jffurmento Profile Banner
Juan F Furmento, MD🇦🇷 Profile
Juan F Furmento, MD🇦🇷

@jffurmento

Followers
1K
Following
1K
Media
11
Statuses
136

Médico UBA. Cardiólogo SAC. Especialista en terapia intensiva. Staff cardiología critica ICBA. Coordinador cardiopatía isquémica ICBA.

Joined October 2016
Don't wanna be here? Send us removal request.
@sigal_alan
Alan Sigal MD 🇦🇷
13 days
A solo 24hs del Precongreso ICBA 2025! Enorme honor ser director este año junto a Pablo Mascolo y Mariano Castelli. Llevamos casi un año preparando un programa científico de lujo, con invitados de primera, con foco en innovación, investigación y tecnología. Los esperamos!
0
3
8
@ICBAonline
ICBA Instituto Cardiovascular
27 days
🫀EL DR. MICHAEL GIBSON PRESENTE EN NUESTRO PRECONGRESO ICBA 2025. 💬 "El futuro de los ensayos clínicos". 🗓️ Martes 14 de octubre. ⏰ A partir de las 8 hs. 📍 La Rural, CABA. ✅ Actividad no arancelada. 🏅 Certificado de asistencia. 📲 Link de inscripción:
0
5
6
@jffurmento
Juan F Furmento, MD🇦🇷
29 days
Estás de guardia pasiva pero tu hija no está de acuerdo 😝😝
1
0
3
@jpcostabel
Juan Pablo Costabel MD 🇦🇷
2 months
Este jueves 21 de Agosto vamos a discutir en nuestro ateneo central sobre Pericarditis refractaria y cuales son las nuevas estrategias terapéuticas disponibles. 💯 Contaremos con la participación especial del Dr. Massimo Imazio. ✅link: https://t.co/6sHk0Xp037
2
7
19
@jpcostabel
Juan Pablo Costabel MD 🇦🇷
2 months
Las pericarditis refractarias son un tema que aquejan a muchos pacientes. Hoy tienen soluciones. Esperamos poder discutirlo con un experto como @ImazioMassimo
3
7
18
@jpcostabel
Juan Pablo Costabel MD 🇦🇷
3 months
Altamente recomendable! Es este jueves ! Link : https://t.co/BKBO1WyJQh
0
5
20
@jffurmento
Juan F Furmento, MD🇦🇷
4 months
Primera angioplastia del ICBA en el Sanatorio Nordelta por @luciotpadilla Y contamos con la presencia nada más y nada menos que de Jorge Belardi ! Muchas gracias a todos !!
2
3
32
@jffurmento
Juan F Furmento, MD🇦🇷
4 months
Les presentamos el nuevo sanatorio polivalente Nordelta donde el ICBA estará presente en forma permanente llevando la excelencia en la atención cardiovascular!
10
8
46
@leonardo_seoane
Leonardo Seoane
6 months
Los invitamos a la 2da edición de la Diplomatura Universitaria Superior en Cardiología Crítica de @SAC_54 y @USalvador . Contaremos con un programa y disertantes de primer nivel. La modalidad es virtual sincrónica para realizarla de cualquier región, y arrancamos el martes 24/6!!
1
12
34
@jpcostabel
Juan Pablo Costabel MD 🇦🇷
6 months
Los invitamos a revisar y criticar este Consenso de cardiopatía amiloidótica de @SAC_54
4
22
73
@jpcostabel
