Max Jarno Profile
Max Jarno

@jarno_max

Followers
7
Following
113
Media
19
Statuses
116

Galen driven

Joined November 2020
Don't wanna be here? Send us removal request.
@jarno_max
Max Jarno
2 years
Suveränt att studera Älg och dess matvanor i Norsk skogsmark då den har mer natur/urskog. Jag hoppas de i studien övervakar näringsupptaget i älgarna vs andra faktorers påverkan av födoval. Sen vill vi se en motsvarande svensk studie i våra trädplantage
0
0
0
@jarno_max
Max Jarno
3 years
I Färnebo Nationalpark har forsarna blivit utsatta för fiskevård där våra bästa forskare med tentakler i skogsindustrin varit inblandade. Resultat en konstruerad monokultur som nästan slagit ut Harrbeståndet. Varför finns inga instanser där länsstyrelser kan ställas till svars.
0
0
0
@jarno_max
Max Jarno
3 years
Så här sterilt och grunt blev det efter att maskinerna under l'nsstyrelsens ledning härjat i älven och decimerat den biologiska mångfalden.
0
0
0
@jarno_max
Max Jarno
3 years
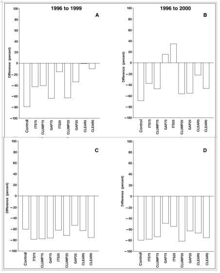
Kalhyggespåverkan insektsliv i ett vattendrag Alaska A o B=reducering av insekter C o D=deras biomassa. Flera staplar kommer av att de testade olika avverkningsmodeller. Insektspopulationen reducerades med ca 80%.. Men det är inte viktigt i Sverige då vi har ett grönt skogsbruk
0
0
0
@jarno_max
Max Jarno
3 years
Temperatur före och efter ett kalhygge 1966 Alaska Högre temp innebär lägre andel syre i vattnet. Är det inte konstigt att i Sverige är det inget problem med att skogsbruket dödar vattendragen
0
0
0
@jarno_max
Max Jarno
3 years
Tänk vad vackert det var med biologisk mångfald innan fiskevårdarnas maskiner tågade in i Färnebofjärdens Nationalpark.
1
0
0
@jarno_max
Max Jarno
3 years
Gillar vi verkligen när forskare jobbar åt skogsägarföreningar i statssubventionerade och greenwashade GriponLife projekt och skriver skogsbruksvänliga fikevårdsdokument.
0
0
0
@jarno_max
Max Jarno
3 years
Hur långt får våra fiskevårdare härja och förändra den biologiska mångfalden i en Nationalpark. Är det OK att de förvandlar partier av Dalälven till en monokultur som tränger undan Harr till fördel åt Laxen. Länsstyrelsen har raderat mångfalden och ersatt med en monokultur
0
0
0
@jarno_max
Max Jarno
4 years
En biotoprestaurering våra fiskevårdare älskar men inte fisken. Samma har skett i Hedströmmen och Dalälven. Hur kunde det bli så här ? Är sportfiskare "thick in their head"
0
0
0
@jarno_max
Max Jarno
4 years
Vad hände i somras, varför gjorde jag ett detta val.. Under dessa fjällbjörkars överhäng simmade en 60-70cm öring och vakade. Jag valde att satsa på de mindre 40-50cm öringarna då de stod roligare placerade i ute i älven. Bu för bakvattensfiske...
0
0
0
@jarno_max
Max Jarno
4 years
Hans Lidman den bästa fiskeboksförfattaren med berättelser om storöring i Hälsingeskogarna. De stora öringarna fanns i bäckarna och åarna trots dammar o flottledsrännor. Nu är storskogarna borta och med dem öringarna. Kvar har vi den gröna näringens trädplantage.
0
0
0
@jarno_max
Max Jarno
4 years
Här körs markberedare i Ekoparken...
0
0
0
@jarno_max
Max Jarno
4 years
Sveaskog Malingsbo Ekopark här värnar vi om naturen. Vi lämnar kantzon fram till vattendraget och låter inte sediment kväve fosfor och metaller läcka ut i vattendragen.
0
0
0
@jarno_max
Max Jarno
4 years
Nästan död mark i produktionsskogen nära ett vattendrag i Bergslagen. Åkte runt i skogarna och under flera mil i trakterna runt vattendraget såg jag inga äldre barrträd än 80 år. Vattendraget som heter Sverkestaån var svagt tefärgat på 80 talet nu är det starkt kaffefärgat.
0
0
0
@jarno_max
Max Jarno
4 years
Det här trädplantaget vill någon kalla skog
0
0
0
@jarno_max
Max Jarno
4 years
Fint när man genom cherry picking vrider på och använder en liten del av tillgänglig fakta. Det brukar kallas cherry picking .... Kan du inte skriva att vi har 0,3% Urskog och Basilien har 40% urskog. Eller att Sverige har trädplantage på 85% av vår produktiva skogsmark.
@annakarin_hatt
Anna-Karin Hatt
4 years
Söker du kunskap om vad som är sant i debatten om den svenska skogen? 6 viktiga fakta hittar du här:
0
0
1
@ProfessorsBlogg
Prof. Med dr Marcello Ferrada de Noli #HR4All
5 years
WOW, #Tegnell 's face turns more and more red while failing to credibly answer Dr Benjamin K Wellander (@Benjaministern) in press conference: https://t.co/Pq0h8ZUwHA Scandalously, @Folkhalsomynd shut down the doctor while fact-rebutting Tegnell's hocus-pocuses. Is this #Sweden?
6
26
66
@jarno_max
Max Jarno
5 years
På gång...
0
0
0