Explore tweets tagged as #stemdegree
@O_Donut
KOD
6 years
.@SF_England have really screwed me. Been kicked off my #openuniversity course because they couldn't process my application in time. I'm beyond angry. Was due to finish my #stemdegree next year. @OpenUniversity
2
0
0
@DrCocoVenus
CocoVenus.PhD
5 years
So this is my other life besides #carnivore This is why the science 🧬 of carnivore makes sense to me. I’ve been passionate and promoting #STEMeducation for more than 20 years before it was even called #STEM #stemdegree #biology #chemistry #blackandSTEM
0
0
3
@OTRhiannonS
Rhiannon
5 years
Blink and it’s done!What an interesting, challenging year, finishing a week before starting my OT degree. Without the OU, this wouldn’t be possible! #ThankfulThursday #sdk100 #k101 #healthsciences #ema #openuniversity #stem #stemdegree @OpenUniversity @OU_STEM @OU_healthsci
0
0
3
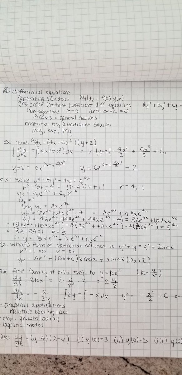
@LaurenWallaceWx
Lauren Wallace
5 years
Came across notes from my differential equations class while looking for graph paper. A. What does any of this mean? 🤯 B. Why did I take notes on graph paper? 😂 #meteorology #STEMdegree
2
0
14
@globedwise
Globedwise
3 years
Just as STEM education increases its value by adhering to its particular teaching approach, STEM graduates benefit from unique advantages in the job market. #STEM #STEMProgram #studyabroad2023 #studyabroad #internationalstudents #stemdegree #AbroadStudy #internationaleducation
0
0
0
@HaliAcademy
HaliAcademy
5 years
STEM jobs are the in demand jobs now and they will be the in demand jobs in the future. . . #stemeducation #stemlearning #educationmatters #investinyourself💯 #stemdegree #haliacademy
0
0
2
@PoetsAndQuants
Poets&Quants
4 years
@WPI offers a STEM-designated master’s degree in business analytics. Learn about The Business School at Worcester Polytechnic Institute's new program where you can excel in interpreting & using data in the workplace. https://t.co/3os28qVxPS #business #analytics #data #STEMdegree
0
0
1
@thatkevenguy
Keven Stonewall, MD
8 years
Countdown to graduation: 24 days 🎓 🙌🏾 #STEMdegree
1
10
180
@Castonconsltnts
Caston Consultancies
3 years
STEM courses are popular among students who dreamt of studying abroad. If you are looking for the best college for STEM degree, UK Universities are best to consider. #stemdegree #stemcourses ##university #uk #mbaadmissions #studyabroad #overseaseducation #castonconsultancies
0
0
0
@StudyUSAcom
StudyUSAcom
2 years
Explore the #UniversityofNorthernIowa for a business degree with a #STEMFocus. As a @uni_business student, you'll have excellent career prospects with a 95% placement rate. A #STEMDegree opens up opportunities for up to 3 years of post-grad work in your field.
0
0
1
@UWDEOHS
UW Environmental & Occupational Health Sciences
3 years
Tomorrow! Learn about our graduate programs in #environmentalhealth and #occupationalhealth. Zoom info session 4-5 pm Tuesday with student adviser Janet Hang. https://t.co/BOgFCk2Wun #publichealth #stemdegree
0
1
3
@CareerEco
CareerEco Virtual Events
7 years
Computer Science & Technology Graduate School Virtual Fair is tomorrow! Learn more: https://t.co/kpWGjMlZ3p Attend the FREE online fair and meet with admissions reps from 23 different programs! #gradschool #virtualfair #computerscience #college #engineering #stemdegree
0
0
1
@StrongerSmarter
Stronger Smarter Institute
4 years
Meet the amazing women of ToSI! This is Jade Hastie from Mareeba. She joined the program in 2020, studying a Bachelor of Ed - Primary (RATEP). Her advice if you're thinking about joining the program: Don't hesitate! @indigenous_gov #IndigenousWomen #WomeninSTEM #STEMDegree
0
3
7
@ElCentroSTEM
El Centro STEM
9 years
#2016wastheyearthatIfinally decided to jump start my life and start a #STEMdegree with @ECCOnline . Learn more in the #STEMCenter
0
0
0
@arngeducation
Army National Guard Education Services
3 years
The Edith Nourse Rogers STEM Scholarship is for college students pursuing training in the field of #STEM.This #scholarship will provide up to an ‘additional’ 9 months of Post-9/11 GI Bill® benefits for qualifying Fry Scholars/#veterans looking to pursue a #STEMdegree.
0
0
1
@eliteeduwise
Elite Eduwise
3 years
0
0
1
@RitchieSchool
Ritchie School at University of Denver
1 month
Last chance for CO residents to get their application fees waived! Today is the deadline so don't wait! Visit https://t.co/BrZz7dON7Q to apply. #ritchieschool #universityofdenver #gradschool #STEMdegree
0
0
0
@gradcracker
Gradcracker
1 year
Studying for an Engineering or Computer Science degree? Want some help with paying for it as well as a guaranteed job when you graduate? Apply now to join the RAF's Defence STEM Undergraduate Scheme next September! https://t.co/jtb3gYf1lu #STEMDegree #EngineeringStudents
0
0
0