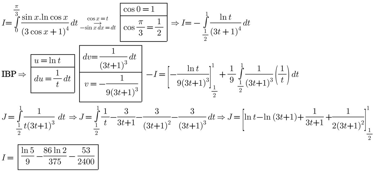
@mathwithvan
de'Vanneth
17 days
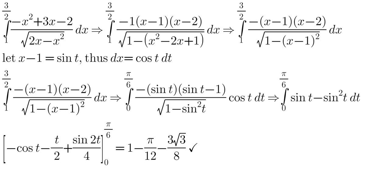
Integral.
@Diarytells
Diary
18 days
0
0
6
@mathwithvan
de'Vanneth
20 days
Integral.
@Diarytells
Diary
20 days
🦍
0
0
7
@mathwithvan
de'Vanneth
23 days
Ga sabar ke ln lagi th depan
2
0
0
@mathwithvan
de'Vanneth
24 days
Integral.
@Diarytells
Diary
24 days
🌸
0
0
3
@mathwithvan
de'Vanneth
24 days
Integral.
@Diarytells
Diary
24 days
🧩
0
0
2
@mathwithvan
de'Vanneth
26 days
Integral.Calc.
@Diarytells
Diary
26 days
0
0
3
@mathwithvan
de'Vanneth
29 days
"let them wonder how we got this far"
0
0
0
@mathwithvan
de'Vanneth
1 month
Integral.
1
0
3
@mathwithvan
de'Vanneth
1 month
Love & War - Yellow Claw enak bet
0
0
0
@mathwithvan
de'Vanneth
1 month
after pushup 100×, kini rasanya kek tanganku ga ada
1
0
0
@yslmammi
𝒶rα˚˖𓍢ִ໋
1 month
Dating without the intention to get married is a total waste of time.
@Ihymeep
Meep ☄️
2 years
What opinion about Dating will have you like this?
727
13K
76K
@mathwithvan
de'Vanneth
1 month
dari awal gajelas, jadi jawabannya no
2
0
2
@mathwithvan
de'Vanneth
1 month
@mathwithvan
de'Vanneth
1 month
@Kalmurai5i @MYosefnia I have changed my first answer to the cosine function, but I am a little confused when s = -1, the cosine value will be 0, which means the integral value is undefined. 🤔
0
0
1
@mathwithvan
de'Vanneth
1 month
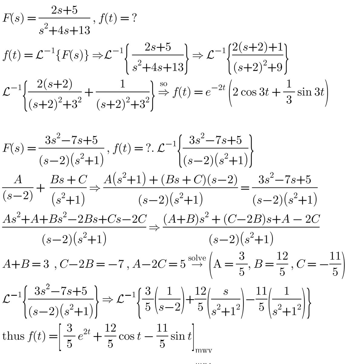
Calc.
2
0
5