Juan Pablo Costabel MD 🇦🇷
7 months
En un rato comenzamos la discusión de novedades en enfermedad coronaria del ACC25 ➡️ https://t.co/2yEwSpGcpG
1
4
13
@jpcostabel
Juan Pablo Costabel MD 🇦🇷
7 months
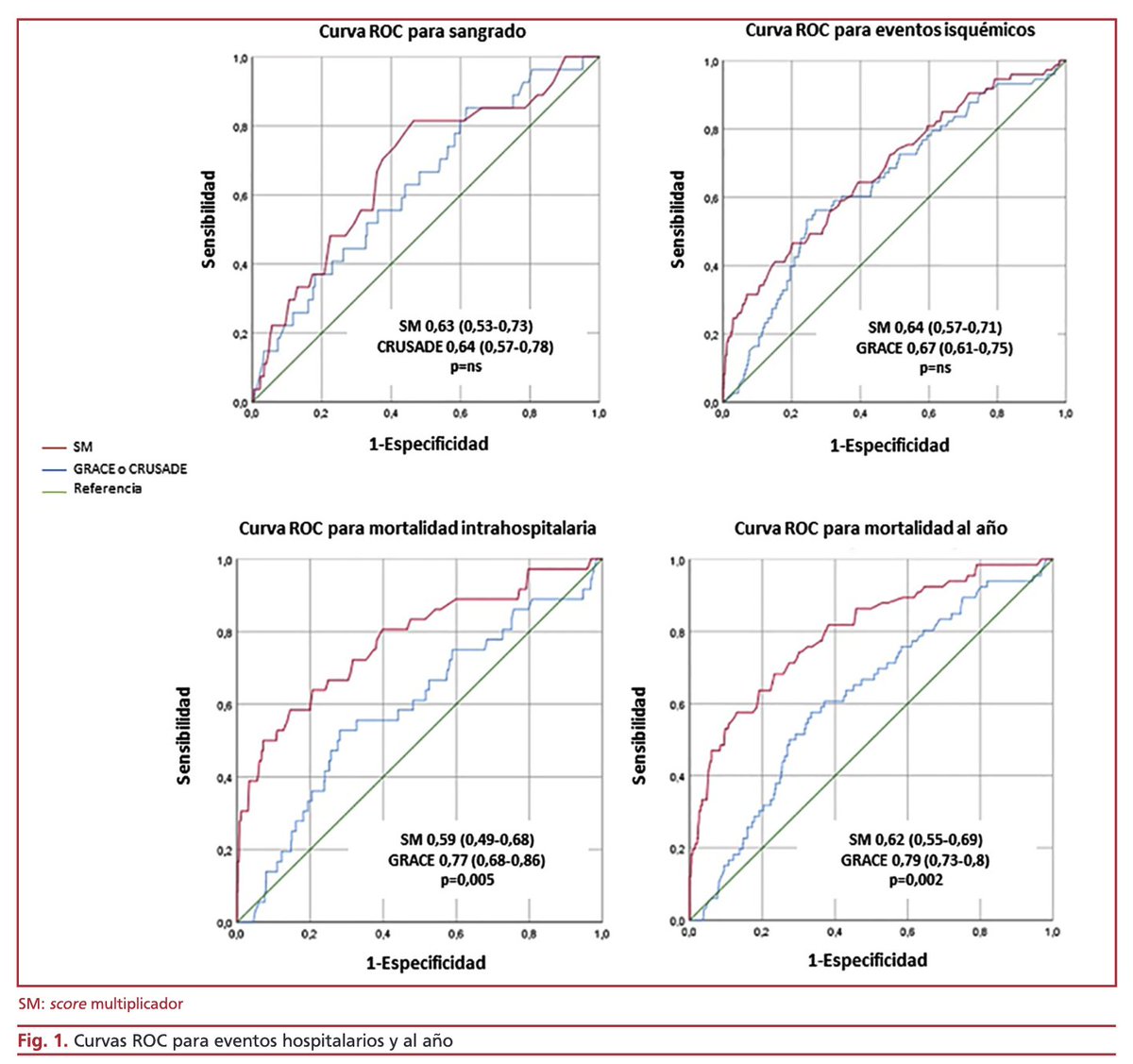
Nuestro trabajo recientemente publicado en @revistarac. Utilizar el percentilo de la troponina en pacientes con SCA parece homogeneizar desde el punto de vista pronóstico los valores y los fabricantes https://t.co/ZeU5RzNMj3
1
4
16
@jpcostabel
Juan Pablo Costabel MD 🇦🇷
7 months
Los esperamos a todos en este congreso Virtual del @ICBAonline ! Anotarse!
@ICBAonline
ICBA Instituto Cardiovascular
7 months
🫀 ACTUALIZACIÓN EN CARDIOPATÍA ISQUÉMICA 🫀 🩺 En nuestro Congreso Virtual de Cardiología ICBA UpDate 2025 🧑🏻‍⚕️ Coordinador: Dr. @jpcostabel 📅 Miércoles 23 de abril 🕓 A partir de las 16:00 💻 Por streaming 🏅Se enviarán certificados de participación. ✅ Actividad no
0
4
13
@ICBAonline
ICBA Instituto Cardiovascular
8 months
🚨 ¡Ya esta abierta la inscripción para nuestro Congreso Virtual de Cardiología! 🫀 Te invitamos a participar del ICBA Update 2025, donde abordaremos las últimas actualizaciones en medicina cardiovascular. 📅 Miércoles 23 de abril 🕓 A partir de las 16:00 💻 Online 🏅Se
0
4
19
@ICBAonline
ICBA Instituto Cardiovascular
8 months
📌Te queremos invitar a participar de nuestro Webinar: 🫀”Síndrome coronario agudo en 2025: Lo que necesitas saber de las nuevas guías ACC” 🧑🏻‍⚕️ Coordinador: @jpcostabel 🗓️ Miércoles 12 de marzo 🕑 De 19 a 20 hs. 👩🏻‍💻 Modalidad virtual. 🏅 Certificado de participación. 📲 Link
0
8
16
@jpcostabel
Juan Pablo Costabel MD 🇦🇷
8 months
Los esperamos este miércoles…. Buscaremos hacer un análisis profundo de los conceptos de la nueva guía de @ACCinTouch
8
27
132
@lucreciamburgos
Lucrecia M. Burgos, MD
8 months
Comenzamos los ateneos centrales del ICBA! Mañana presentamos un caso desafiante con gran trabajo en red en 🇦🇷 con Maria José Estebanez como invitada @mestebanez144 Mostraremos el detrás de escenas del trasplante cardíaco 🎥 Los esperamos a las 13hs! Inscripción Via zoom:
0
9
23
@leonardo_seoane
Leonardo Seoane
10 months
Los esperamos hoy a las 13 hs en el último ateneo del año del @ICBAonline !!!
0
5
17
@leonardo_seoane
Leonardo Seoane
1 year
Este jueves arranca el congreso #elsolatam2024, por primera vez en 🇦🇷. Desde el @ICBAonline contaremos con gran participación: -Escenario de simulación de ECMO. -Presentación de 3 e-posters -Presentación de trabajo a premio -Coordinación de mesa de ECMO cardíaco adulto.
1
7
19
@jpcostabel
Juan Pablo Costabel MD 🇦🇷
1 year
50° Congreso SAC https://t.co/cSlx7zphyP vía @YouTube. Si te lo perdiste míralo acá!!!
0
8
11