Explore tweets tagged as #denesting
@pickover
Cliff Pickover
5 years
Mathematics and "Denesting". Some nested radicals can be rewritten in a form that is not nested.
6
33
192
@ereliuer_eteer
♦ ereliuer eteer ♦
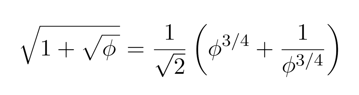
8 years
A beautiful radical denesting with the golden ratio ϕ:
1
0
3
@ereliuer_eteer
♦ ereliuer eteer ♦
1 year
radical denesting
0
0
0
@ereliuer_eteer
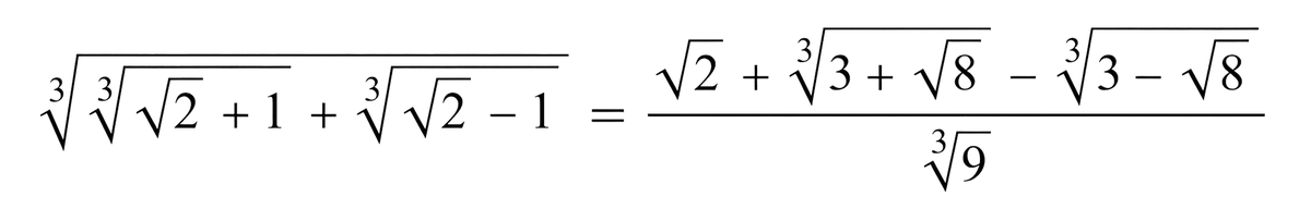
♦ ereliuer eteer ♦
3 years
A nice radical denesting. Can you find an elegant proof?
0
0
0
@MGSMachine
MGS, a Coesia Co.
8 years
Tray denesting at its finest! FULLY WASHDOWN. See us at #IPPE2018 booth C1460 #Coesia
0
0
1
@MGSMachine
MGS, a Coesia Co.
8 years
TRAY DENESTING at IPPE Show in Atlanta - tough trays - high speeds - no problem! #ippe #ippe2018 #Coesia
0
0
3
@MGSMachine
MGS, a Coesia Co.
8 years
TRAY DENESTING at its best! See MGS at #IPPE #IPPE2018 in Atlanta #Coesia
0
0
0
@mrburkemath
Christopher J. Burke
5 years
Last Friday's (x, why?) #1632: Denesting Radicals #xwhywebcomic #webcomics #mathjokes
0
0
0
@pickover
Cliff Pickover
5 years
Mathematics, Ramanujan, Infinity. Be still my heart. Ramanujan stated the following infinite radical denesting in his lost notebook. https://t.co/XoGopQMyiS
7
19
139
@SyberMath
SyberMath&aplusbi
4 years
1
6
18
@FANUCAmerica
FANUC America
10 years
Genius! @precision801's denesting system uses robot to pick & replace tilted paper cups https://t.co/SGQXTcbqpy #mfg
0
6
7
@PrecisionPMD
Precision PMD
5 years
Customer Ordered 6 RC Series Denesters, each can run three containers #madeinusa #designedandbuilttowork #Packagingmachinery @PMMIorg #denester #denesting
0
0
2
@ZahlenRMD
Reygan Dionisio
4 years
Denesting this radical expression is a bit difficult as expected 😅 Salute to Srinivasa Ramanujan (Indian Mathematician) #sharingisthenewlearning #salute #maths Link: https://t.co/EU0zU6RCyE https://t.co/Y2K9EqlcVv
1
9
24
@PrecisionPMD
Precision PMD
7 years
Precision PMD Fresh Salsa Packaging Machine. We are denesting, filling, and lidding 16oz fresh salsa into containers by @rpc_group. @UnitedFresh @packexposhow #designedandbuilttowork.
0
0
2
@TramperTech
Tramper Technology
7 years
Check out our new video of a complete Tramper S-360 #traysealing line for reliable and flexible packaging of trays with #pomegranate under MAP conditions: https://t.co/8XhQM4Vcub | #fruit #packaging #denesting #weighing #filling #sealing
0
1
1
@SealpacUK
Sealpac UK & Partners
8 years
Find out how walking beam systems can add more flexibility and cost effective solutions to your business. With intergrated tray denesting, filling solutions and sealing of any tray and film material, Sealpac's simple smart handling and sealing technology can handle any situation.
0
1
1
@i2rpackaging
i2r Packaging
8 years
Did you know all our tulip muffin wraps are uniform for perfect auto-denesting if required and the paper is FSC® certified: https://t.co/mNTCmWVWen #Baking #PaperProducts #FoodPackaging
0
0
2
@i2rpackaging
i2r Packaging
8 years
Did you know, all our tulip wraps are designed to be uniform for perfect auto-denesting! https://t.co/ifYQmW3PND #PaperPackaging #FoodPackaging #TulipMuffinWraps
0
0
1
@SEALPAC
SEALPAC
5 years
This is why our customer Ponnath chose eTray® for its vegan mince: "Besides the resource saving packaging that fits our product perfectly it also allows for fully automatic denesting and filling, as well as highly reliable sealing." #packaging #veganfood #sustainablepackaging
0
1
0
@PineberryInc
Pineberry Manufacturing Inc.
8 years
Join us at PACK EXPO International and Healthcare Packaging EXPO 2018 in booth S-1432. Use our promo code 88Q52 for complimentary registration. https://t.co/lon1mVvLRW #PACKEXPO #HCPEXPO #Packaging #Serialization #FrictionFeeders #Denesting #TrayDenester #PickandPlace #PACKEXPO18
0
1
2